The Dependence on Hue, Value and Opacity of Real-Time- and Post-Curing Light Transmission in a Nano-Hybrid Ormocer
Abstract
1. Introduction
2. Materials and Methods
2.1. Materials
2.2. Methods
2.2.1. Spectrophotometry
- (a)
- LCU characteristics
- (b)
- Light transmission
2.2.2. Statistical Analyses
3. Results
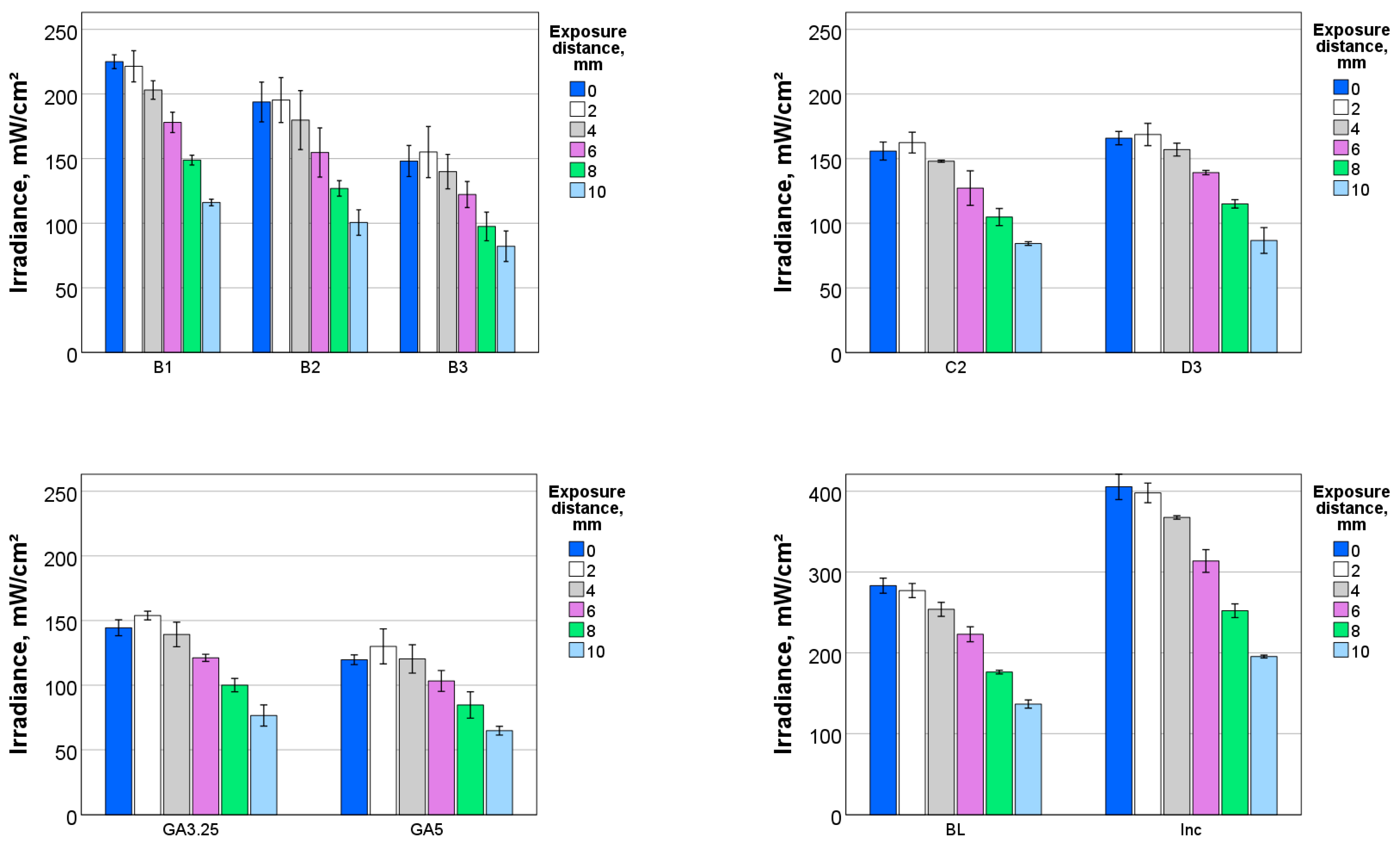
3.1. Emission Spectra of the Used LCU
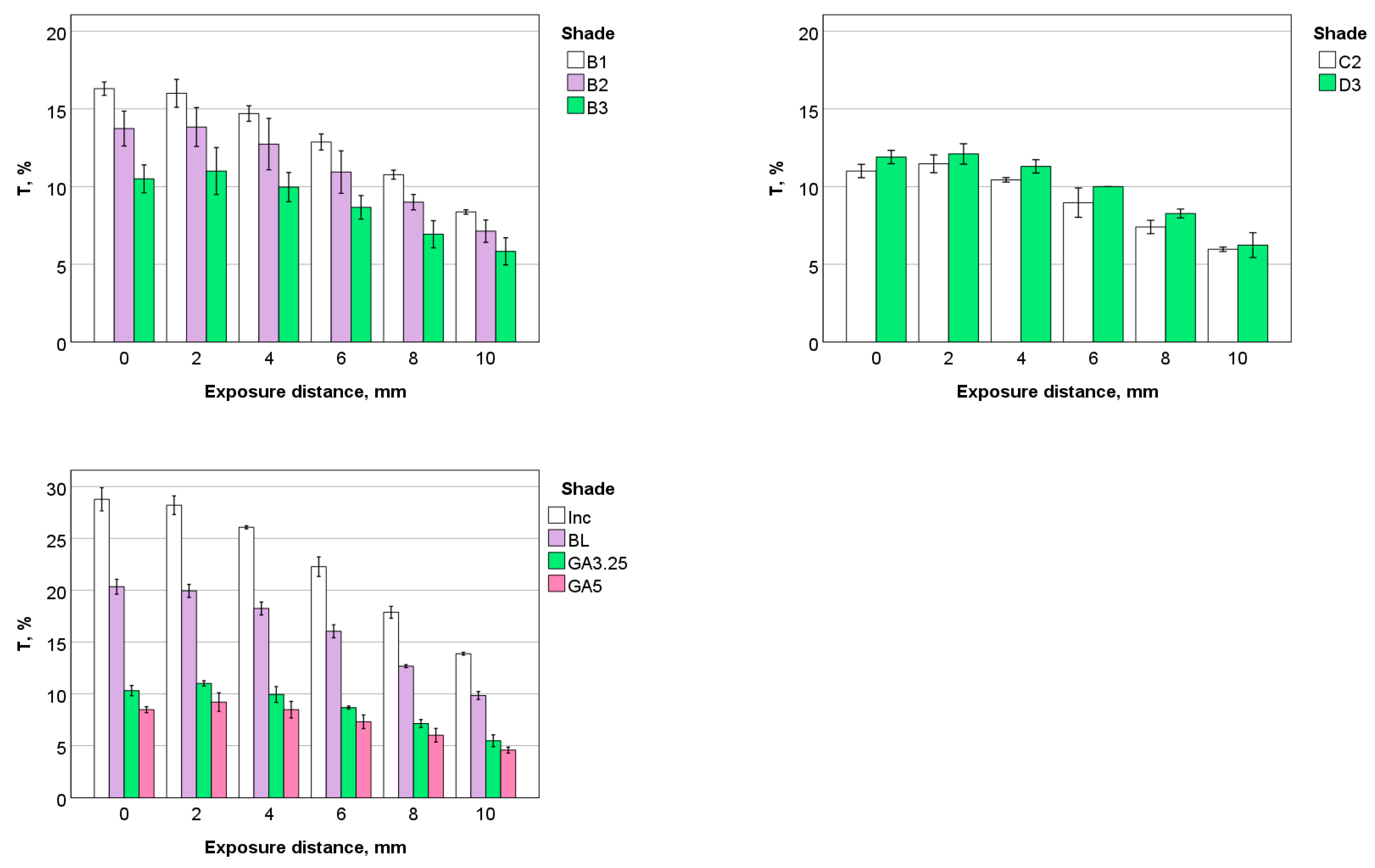
3.2. Real Time Light Transmission during Polymerization in 2 mm Thick Increments
4. Discussion
5. Conclusions
Funding
Institutional Review Board Statement
Informed Consent Statement
Data Availability Statement
Conflicts of Interest
References
- Palin, W.M.; Leprince, J.G.; Hadis, M.A. Shining a light on high volume photocurable materials. Dent. Mater. 2018, 34, 695–710. [Google Scholar] [CrossRef] [PubMed]
- Durner, J.; Obermaier, J.; Draenert, M.; Ilie, N. Correlation of the degree of conversion with the amount of elutable substances in nano-hybrid dental composites. Dent. Mater. Off. Publ. Acad. Dent. Mater. 2012, 28, 1146–1153. [Google Scholar] [CrossRef] [PubMed]
- Sigusch, B.W.; Pflaum, T.; Volpel, A.; Gretsch, K.; Hoy, S.; Watts, D.C.; Jandt, K.D. Resin-composite cytotoxicity varies with shade and irradiance. Dent. Mater. Off. Publ. Acad. Dent. Mater. 2012, 28, 312–319. [Google Scholar] [CrossRef] [PubMed]
- Schmidt, H.; Wolter, H. Organically modified ceramics and their applications. J. Non-Cryst. Solids 1990, 121, 428–435. [Google Scholar] [CrossRef]
- Tagtekin, D.A.; Yanikoglu, F.C.; Bozkurt, F.O.; Kologlu, B.; Sur, H. Selected characteristics of an Ormocer and a conventional hybrid resin composite. Dent. Mater. 2004, 20, 487–497. [Google Scholar] [CrossRef] [PubMed]
- Yap, A.U.; Tan, C.H.; Chung, S.M. Wear behavior of new composite restoratives. Oper. Dent. 2004, 29, 269–274. [Google Scholar] [PubMed]
- Wolter, H.; Storch, W. A new silane precursor with reduced polymerization shrinkage. J. Sol-Gel Sci. Technol. 1994, 2, 93–96. [Google Scholar] [CrossRef]
