Mechanical Properties of Recycled Concrete Incorporated with Super-Absorbent Polymer and Machine-Made Stone Powder under the Freeze-Thaw Cycle Environment
Abstract
1. Introduction
2. Orthogonal Experiments
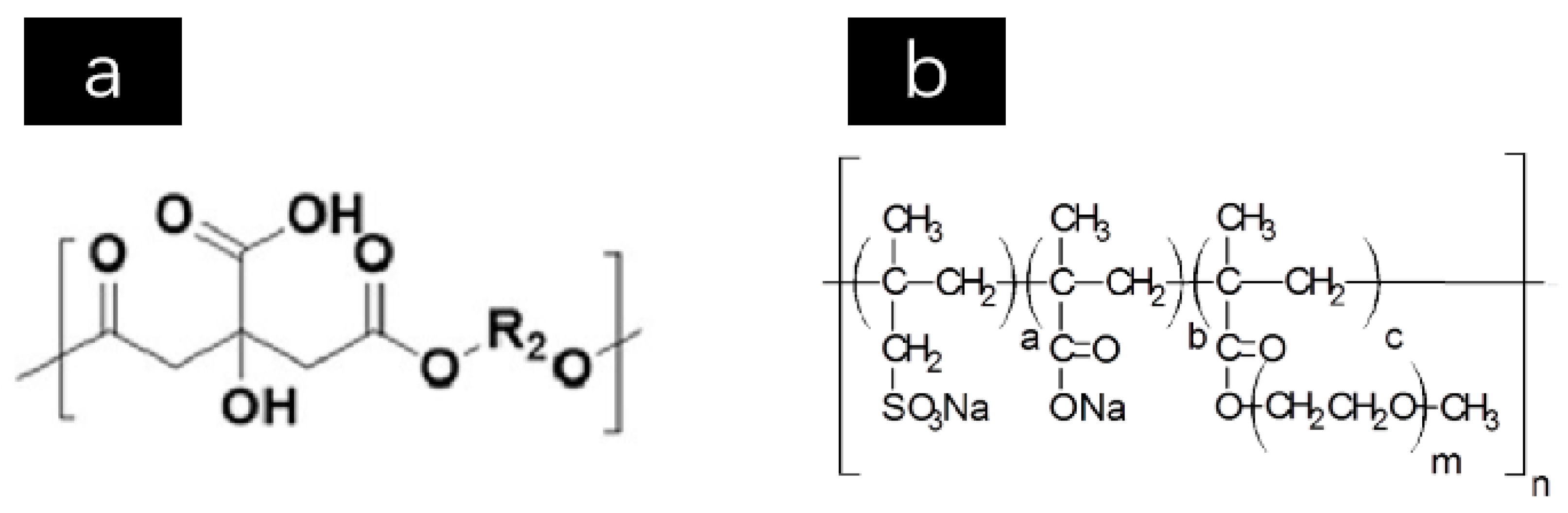
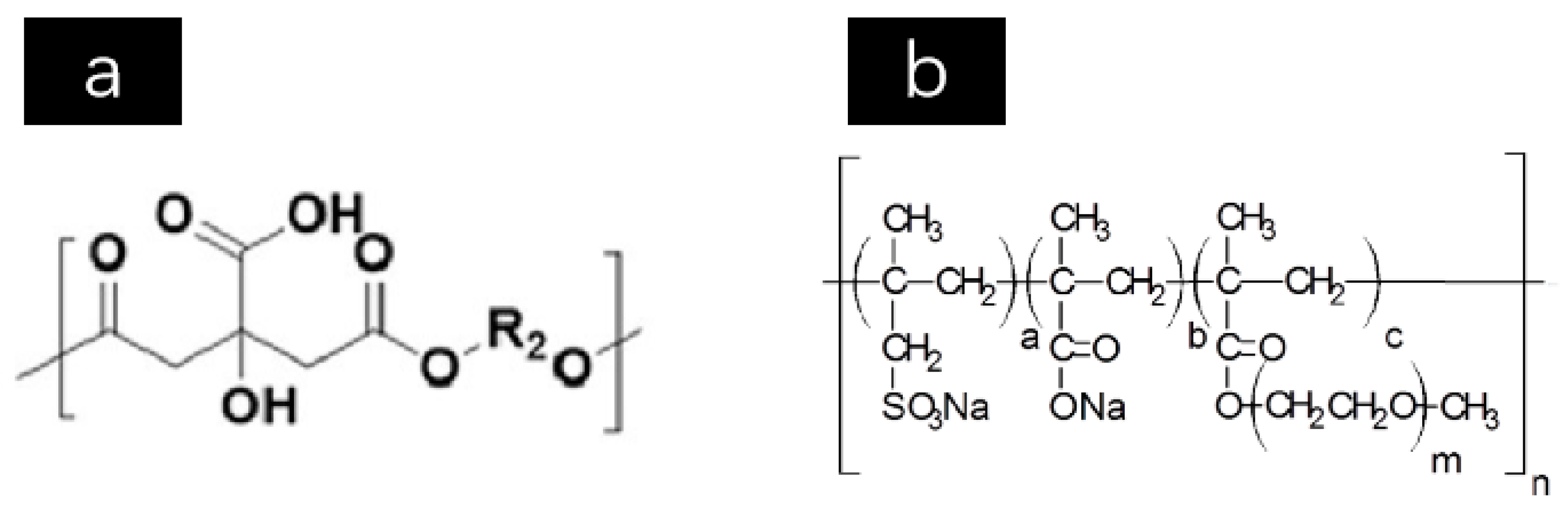
2.1. Materials
2.2. Orthogonal Design for the Mix Proportions of Recycled Concrete
2.3. Test Methodology
2.4. Orthogonal Experimental Range Analysis
2.5. Strength Loss
3. Analysis and Discussion
3.1. Analysis of Compressive Strength Test Results
3.2. Analysis of Flexural Strength Test Results
3.3. Regression Analysis
4. Conclusions
- Based on the extreme value analysis of the orthogonal test, it was found that, for both compressive strength and flexural strength, the R-value of SAP was greater than that of MSP before freeze–thaw cycles, while after freeze–thaw cycles, the R-value of MSP exceeded that of SAP. We proposed that the influence of SAP on the mechanical properties was dominant in the normal environment (before freeze–thaw) due to its higher water absorbency and water retention performance. However, after freeze–thaw, the outer water was blocked by MSP through the micro-aggregate effect resulting in the improved mechanical properties of recycled concrete. This indicated that the amount of MSP should be given special attention when designing recycled concrete for freeze–thaw environments. According to the larger value, the optimal levels of the value for compressive strength were SAP at 0.08% and MSP at 6% (before freeze–thaw) or 9% (after freeze–thaw), while the optimal levels of the value for flexural strength were SAP at 0.16% and MSP at 6%.
