Synthesis and Characterization of Calcium Sulfoaluminate Hydrates—Ettringite (AFt) and Monosulfate (AFm)
Abstract
1. Introduction
1.1. Calcium Sulfoaluminate Hydrates in Ordinary Portland Cement (OPC) Systems
1.2. Delayed Ettringite Formation
1.3. Calcium Sulfoaluminate (CSA) and Belite-Ye’elimite-Ferrite (BYF) Cement Systems
1.4. Synthesis of Calcium Sulfoaluminate Hydrates
1.5. Research Objectives
2. Materials and Methods
3. Results and Discussion
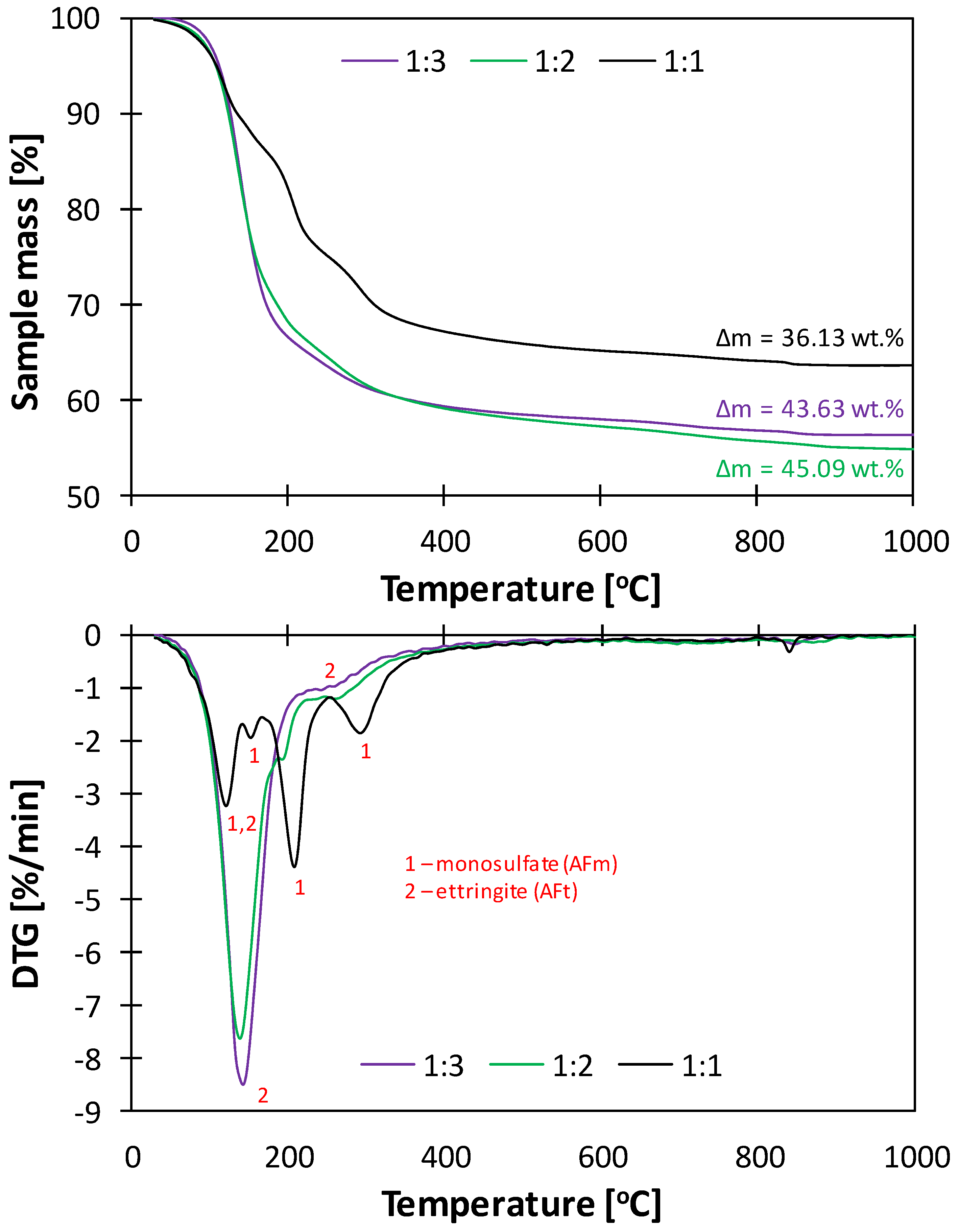
3.1. XRD Analysis
3.2. Thermal Analysis
3.3. FTIR Spectroscopy
4. Conclusions
- The synthesis of calcium sulfoaluminate hydrates, carried out from tricalcium aluminate and gypsum in an excess amount of water (w/s ratio of 50.0) over a 7-day period, yields ettringite and monosulfate as the main products—no traces of the starting materials (C3A and gypsum) were found during the analyses.