- Schmidt, H.K. Sol-Gel Synthesis of Ceramic-Organic Nano Composites. MRS Online Proc. Libr. (OPL) 1992, 274, 121. [Google Scholar] [CrossRef]
- Schmidt, H.K. Aspects Of Chemistry and Chemical Processing Of Organically Modified Ceramics. MRS Online Proc. Libr. (OPL) 1990, 180, 961. [Google Scholar] [CrossRef]
- Cattani-Lorente, M.; Bouillaguet, S.; Godin, C.H.; Meyer, J.M. Polymerization shrinkage of Ormocer based dental restorative composites. Eur. Cell Mater. 2001, 1, 25–26. [Google Scholar]
- Ilie, N.; Hickel, R.; Valceanu, A.S.; Huth, K.C. Fracture toughness of dental restorative materials. Clin. Oral Investig. 2012, 16, 489–498. [Google Scholar] [CrossRef] [PubMed]
- Cavalcante, L.M.; Schneider, L.F.; Silikas, N.; Watts, D.C. Surface integrity of solvent-challenged ormocer-matrix composite. Dent. Mater. 2011, 27, 173–179. [Google Scholar] [CrossRef] [PubMed]
- Schubert, A.; Ziegler, C.; Bernhard, A.; Bürgers, R.; Miosge, N. Cytotoxic effects to mouse and human gingival fibroblasts of a nanohybrid ormocer versus dimethacrylate-based composites. Clin. Oral Investig. 2019, 23, 133–139. [Google Scholar] [CrossRef]
- Klauer, E.; Belli, R.; Petschelt, A.; Lohbauer, U. Mechanical and hydrolytic degradation of an Ormocer®-based Bis-GMA-free resin composite. Clin. Oral Investig. 2019, 23, 2113–2121. [Google Scholar] [CrossRef] [PubMed]
- Gunwal, M.K.; Shenoi, P.R.; Paranjape, T.; Dhote, S.; Tongya, R.; Kumar, M.; Rastogi, S. Evaluation of fracture resistance and mode of failure of premolars restored with nanohybrid composite, ORMOCER and ceramic inlays. J. Oral Biol. Craniofacial Res. 2018, 8, 134–139. [Google Scholar] [CrossRef] [PubMed]
- Abreu, N.M.; Sousa, F.B.; Dantas, R.V.; Leite, P.K.; Batista, A.U.; Montenegro, R.V. Longevity of bulk fill and ormocer composites in permanent posterior teeth: Systematic review and meta-analysis. Am. J. Dent. 2022, 35, 89–96. [Google Scholar]
- Haas, K.; Azhar, G.; Wood, D.J.; Moharamzadeh, K.; van Noort, R. The effects of different opacifiers on the translucency of experimental dental composite resins. Dent. Mater. 2017, 33, e310–e316. [Google Scholar] [CrossRef]