- From the perspective of compressive strength, as the SAP content increased, compressive strength first increased and then decreased, both before and after freeze–thaw cycles. With increasing MSP content, compressive strength consistently increased before freeze–thaw cycles, and first increased and then decreased after freeze–thaw cycles. The maximum compressive strength before freeze–thaw was observed in S8M9, and after freeze–thaw in S8M6. The minimum strength loss before and after freeze–thaw was found in S16M6. After freeze–thaw cycles, the excessive MSP in S8M9 resulted in increasing defects within the structure, caused a large loss of structural strength, and reduced frost resistance. As the SAP content increased, the density of the structure increased, and the frost resistance improved. However, excessive SAP formed voids in the concrete and reduced the frost resistance of the structure. The mix with the best frost resistance was S16M6 (SAP 0.16%, MSP 6%).
- From the perspective of flexural strength, flexural strength also followed a trend of first increasing and then decreasing with the increase in both SAP and MSP content, both before and after freeze–thaw cycles. The S16M6 mix consistently showed the highest flexural strength and the smallest strength loss, both before and after freeze–thaw cycles.
- A linear regression model was established for the compressive and flexural strengths of recycled concrete with the optimal mix ratio of SAP 0.16% and MSP 6%, before and after freeze–thaw cycles. This model provides a valuable reference for predicting the behavior of recycled concrete mixed with SAP in freeze–thaw environments.