- Thermal analysis, X-ray diffractometry and FTIR spectroscopy can be used to distinguish the characteristic features of synthesized ettringite and monosulfate.
- According to Rietveld analysis, the synthesis carried out at a C3A/C molar ratio of 1:3 yields pure ettringite. In the case of the sample characterized by the ratio of 1:1 (typical of monosulfate), a considerable portion of ettringite (27.9%) was present in the final products along the AFm phase. Therefore, a different synthesis method has to be selected in order to obtain pure monosulfate, such as precipitation from a solution containing Al2(SO4)3·18H2O and Ca(OH)2 mixed at an appropriate molar ratio. Moreover, suitable conditions (i.e., the selection of a drying agent that offers sufficient water vapor pressure and prevention from contact with in-air CO2 both during and after the synthesis) have to be maintained in order to ensure the stability of the monosulfate phase.
- The dehydration of monosulfate occurs in four steps, with the endothermic effects observed at approx. 130, 153, 209 and 293 °C. Such multistage thermal decomposition can also be related to the presence of trace amounts of ettringite, hemicarboaluminate or amorphous aluminum hydroxide in the sample. Dehydration of ettringite is a single-step process, with the endothermic effect observed in the temperature range of 130–150 °C.
- The obtained FTIR spectra of monosulfate and ettringite show distinctive features related to the differences in their crystal structures that allow distinction between the AFm and AFt phases with the use of spectroscopic methods. Both phases consist of [Al(OH)6]3− octahedrons, SO42− anions and H2O molecules. The variations in their structure are evidenced by the changes in the mutual intensity ratios of the bands observed in the range of 860–780 cm−1, assigned to the bending vibrations of Al-O-H bonds. Additionally, a significant difference is observed in the intensity of the absorption bands at approx. 1169, 1108, 619 cm−1 and 540 cm−1, assigned to the vibrations of S-O bonds. In the spectrum of the sample containing mainly monosulfate, an additional band appeared at approx. 1169 cm−1, while in the case of the sample consisting of ettringite, the band at about 619 cm−1, related to the stretching vibrations of S-O bonds, was considerably more intensive compared to the other two samples. The wide band at approx. 3430 cm−1, assigned to asymmetrical stretching vibrations of O-H in water molecules, was also more intensive in the case of ettringite-containing samples, which proved a higher content of water bound in the structure of the phase compared to monosulfate.