- Yeh, C.L.; Miyagawa, Y.; Powers, J.M. Optical properties of composites of selected shades. J. Dent. Res. 1982, 61, 797–801. [Google Scholar] [CrossRef]
- Powers, J.M.; Yeh, C.L.; Miyagawa, Y. Optical properties of composites of selected shades in white light. J. Oral Rehabil. 1983, 10, 319–324. [Google Scholar] [CrossRef]
- Ilie, N.; Furtos, G. A Comparative Study of Light Transmission by Various Dental Restorative Materials and the Tooth Structure. Oper. Dent. 2020, 45, 442–452. [Google Scholar] [CrossRef]
- Sun, J.; Bhushan, B.; Tong, J. Structural coloration in nature. RSC Adv. 2013, 3, 14862–14889. [Google Scholar] [CrossRef]
- Miyagawa, Y.; Powers, J.M.; O’Brien, W.J. Optical properties of direct restorative materials. J. Dent. Res. 1981, 60, 890–894. [Google Scholar] [CrossRef] [PubMed]
- Lee, Y.K. Criteria for clinical translucency evaluation of direct esthetic restorative materials. Restor. Dent. Endod. 2016, 41, 159–166. [Google Scholar] [CrossRef] [PubMed]
- Swinehart, D.F. The Beer-Lambert Law. J. Chem. Educ. 1962, 39, 333. [Google Scholar] [CrossRef]
- Bucuta, S.; Ilie, N. Light transmittance and micro-mechanical properties of bulk fill vs. conventional resin based composites. Clin. Oral Investig. 2014, 18, 1991–2000. [Google Scholar] [CrossRef] [PubMed]
- Johnston, W.M.; Reisbick, M.H. Color and translucency changes during and after curing of esthetic restorative materials. Dent. Mater. Off. Publ. Acad. Dent. Mater. 1997, 13, 89–97. [Google Scholar] [CrossRef] [PubMed]
- Shortall, A.C.; Palin, W.M.; Burtscher, P. Refractive index mismatch and monomer reactivity influence composite curing depth. J. Dent. Res. 2008, 87, 84–88. [Google Scholar] [CrossRef]
- Paravina, R.D.; Ontiveros, J.C.; Powers, J.M. Curing-dependent changes in color and translucency parameter of composite bleach shades. J. Esthet. Restor. Dent. Off. Publ. Am. Acad. Esthet. Dent. 2002, 14, 158–166. [Google Scholar] [CrossRef]