Author Contributions
Funding
Institutional Review Board Statement
Informed Consent Statement
Data Availability Statement
Conflicts of Interest
References
- Kim, G. New advances in cement and concrete research. Materials 2023, 16, 4162. [Google Scholar] [CrossRef]
- Jonny, N. Smart materials and technologies for sustainable concrete construction. Dev. Built Environ. 2023, 15, 100177. [Google Scholar]
- Cheng, H.; Zhou, Q.; Lou, S.; Zhang, G.; Liu, Y.; Lie, Z. Simulation of the working behavior of Shibahe reservoir rock-filled concrete gravity dam during construction. J. Tsinghua Univ. (Sci. Technol.) 2022, 62, 1408–1416. [Google Scholar]
- Habert, G.; Miller, S.; John, V.; Provis, J.; Favier, A. Environmental impacts and decarbonization strategies in the cement and concrete industries. Nat. Rev. Earth Environ. 2020, 1, 559–573. [Google Scholar] [CrossRef]
- Li, C.; Li, J.; Ren, Q.; Zheng, Q.; Jiang, Z. Durability of concrete coupled with life cycle assessment: Review and perspective. Cem. Concr. Compos. 2023, 139, 105041. [Google Scholar] [CrossRef]
- Olsson, J.; Miller, S.; Kneifel, J. A review of current practice for life cycle assessment of cement and concrete. Resour. Conserv. Recycl. 2024, 206, 107619. [Google Scholar] [CrossRef]
- Cao, Y.; Wang, Y.; Zhang, Z.; Wang, H. Recycled sand from sandstone waste: A new source of high-quality fine aggregate. Resour. Conserv. Recycl. 2022, 179, 106116. [Google Scholar] [CrossRef]
- Kumar, S.; Skariah, B.; Gupta, V. Sandstone wastes as aggregate and its usefulness in cement concrete—A comprehensive review. Renew. Sustain. Energy Rev. 2018, 81, 1147–1153. [Google Scholar] [CrossRef]
- Banerjee, D.; Nanda, R. Waste materials as concrete aggregate—A systematic review. IOP Conf. Ser. Earth Environ. Sci. 2024, 1326, 012149. [Google Scholar] [CrossRef]
- Singh, P.; Giri, C. Effect of Fines in Sandstone Manufactured Sand Concrete. J. Futur. Sci. Appl. 2021, 2721, 252840316. [Google Scholar]
- Rathore, K.; Agrwal, V.; Nagar, R. Green concrete: Using quarry waste of sandstone as fine aggregate with high levels of microfines. Mater. Today Proc. 2020, 32, 728–733. [Google Scholar] [CrossRef]
- Sharma, P.; Parashar, A.; Sharma, N. The influence of fines in sandstones on the performance of concrete. Mater. Today Proc. 2022, 62, 4126–4129. [Google Scholar] [CrossRef]
- Mundra, S.; Agarwal, V.; Nagar, R. Sandstone cutting waste as partial replacement of fine aggregates in concrete: A mechanical strength perspective. J. Build. Eng. 2020, 32, 101534. [Google Scholar] [CrossRef]
- Wu, B.; Xiong, Y. Influence of sandstone sand manufactured by excavated waste on properties of cement mortar. Case Stud. Constr. Mater. 2024, 20, e02777. [Google Scholar] [CrossRef]
- Sharma, B.; Singh, A.; Joshi, S. Utilization of sandstone waste in cement mortar for sustainable production of building materials through biomineralization. J. Sustain. Cem. Based Mater. 2023, 8, 712–720. [Google Scholar] [CrossRef]