Author Contributions
Funding
Institutional Review Board Statement
Informed Consent Statement
Data Availability Statement
Conflicts of Interest
Abbreviations
| C | CaO |
| S | SiO2 |
| A | Al2O3 |
| F | Fe2O3 |
| SO3 | |
| CO2 | |
| H | H2O |
References
- Kapeluszna, E. Effect of Set Controlling Agent on the Properties of Cement. Cem. Wapno Bet. 2014, 4, 243–251. [Google Scholar] [CrossRef]
- Bullard, J.W.; Jennings, H.M.; Livingston, R.A.; Nonat, A.; Scherer, G.W.; Schweitzer, J.S.; Scrivener, K.L.; Thomas, J.J. Mechanisms of Cement Hydration. Cem. Concr. Res. 2011, 41, 1208–1223. [Google Scholar] [CrossRef]
- Taylor, H.F.W. Cement Chemistry, 2nd ed.; Thomas Telford Publishing: London, UK, 1997; Volume 20, ISBN 0-7277-3945-X. [Google Scholar]
- Scrivener, K.L.; Juilland, P.; Monteiro, P.J.M. Advances in Understanding Hydration of Portland Cement. Cem. Concr. Res. 2015, 78, 38–56. [Google Scholar] [CrossRef]
- Minard, H.; Garrault, S.; Regnaud, L.; Nonat, A. Mechanisms and Parameters Controlling the Tricalcium Aluminate Reactivity in the Presence of Gypsum. Cem. Concr. Res. 2007, 37, 1418–1426. [Google Scholar] [CrossRef]
- Taylor, H.F.W.; Famy, C.; Scrivener, K.L. Delayed Ettringite Formation. Cem. Concr. Res. 2001, 31, 683–693. [Google Scholar] [CrossRef]
- Guo, J.J.; Liu, P.Q.; Wu, C.L.; Wang, K. Effect of Dry–Wet Cycle Periods on Properties of Concrete under Sulfate Attack. Appl. Sci. 2021, 11, 888. [Google Scholar] [CrossRef]
- Collepardi, M. A State-of-the-Art Review on Delayed Ettringite Attack on Concrete. Cem. Concr. Compos. 2003, 25, 401–407. [Google Scholar] [CrossRef]
- Shayan, A.; Quick, G.W. Relative Importance of Deleterious Reactions in Concrete: Formation of AAR Products and Secondary Ettringite. Adv. Cem. Res. 1992, 4, 149–157. [Google Scholar] [CrossRef]
- Fu, Y.; Xie, P.; Gu, P.; Beaudoin, J.J. Effect of Temperature on Sulphate Adsorption/Desorption by Tricalcium Silicate Hydrates. Cem. Concr. Res. 1994, 24, 1428–1432. [Google Scholar] [CrossRef]
- Mehta, P.K. Mechanism of Expansion Associated with Ettringite Formation. Cem. Concr. Res. 1973, 3, 1–6. [Google Scholar] [CrossRef]
- Scherer, G.W. Factors Affecting Crystallization Pressure. In Proceedings of the International RILEM Workshop on Internal Sulfate Attack and Delayed Ettringite Formation, Villars, Switzerland, 4–6 September 2002; Scrivener, K., Skalny, J., Eds.; RILEM Publications SARL: Villars, Switzerland, 2004; pp. 139–154. [Google Scholar]
- Scherer, G.W. Crystallization in Pores. Cem. Concr. Res. 1999, 29, 1347–1358. [Google Scholar] [CrossRef]
- Johansen, V.; Thaulow, N.; Skalny, J. Simultaneous Presence of Alkali—Silica Gel and Ettringite in Concrete. Adv. Cem. Res. 1993, 5, 23–29. [Google Scholar] [CrossRef]
- Müllauer, W.; Beddoe, R.E.; Heinz, D. Sulfate Attack Expansion Mechanisms. Cem. Concr. Res. 2013, 52, 208–215. [Google Scholar] [CrossRef]