- Grajower, R.; Wozniak, W.T.; Lindsay, J.M. Optical properties of composite resins. J. Oral Rehabil. 1982, 9, 389–399. [Google Scholar] [CrossRef]
- Friebel, M.; Povel, K.; Cappius, H.J.; Helfmann, J.; Meinke, M. Optical properties of dental restorative materials in the wavelength range 400 to 700 nm for the simulation of color perception. J. Biomed. Opt. 2009, 14, 054029. [Google Scholar] [CrossRef]
- Kim, J.B.; Lee, S.Y.; Lee, J.M.; Kim, S.-H. Designing Structural-Color Patterns Composed of Colloidal Arrays. ACS Appl. Mater. Interfaces 2019, 11, 14485–14509. [Google Scholar] [CrossRef] [PubMed]
- Ballato, J. Tailoring visible photonic bandgaps through microstructural order and coupled material effects in SiO2 colloidal crystals. J. Opt. Soc. Am. B 2000, 17, 219–225. [Google Scholar] [CrossRef]
- Prum, R.O.; Torres, R.H.; Williamson, S.; Dyck, J. Coherent light scattering by blue feather barbs. Nature 1998, 396, 28–29. [Google Scholar] [CrossRef]
- Lowe, R.A. OMNICHROMA: One Composite That Covers All Shades for an Anterior Tooth. Compend. Contin. Educ. Dent. 2019, 40, 8–10. [Google Scholar] [PubMed]
- Magkiriadou, S.; Park, J.-G.; Kim, Y.-S.; Manoharan, V.N. Disordered packings of core-shell particles with angle-independent structural colors. Opt. Mater. Express 2012, 2, 1343–1352. [Google Scholar] [CrossRef]
- Durand, L.B.; Ruiz-López, J.; Perez, B.G.; Ionescu, A.M.; Carrillo-Pérez, F.; Ghinea, R.; Pérez, M.M. Color, lightness, chroma, hue, and translucency adjustment potential of resin composites using CIEDE2000 color difference formula. J. Esthet. Restor. Dent. 2020, 33, 836–843. [Google Scholar] [CrossRef] [PubMed]
- Pereira Sanchez, N.; Powers, J.M.; Paravina, R.D. Instrumental and visual evaluation of the color adjustment potential of resin composites. J. Esthet. Restor. Dent. 2019, 31, 465–470. [Google Scholar] [CrossRef]
- Lee, Y.K. Influence of filler on the difference between the transmitted and reflected colors of experimental resin composites. Dent. Mater. 2008, 24, 1243–1247. [Google Scholar] [CrossRef]
- Young, A.T. Rayleigh scattering. Appl. Opt. 1981, 20, 533–535. [Google Scholar] [CrossRef]