- Chen, J. Experimental analysis of influence factors on pavement concrete performance: Different content of stone powder in manufactured sand. Mater. Des. Process. Commun. 2021, 2, 1–8. [Google Scholar] [CrossRef]
- Gerges, N.; Issa, C.; Khalil, N. Effects of recycled waste on the modulus of elasticity of structural concrete. Sci. Rep. 2024, 14, 16189. [Google Scholar] [CrossRef]
- Oftadeh, H.; Manthouri, M. Application of deep boltzmann machine in diagnosis processes of hepatitis types b & c. Azerbaijan J. High Perform. Comput. 2022, 5, 252914373. [Google Scholar]
- Wu, H.; Gao, Q. Study on Freeze—Thaw Resistance of Cement Concrete with Manufactured Sand Based on BP Neural Network. Buildings 2024, 14, 2952. [Google Scholar] [CrossRef]
- Li, Y.; Mu, J.; Hao, J.; Liu, Y.; Jiang, X.; Luo, X. Research on the particle characteristics of manufactured sands affecting the flow ability of fresh mortar. Constr. Build. Mater. 2023, 287, 382131. [Google Scholar] [CrossRef]
- Fu, T.; Liang, J.; Lan, Y.; Xiao, Y.; Wei, J. Effect of Stone Powder Content on Mechanical Properties of Manufactured Sand Concrete. Iran. J. Sci. Technol. Trans. Civ. Eng. 2022, 46, 4255–4264. [Google Scholar] [CrossRef]
- Wang, J.; Xue, C.; Zhang, Y. Study of Early-Age Hydration, Mechanical Properties Development, and Microstructure Evolution of Manufactured Sand Concrete Mixed with Granite Stone Powder. Materials 2023, 16, 4857. [Google Scholar] [CrossRef]
- Zhou, A.; Miao, G.; Zhang, Y.; Qian, R.; Zhang, Y.; Shi, J.; Yang, Y. Effects of stone powder on microstructure of manufactured-sand concrete and its gas permeability. J. Build. Eng. 2024, 91, 109539. [Google Scholar] [CrossRef]
- Liu, T.; Zhu, L.; Yu, B.; Li, T. Experimental Studies to Investigate Efficacies of Granite Porphyry Powder as Homologous Manufactured Sand Substitute. J. Adv. Concr. Technol. 2023, 21, 307–321. [Google Scholar]
- Wang, F.; Meng, F.; Feng, T. Effect of stone powder content on the mechanical properties and microstructure of tunnel slag aggregate-based concrete. Constr. Build. Mater. 2023, 388, 131692. [Google Scholar] [CrossRef]
- Hang, M.; Wang, J.; Zhou, X. Design and Study of Physical and Mechanical Properties of Concrete Based on Ferrochrome Slag and Its Mechanism Analysis. Buildings 2023, 13, 54. [Google Scholar] [CrossRef]
- Islam, M.; Sohel, K.; Al-Jabri, K. Properties of Concrete with Ferrochrome Slag as a Fine Aggregate at Elevated Temperatures. Case Stud. Constr. Mater. 2021, 15, e00599. [Google Scholar] [CrossRef]
- Kambole, C.; Paige-Green, P.; Kupolati, W. Ferrochrome slag aggregate: Physical-chemical characteristics and potential use in lightly cemented road bases. World J. Eng. 2023, 20, 93–102. [Google Scholar] [CrossRef]
- Tang, Y.; Qiu, W.; Liu, D. Experimental Study on the Properties of Mortar and Concrete Made with Tunnel Slag Machine-Made Sand. Materials 2022, 15, 4817. [Google Scholar] [CrossRef]
- Amran, M.; Murali, G.; Khalid, N. Slag uses in making an ecofriendly and sustainable concrete: A review. Constr. Build. Mater. 2020, 272, 121942. [Google Scholar] [CrossRef]