- Nguyen, V.H.; Leklou, N.; Aubert, J.E.; Mounanga, P. The Effect of Natural Pozzolan on Delayed Ettringite Formation of the Heat-Cured Mortars. Constr. Build. Mater. 2013, 48, 479–484. [Google Scholar] [CrossRef]
- Kapeluszna, E.; Kotwica, Ł.; Pichór, W.; Nocuń-Wczelik, W. Cement-Based Composites with Waste Expanded Perlite—Structure, Mechanical Properties and Durability in Chloride and Sulphate Environments. Sustain. Mater. Technol. 2020, 24, e00160. [Google Scholar] [CrossRef]
- Lothenbach, B.; Le Saout, G.; Gallucci, E.; Scrivener, K. Influence of Limestone on the Hydration of Portland Cements. Cem. Concr. Res. 2008, 38, 848–860. [Google Scholar] [CrossRef]
- De Weerdt, K.; Haha, M.B.; Le Saout, G.; Kjellsen, K.O.; Justnes, H.; Lothenbach, B. Hydration Mechanisms of Ternary Portland Cements Containing Limestone Powder and Fly Ash. Cem. Concr. Res. 2011, 41, 279–291. [Google Scholar] [CrossRef]
- Ben Haha, M.; Winnefeld, F.; Pisch, A. Advances in Understanding Ye’elimite-Rich Cements. Cem. Concr. Res. 2019, 123, 105778. [Google Scholar] [CrossRef]
- Akerele, D.D.; Aguayo, F. Evaluating the Impact of CO2 on Calcium SulphoAluminate (CSA) Concrete. Buildings 2024, 14, 2462. [Google Scholar] [CrossRef]
- Chaunsali, P.; Mondal, P. Influence of Calcium Sulfoaluminate (CSA) Cement Content on Expansion and Hydration Behavior of Various Ordinary Portland Cement-CSA Blends. J. Am. Ceram. Soc. 2015, 98, 2617–2624. [Google Scholar] [CrossRef]
- Tao, Y.; Rahul, A.V.; Mohan, M.K.; De Schutter, G.; Van Tittelboom, K. Recent Progress and Technical Challenges in Using Calcium Sulfoaluminate (CSA) Cement. Cem. Concr. Compos. 2023, 137, 104908. [Google Scholar] [CrossRef]
- Tang, X.; Zhan, S.; Xu, Q.; He, K. Mechanical Performance and Chloride Penetration of Calcium Sulfoaluminate Concrete in Marine Tidal Zone. Materials 2023, 16, 2905. [Google Scholar] [CrossRef] [PubMed]
- Zhang, L.; Su, M.; Wang, Y. Development of the Use of Sulfo- and Ferroaluminate Cements in China. Adv. Cem. Res. 1999, 11, 15–21. [Google Scholar] [CrossRef]
- Péra, J.; Ambroise, J. New Applications of Calcium Sulfoaluminate Cement. Cem. Concr. Res. 2004, 34, 671–676. [Google Scholar] [CrossRef]
- Glasser, F.P.; Zhang, L. High-Performance Cement Matrices Based on Calcium Sulfoaluminate-Belite Compositions. Cem. Concr. Res. 2001, 31, 1881–1886. [Google Scholar] [CrossRef]
- Wolf, J.J.; Jansen, D.; Goetz-Neunhoeffer, F.; Neubauer, J. Application of Thermodynamic Modeling to Predict the Stable Hydrate Phase Assemblages in Ternary CSA-OPC-Anhydrite Systems and Quantitative Verification by QXRD. Cem. Concr. Res. 2020, 128, 105956. [Google Scholar] [CrossRef]
- Khalil, N.; Aouad, G.; El Cheikh, K.; Rémond, S. Use of Calcium Sulfoaluminate Cements for Setting Control of 3D-Printing Mortars. Constr. Build. Mater. 2017, 157, 382–391. [Google Scholar] [CrossRef]
- Trauchessec, R.; Mechling, J.M.; Lecomte, A.; Roux, A.; Le Rolland, B. Impact of Anhydrite Proportion in a Calcium Sulfoaluminate Cement and Portland Cement Blend. Adv. Cem. Res. 2014, 26, 325–333. [Google Scholar] [CrossRef]