- Yu, B.; Ahn, J.S.; Lim, J.I.; Lee, Y.K. Influence of TiO2 nanoparticles on the optical properties of resin composites. Dent. Mater. 2009, 25, 1142–1147. [Google Scholar] [CrossRef]
- Ilie, N.; Ionescu, A.C.; Huth, K.C.; Moldovan, M. Light Transmission Characteristics and Cytotoxicity within A Dental Composite Color Palette. Materials 2023, 16, 3773. [Google Scholar] [CrossRef] [PubMed]
- Price, R.B.; Rueggeberg, F.A.; Harlow, J.; Sullivan, B. Effect of mold type, diameter, and uncured composite removal method on depth of cure. Clin. Oral Investig. 2016, 20, 1699–1707. [Google Scholar] [CrossRef] [PubMed]







Disclaimer/Publisher’s Note: The statements, opinions and data contained in all publications are solely those of the individual author(s) and contributor(s) and not of MDPI and/or the editor(s). MDPI and/or the editor(s) disclaim responsibility for any injury to people or property resulting from any ideas, methods, instructions or products referred to in the content. |
© 2024 by the author. Licensee MDPI, Basel, Switzerland. This article is an open access article distributed under the terms and conditions of the Creative Commons Attribution (CC BY) license (https://creativecommons.org/licenses/by/4.0/).
Share and Cite
Ilie, N. The Dependence on Hue, Value and Opacity of Real-Time- and Post-Curing Light Transmission in a Nano-Hybrid Ormocer. Materials 2024, 17, 496. https://doi.org/10.3390/ma17020496
Ilie N. The Dependence on Hue, Value and Opacity of Real-Time- and Post-Curing Light Transmission in a Nano-Hybrid Ormocer. Materials. 2024; 17(2):496. https://doi.org/10.3390/ma17020496
Chicago/Turabian StyleIlie, Nicoleta. 2024. "The Dependence on Hue, Value and Opacity of Real-Time- and Post-Curing Light Transmission in a Nano-Hybrid Ormocer" Materials 17, no. 2: 496. https://doi.org/10.3390/ma17020496
APA StyleIlie, N. (2024). The Dependence on Hue, Value and Opacity of Real-Time- and Post-Curing Light Transmission in a Nano-Hybrid Ormocer. Materials, 17(2), 496. https://doi.org/10.3390/ma17020496