- Zhang, J.; Liu, X.; Liu, J. Seismic performance and reparability assessment of recycled aggregate concrete columns with ultra-high-strength steel bars. Eng. Struct. 2023, 277, 115426. [Google Scholar] [CrossRef]
- Son, P.; Nam, N.; Tran, N. Steel slag aggregate low-cement concrete: Engineering performance, microstructure and sustainability. Constr. Build. Mater. 2024, 436, 136827. [Google Scholar]
- Hu, A.; Xue, G.; Shang, Z. Study on pore structure and the mechanical properties of sandstone-concrete binary under freeze–thaw environment. Sci. Rep. 2023, 13, 18280. [Google Scholar] [CrossRef]
- Li, J.; Zhu, L.; Zhou, K. Experimental Investigation on the Effects of Ambient Freeze–Thaw Cycling on Creep Mechanical Properties of Sandstone Under Step Loading. IEEE Access 2019, 7, 108513–108520. [Google Scholar] [CrossRef]
- Xu, H.; Chen, X.; Dang, W.; Guo, X.; Guan, J.; Li, J.; Xiong, Q. Technical Application of Machine-made Sand in the Production of the Commercial Concrete. IOP Conf. Ser. Earth Environ. Sci. 2021, 647, 012105. [Google Scholar] [CrossRef]
- Yan, J.; Zhong, S.; Chen, S.; Yang, L.; Peng, G.; Deng, A. Study on the Application of Sediment-Based Embankment Building and Ultra-High-Performance Concrete (UHPC) Preparation in the Resource Utilization of Yellow River Sediment. Materials 2022, 15, 5668. [Google Scholar] [CrossRef]
- Liu, H.; Ma, Y.; Ma, J. Frost Resistance of Desert Sand Concrete. Adv. Civ. Eng. 2021, 2021, 6620058. [Google Scholar] [CrossRef]
- Kang, J.; Chen, X.; Yu, Z. Effect of polypropylene fiber on frost resistance and carbonation resistance of manufactured sand concrete. Structures 2023, 56, 104896. [Google Scholar] [CrossRef]
- Liu, D.; Zhang, W.; Tang, Y.; Jian, Y.; Lai, Y. Orthogonal Experimental Study on Concrete Properties of Machine-Made Tuff Sand. Materials 2022, 15, 3516. [Google Scholar] [CrossRef]
- Tan, Y.; Long, J.; Xiong, W.; Chen, X.; Zhao, B. Effects of Polypropylene Fibers on the Frost Resistance of Natural Sand Concrete and Machine-Made Sand Concrete. Polymers 2022, 14, 4054. [Google Scholar] [CrossRef]
- Li, J.; Fan, J. Mechanical properties and microstructure of artificial sand concrete based on rock-powder content. Desalination Water Treat. 2024, 319, 100497. [Google Scholar] [CrossRef]
- Che, D.; Wang, J.; Ding, Z.; Ma, B.; Zhang, Y. Research on the Performance of Manufactured Sand Concrete with Different Stone Powder Content. EDP Sci. 2021, 283, 01044. [Google Scholar]
- Huang, J.; Xu, C.; Chen, S. Enhancing Mechanical Properties and Microstructures of Mass-Manufactured Sand Concrete by Incorporating Granite Powder. Materials 2024, 17, 2234. [Google Scholar] [CrossRef] [PubMed]
- Xu, F.; Li, Z.; Li, T.; Wang, S. The Mechanical Properties and Microstructure of Tailing Recycled Aggregate Concrete. Materials 2024, 17, 1058. [Google Scholar] [CrossRef] [PubMed]
- Ma, S.; Huang, C.; Baah, P. The influence of water-to-cement ratio and superabsorbent polymers (SAPs) on solid-like behaviors of fresh cement pastes. Constr. Build. Mater. 2021, 275, 122160. [Google Scholar] [CrossRef]