- Telesca, A.; Marroccoli, M.; Pace, M.L.; Tomasulo, M.; Valenti, G.L.; Monteiro, P.J.M. A Hydration Study of Various Calcium Sulfoaluminate Cements. Cem. Concr. Compos. 2014, 53, 224–232. [Google Scholar] [CrossRef]
- Kishar, E.A.; Hegazy, W.S.; El Monem Ahmed, D.A. Hydration Reactions of the System C3A-CaSO4:2H2O (1:1 Mole Ratio) at 30 and 50 °C. Part II: Effect of Naphthalene Formaldehyde Sulfonate. Adv. Cem. Res. 2011, 23, 123–128. [Google Scholar] [CrossRef]
- Kishar, E.A.; Hegazy, W.S.; Ahmed, D.A. Hydration Reactions of the C3A-CaSO4.2H2O System (1:1 Mole Ratio) at 30 and 50 °C. Part I—Effect of Calcium Lignosulfonate. Adv. Cem. Res. 2010, 22, 123–126. [Google Scholar] [CrossRef]
- Gemrich, J.; Jiroušková, K.; Kulísek, K.; Magrla, R. Synthesis of Ettringite. Appl. Mech. Mater. 2015, 752–753, 98–102. [Google Scholar] [CrossRef]
- Terai, T.; Mikuni, A.; Nakamura, Y.; Ikeda, K. Synthesis of Ettringite from Portlandite Suspensions at Various Ca/Al Ratios. Inorg. Mater. 2007, 43, 786–792. [Google Scholar] [CrossRef]
- Luo, S.; Liu, M.; Yang, L.; Chang, J. Effects of Drying Techniques on the Crystal Structure and Morphology of Ettringite. Constr. Build. Mater. 2019, 195, 305–311. [Google Scholar] [CrossRef]
- Khoshnazar, R.; Beaudoin, J.; Raki, L.; Alizadeh, R. Solvent Exchange in Sulphoaluminate Phases. Part I: Ettringite. Adv. Cem. Res. 2013, 25, 314–321. [Google Scholar] [CrossRef]
- Renaudin, G.; Filinchuk, Y.; Neubauer, J.; Goetz-Neunhoeffer, F. A Comparative Structural Study of Wet and Dried Ettringite. Cem. Concr. Res. 2010, 40, 370–375. [Google Scholar] [CrossRef]
- Ghorab, H.; Kishar, E.; Abou Elfetouh, S. Studies on the Stability of the Calcium Sulfoaluminate Hydrates. Part II: Effect of Alite, Lime, and Monocarboaluminate Hydrate. Cem. Concr. Res. 1998, 28, 53–61. [Google Scholar] [CrossRef]
- Kotwica, L.; Chorembala, M.; Kapeluszna, E.; Stepien, P.; Deja, J.; Illikainen, M.; Golek, L. Effect of Metakaolinite on Properties of Alkali Activated Slag Materials. Key Eng. Mater. 2018, 761, 69–72. [Google Scholar] [CrossRef]
- Pichór, W.; Barna, M.; Kapeluszna, E.; Łagosz, A.; Kotwica, Ł. The Influence of Waste Expanded Perlite on Chemical Durability of Mortars. Solid State Phenom. 2015, 227, 194–198. [Google Scholar] [CrossRef]
- Kapeluszna, E.; Szudek, W.; Wolka, P.; Zieliński, A. Implementation of Alternative Mineral Additives in Low-Emission Sustainable Cement Composites. Materials 2021, 14, 6423. [Google Scholar] [CrossRef]
- Kapeluszna, E.; Kotwica, Ł.; Nocuń-Wczelik, W. Comparison of the Effect of Ground Waste Expanded Perlite and Silica Fume on the Hydration of Cements with Various Tricalcium Aluminate Content—Comprehensive Analysis. Constr. Build. Mater. 2021, 303, 124434. [Google Scholar] [CrossRef]
- Kotwica, L.; Chorembala, M.; Kapeluszna, E.; Stepien, P.; Deja, J.; Illikainen, M.; Golek, L. Influence of Calcined Mine Tailings on the Properties of Alkali Activated Slag Mortars. Key Eng. Mater. 2018, 761, 83–86. [Google Scholar] [CrossRef]