- Niu, X.; Zhang, Y.; Elakneswaran, Y.; Sasaki, M.; Kawai, H. Effect of Superabsorbent Polymer (SAP) Size on Microstructure and Compressive Strength of Concrete. Polymers 2024, 16, 197. [Google Scholar] [CrossRef]
- Tang, C.; Dong, R.; Tang, Z. Effect of SAP on the properties and microstructure of cement-based materials in the low humidity environment. Case Stud. Constr. Mater. 2024, 20, e03001. [Google Scholar] [CrossRef]
- Yao, Y.; Zhu, Y.; Yang, Y. Incorporation superabsorbent polymer (SAP) particles as controlling pre-existing flaws to improve the performance of engineered cementitious composites (ECC). Constr. Build. Mater. 2012, 28, 139–145. [Google Scholar] [CrossRef]
- Sun, B.; Wu, H.; Song, W.; Li, Z.; Yu, J. Design methodology and mechanical properties of Superabsorbent Polymer (SAP) cement-based materials. Constr. Build. Mater. 2019, 204, 440–449. [Google Scholar] [CrossRef]
- Liu, J.; Farzadnia, N.; Shi, C. Effects of superabsorbent polymer on interfacial transition zone and mechanical properties of ultra-high performance concrete-ScienceDirect. Constr. Build. Mater. 2020, 23, 117142. [Google Scholar] [CrossRef]
- Huang, X.; Liu, X.; Rong, H.; Yang, X.; Duan, Y.; Ren, T. Effect of Super-Absorbent Polymer (SAP) Incorporation Method on Mechanical and Shrinkage Properties of Internally Cured Concrete. Materials 2022, 15, 7854. [Google Scholar] [CrossRef] [PubMed]
- Ding, H.; Zhang, L.; Zhang, P. Factors Influencing Strength of Super Absorbent Polymer (SAP) Concrete. Trans. Tianjin Univ. 2017, 23, 245–257. [Google Scholar] [CrossRef]
- Babatunde, J.; Adewumi, J.; William, P. Early-age and long-term strength development of high-performance concrete with SAP-ScienceDirect. Constr. Build. Mater. 2021, 267, 121798. [Google Scholar]
- Zhang, X.; Zhang, R.; Ning, G.; Duan, Y.; Dou, X. Experimental study on the effect of SAP content on concrete strength. Build. Sci. 2021, 11, 79–85. (In Chinese) [Google Scholar]
- Yang, H.; Liu, M.; Biao, H.; Wu, L.; Liu, J.; Wang, W. The influence of SAP particle size and extra water on the dynamic mechanical behavior of SAP-modified cement-based composites. Constr. Build. Mater. 2022, 347, 128622. [Google Scholar] [CrossRef]
- Qin, X.; Lin, Y.; Mao, J.; Sun, X.; Xie, Z.; Huang, Q. Research of Water Absorption and Release Mechanism of Superabsorbent Polymer in Cement Paste. Materials 2023, 15, 3062. [Google Scholar] [CrossRef]
- Luo, S.; Bai, T.; Guo, M.; Wei, Y.; Ma, W. Impact of Freeze-Thaw Cycles on the Long-Term Performance of Concrete Pavement and Related Improvement Measures: A Review. Materials 2022, 15, 4568. [Google Scholar] [CrossRef]
- Viktor, M.; Wyrzykowski, M.; Schröfl, C. Application of super absorbent polymers (SAP) in concrete construction—Update of RILEM state-of-the-art report. Mater. Struct. 2021, 54, 1–20. [Google Scholar]
- Mechtcherine, V.; Schrfl, C.; Wyrzykowski, M. Effect of superabsorbent polymers (SAP) on the freeze-thaw resistance of concrete: Results of a RILEM interlaboratory study. Mater. Struct. 2017, 50, 14. [Google Scholar] [CrossRef]






| Mineral Composition | C3S | C2S | C3A | C4AF | Gypsum | Quartz | Periclase | K2SO4 | Free Lime |
|---|---|---|---|---|---|---|---|---|---|
| Content | 60.2 | 14.8 | 3.8 | 12.7 | 3.5 | 0.1 | 0.1 | 0.9 | 1.2 |
| Water Absorption Ratio (g/g) | Brine Absorption Ratio (g/g) | Pressure Water Absorption Ratio (g/g) | Packing Density (g/mL) | pH | |
|---|---|---|---|---|---|
| Numeric value | 400–500 | 60 | 26 | 0.65–0.85 | 6.2 |
| Quartz | Potassium Feldspar | Plagioclase | Calcite | Dolomite | |
|---|---|---|---|---|---|
| MSP | 3.2 | 0.3 | 0.4 | 80.1 | 15.1 |
| Sample | SAP (%) | MSP (%) | Cement | River Sand | Machine-Made Sand | Coarse Aggregate | Water | Polycarboxylate Superplasticizer |
|---|---|---|---|---|---|---|---|---|
| S0M0 | 0.00 | 0 | 455.0 | 141 | 564.2 | 1057.8 | 182.00 | 0.91 |
| S8M0 | 0.08 | 0 | 454.7 | 141 | 564.2 | 1057.8 | 191.09 | 0.91 |
| S16M0 | 0.16 | 0 | 454.3 | 141 | 564.2 | 1057.8 | 191.09 | 0.91 |
| S24M0 | 0.16 | 0 | 453.9 | 141 | 564.2 | 1057.8 | 191.08 | 0.91 |
| S0M3 | 0.00 | 3 | 441.4 | 141 | 564.2 | 1057.8 | 182.00 | 0.91 |
| S8M3 | 0.08 | 3 | 441.0 | 141 | 564.2 | 1057.8 | 190.82 | 0.91 |
| S16M3 | 0.16 | 3 | 440.6 | 141 | 564.2 | 1057.8 | 190.81 | 0.91 |
| S24M3 | 0.24 | 3 | 440.1 | 141 | 564.2 | 1057.8 | 190.80 | 0.91 |
| S0M6 | 0.00 | 6 | 427.7 | 141 | 564.2 | 1057.8 | 182.00 | 0.91 |
| S8M6 | 0.08 | 6 | 427.3 | 141 | 564.2 | 1057.8 | 190.55 | 0.91 |
| S16M6 | 0.16 | 6 | 427.0 | 141 | 564.2 | 1057.8 | 190.54 | 0.91 |
| S24M6 | 0.24 | 6 | 426.6 | 141 | 564.2 | 1057.8 | 190.53 | 0.91 |
| S0M9 | 0.00 | 9 | 414.1 | 141 | 564.2 | 1057.8 | 182.00 | 0.91 |
| S8M9 | 0.08 | 9 | 413.7 | 141 | 564.2 | 1057.8 | 190.27 | 0.91 |
| S16M9 | 0.16 | 9 | 413.3 | 141 | 564.2 | 1057.8 | 190.27 | 0.91 |
| S24M9 | 0.24 | 9 | 413.0 | 141 | 564.2 | 1057.8 | 190.26 | 0.91 |
| No. | Test Content | Specimen Size/mm |
|---|---|---|
| 1 | Compressive strength | 100 |
| 2 | Flexural strength | 100 × 100 × 400 |
| Sample | Factor | Compressive Strength (MPa) | Strength Loss (%) | ||
|---|---|---|---|---|---|
| SAP (%) | MSP (%) | f1 | f2 | ||
| S0M0 | 0.00 | 0 | 54.95 | 38.38 | 30 |
| S8M0 | 0.08 | 0 | 59.61 | 50.35 | 16 |
| S16M0 | 0.16 | 0 | 55.26 | 48.80 | 12 |
| S24M0 | 0.24 | 0 | 52.47 | 44.41 | 15 |
| S0M3 | 0.00 | 3 | 55.27 | 44.94 | 19 |
| S8M3 | 0.08 | 3 | 61.45 | 55.10 | 10 |
| S16M3 | 0.16 | 3 | 58.73 | 54.44 | 7 |
| S24M3 | 0.24 | 3 | 53.37 | 47.35 | 11 |
| S0M6 | 0.00 | 6 | 57.62 | 52.25 | 9 |
| S8M6 | 0.08 | 6 | 62.19 | 56.34 | 9 |
| S16M6 | 0.16 | 6 | 59.23 | 55.40 | 6 |
| S24M6 | 0.24 | 6 | 57.39 | 50.33 | 12 |
| S0M9 | 0.00 | 9 | 58.71 | 50.16 | 15 |
| S8M9 | 0.08 | 9 | 62.88 | 50.18 | 20 |
| S16M9 | 0.16 | 9 | 60.71 | 52.60 | 13 |
| S24M9 | 0.24 | 9 | 57.78 | 45.94 | 20 |
| SAP (%) | MSP (%) | |
|---|---|---|
| -1 | 56.64 | 55.57 |
| -1 | 61.53 | 57.21 |
| -1 | 58.48 | 59.11 |
| -1 | 55.25 | 60.02 |
| -2 | 46.43 | 45.49 |
| -2 | 52.99 | 50.46 |