- Gołek, Ł.; Kapeluszna, E.; Rzepa, K. Investigations of the Glass Activity in Municipal and Special Incinerating Plants Waste. Cem. Wapno Bet. 2017, 22, 77–89. [Google Scholar] [CrossRef]
- Gołek, Ł.; Szudek, W.; Łój, G. Utilization of Ground Waste Glass Cullet in the Industrial Production of Precast Concrete Elements. Cem. Wapno Bet. 2021, 26, 118–133. [Google Scholar] [CrossRef]
- Szudek, W.; Gołek, Ł.; Malata, G.; Pytel, Z. Influence of Waste Glass Powder Addition on the Microstructure and Mechanical Properties of Autoclaved Building Materials. Materials 2022, 15, 434. [Google Scholar] [CrossRef]
- Szydłowski, J.; Szudek, W.; Gołek, Ł. Effect of Temperature on the Long-Term Properties of Mortars Containing Waste Glass Powder and Ground Granulated Blast Furnace Slag. Cem. Wapno Bet. 2021, 26, 264–278. [Google Scholar] [CrossRef]
- Gołek, Ł. New Insights into the Use of Glass Cullet in Cement Composites—Long Term Examinations. Cem. Concr. Compos. 2022, 133, 100–103. [Google Scholar] [CrossRef]
- Ukrainczyk, N.; Matusinovic, T.; Kurajica, S.; Zimmermann, B.; Sipusic, J. Dehydration of a Layered Double Hydroxide-C2AH8. Thermochim. Acta 2007, 464, 7–15. [Google Scholar] [CrossRef]
- Newman, J.A.; Schmitt, P.D.; Toth, S.J.; Deng, F.; Zhang, S.; Simpson, G.J. Parts per Million Powder X-Ray Diffraction. Anal. Chem. 2015, 87, 10950–10955. [Google Scholar] [CrossRef]
- Scrivener, K.; Snellings, R.; Lothenbach, B. A Practical Guide to Microstructural Analysis of Cementitious Materials; Scrivener, K., Snellings, R., Lothenbach, B., Eds.; CRC Press: Boca Raton, FL, USA, 2018; ISBN 9781351228497. [Google Scholar]
- Scholtzová, E.; Kucková, L.; Kožíšek, J.; Tunega, D. Structural and Spectroscopic Characterization of Ettringite Mineral-Combined DFT and Experimental Study. J. Mol. Struct. 2015, 1100, 215–224. [Google Scholar] [CrossRef]
- Myneni, S.C.B.; Traina, S.J.; Waychunas, G.A.; Logan, T.J. Vibrational Spectroscopy of Functional Group Chemistry and Arsenate Coordination in Ettringite. Geochim. Cosmochim. Acta 1998, 62, 3499–3514. [Google Scholar] [CrossRef]
- Kloprogge, J.T.; Wharton, D.; Hickey, L.; Frost, R.L. Infrared and Raman Study of Interlayer Anions CO32−, NO3−, SO42− and ClO4− in Mg/Al-Hydrotalcite. Am. Mineral. 2002, 87, 623–629. [Google Scholar] [CrossRef]
- Frost, R.L.; López, A.; Xi, Y.; Scholz, R.; Da Costa, G.M.; Lima, R.M.F.; Granja, A. The Spectroscopic Characterization of the Sulphate Mineral Ettringite from Kuruman Manganese Deposits, South Africa. Vib. Spectrosc. 2013, 68, 266–271. [Google Scholar] [CrossRef][Green Version]
- Taylor, M.; Brown, G.E. Structure of Mineral Glasses—I. The Feldspar Glasses NaAlSi3O8, KAlSi3O8, CaAl2Si2O8. Geochim. Cosmochim. Acta 1979, 43, 61–75. [Google Scholar] [CrossRef]








| Hydration Time | Phase Composition of the Products at 30 °C | Phase Composition of the Products at 50 °C |
|---|---|---|
| 30 min | Gypsum + C3A + small amounts of ettringite | Gypsum + C3A + small amounts of ettringite |
| 3 days | Ettringite + C3A + traces of gypsum | Ettringite + C3A + traces of gypsum |
| 14 days | Ettringite + traces of C3A | Monosulfate + ettringite |
| 28 days | Ettringite + monosulfate | Monosulfate |
| 60 days | Monosulfate | Monosulfate + traces of ettringite |
| 90 days | Monosulfate + traces of ettringite | Monosulfate + ettringite |
| Crystal System | Hexagonal |
| Space Group | P63/mcm |
| Cell Parameters | |
| a | 11.230 |
| b | 11.230 |
| c | 10.720 |
| Density [g/cm3] | 1.78 |
| Unit cell volume [106 pm3] | 1170.81 |
| Crystal System | Hexagonal |
| Space Group | R-3 |
| Cell Parameters | |
| a | 5.759 |
| b | 5.759 |
| c | 26.795 |
| Unit cell volume [106 pm3] | 769.62 |
| Stoichiometric Water Content [%] | ||
| Monosulfate | Ettringite | |
| 34.71 | 45.91 | |
| molar ratio | 1:1 | 1:3 |
| TG mass loss [%] | 36.13 | 43.63 |
| Absorption Band [cm−1] | Possible Assignment | Interpretation |
|---|---|---|
| 3642–3637 | νs (OH)Al | [Al(OH)6]3− |
| 3432–3428 | νas (OH)w | H2O |
| 1676–1621 | δ (H-O-H) | H2O |
| 1496–1363 | ν C-O | CO32− |
| 1169 | νas S-O | SO42− (monosulfate) |
| 1115, 1113, 1108 | νas S-O | SO42− (ettringite) |
| 989, 988, 983 | νs S-O | SO42− |
| 860–616 | δ Al-O-H | [Al(OH)6]3− |
| 594 | Octahedral Al | [AlO6] in AFm |
| 540–534 | ν S-O | SO42− (ettringite) |
| 421–420 | δ Al-O-H δ O-Al-O | [Al(OH)6]3− |
Disclaimer/Publisher’s Note: The statements, opinions and data contained in all publications are solely those of the individual author(s) and contributor(s) and not of MDPI and/or the editor(s). MDPI and/or the editor(s) disclaim responsibility for any injury to people or property resulting from any ideas, methods, instructions or products referred to in the content. |
© 2024 by the authors. Licensee MDPI, Basel, Switzerland. This article is an open access article distributed under the terms and conditions of the Creative Commons Attribution (CC BY) license (https://creativecommons.org/licenses/by/4.0/).
Share and Cite
Szudek, W.; Szydłowski, J.; Buchała, I.; Kapeluszna, E. Synthesis and Characterization of Calcium Sulfoaluminate Hydrates—Ettringite (AFt) and Monosulfate (AFm). Materials 2024, 17, 5216. https://doi.org/10.3390/ma17215216
Szudek W, Szydłowski J, Buchała I, Kapeluszna E. Synthesis and Characterization of Calcium Sulfoaluminate Hydrates—Ettringite (AFt) and Monosulfate (AFm). Materials. 2024; 17(21):5216. https://doi.org/10.3390/ma17215216
Chicago/Turabian StyleSzudek, Wojciech, Jakub Szydłowski, Ilona Buchała, and Ewa Kapeluszna. 2024. "Synthesis and Characterization of Calcium Sulfoaluminate Hydrates—Ettringite (AFt) and Monosulfate (AFm)" Materials 17, no. 21: 5216. https://doi.org/10.3390/ma17215216
APA StyleSzudek, W., Szydłowski, J., Buchała, I., & Kapeluszna, E. (2024). Synthesis and Characterization of Calcium Sulfoaluminate Hydrates—Ettringite (AFt) and Monosulfate (AFm). Materials, 17(21), 5216. https://doi.org/10.3390/ma17215216