| -2 | 52.81 | 53.58 |
| -2 | 47.01 | 49.72 |
| 6.28 | 4.45 | |
| R-2 | 6.56 | 8.10 |
| Sample | Factor | Flexural Strength (MPa) | Strength Loss (%) | ||
|---|---|---|---|---|---|
| SAP (%) | MSP (%) | f1 | f2 | ||
| S0M0 | 0.00 | 0 | 5.5 | 1.6 | 71 |
| S8M0 | 0.08 | 0 | 5.4 | 3.6 | 33 |
| S16M0 | 0.16 | 0 | 5.6 | 3.8 | 32 |
| S24M0 | 0.24 | 0 | 4.7 | 2.2 | 53 |
| S0M3 | 0.00 | 3 | 5.9 | 2.7 | 54 |
| S8M3 | 0.08 | 3 | 5.7 | 4.2 | 26 |
| S16M3 | 0.16 | 3 | 6.0 | 4.5 | 25 |
| S24M3 | 0.24 | 3 | 4.8 | 2.8 | 42 |
| S0M6 | 0.00 | 6 | 6.5 | 3.9 | 40 |
| S8M6 | 0.08 | 6 | 6.8 | 5.0 | 26 |
| S16M6 | 0.16 | 6 | 7.4 | 6.5 | 12 |
| S24M6 | 0.24 | 6 | 6.1 | 4.9 | 20 |
| S0M9 | 0.00 | 9 | 6.1 | 3.1 | 41 |
| S8M9 | 0.08 | 9 | 6.4 | 3.8 | 49 |
| S16M9 | 0.16 | 9 | 6.5 | 3.4 | 48 |
| S24M9 | 0.24 | 9 | 4.9 | 2.6 | 47 |
| SAP (%) | MSP (%) | |
|---|---|---|
| -1 | 6.08 | 5.30 |
| -1 | 6.00 | 5.60 |
| -1 | 6.38 | 6.70 |
| -1 | 5.13 | 5.98 |
| -2 | 3.00 | 2.80 |
| -2 | 3.98 | 3.55 |
| -2 | 4.55 | 5.08 |
| -2 | 3.13 | 3.23 |
| 1.25 | 1.40 | |
| R-2 | 1.55 | 2.28 |
| Strength Value | Before 200 Freeze–Thaw Cycles (MPa) | Experimental Values after 200 Freeze–Thaw Cycles (MPa) | Model Predicted Value after 200 Freeze–Thaw Cycles (MPa) |
|---|---|---|---|
| Compressive strength | 59.230 | 55.400 | 55.398 |
| Flexural strength | 7.400 | 6.500 | 6.507 |
Disclaimer/Publisher’s Note: The statements, opinions and data contained in all publications are solely those of the individual author(s) and contributor(s) and not of MDPI and/or the editor(s). MDPI and/or the editor(s) disclaim responsibility for any injury to people or property resulting from any ideas, methods, instructions or products referred to in the content. |
© 2024 by the authors. Licensee MDPI, Basel, Switzerland. This article is an open access article distributed under the terms and conditions of the Creative Commons Attribution (CC BY) license (https://creativecommons.org/licenses/by/4.0/).
Share and Cite
Zhang, L.; Liu, R.; Jiang, F. Mechanical Properties of Recycled Concrete Incorporated with Super-Absorbent Polymer and Machine-Made Stone Powder under the Freeze-Thaw Cycle Environment. Materials 2024, 17, 5006. https://doi.org/10.3390/ma17205006
Zhang L, Liu R, Jiang F. Mechanical Properties of Recycled Concrete Incorporated with Super-Absorbent Polymer and Machine-Made Stone Powder under the Freeze-Thaw Cycle Environment. Materials. 2024; 17(20):5006. https://doi.org/10.3390/ma17205006
Chicago/Turabian StyleZhang, Lingling, Ronggui Liu, and Feifei Jiang. 2024. "Mechanical Properties of Recycled Concrete Incorporated with Super-Absorbent Polymer and Machine-Made Stone Powder under the Freeze-Thaw Cycle Environment" Materials 17, no. 20: 5006. https://doi.org/10.3390/ma17205006
APA StyleZhang, L., Liu, R., & Jiang, F. (2024). Mechanical Properties of Recycled Concrete Incorporated with Super-Absorbent Polymer and Machine-Made Stone Powder under the Freeze-Thaw Cycle Environment. Materials, 17(20), 5006. https://doi.org/10.3390/ma17205006

