Fractional-Order Modeling of Heat and Moisture Transfer in Anisotropic Materials Using a Physics-Informed Neural Network
Abstract
1. Introduction
2. Materials and Methods
2.1. Equations of Heat-and-Mass Transfer of Fractional Order
2.2. Approximation of Fractal Operators
2.3. The Structure of the Neural Network
3. Results and Discussion
3.1. Algorithmic Aspects of fPINN Implementation
| Listing 1. Initialization of feed-forward model. |
![]() |
| Listing 2. Computation of residuals. |
![]() |
| Listing 3. Loss function determination. |
![]() |
| Listing 4. Finding the number of learning iterations. |
![]() |
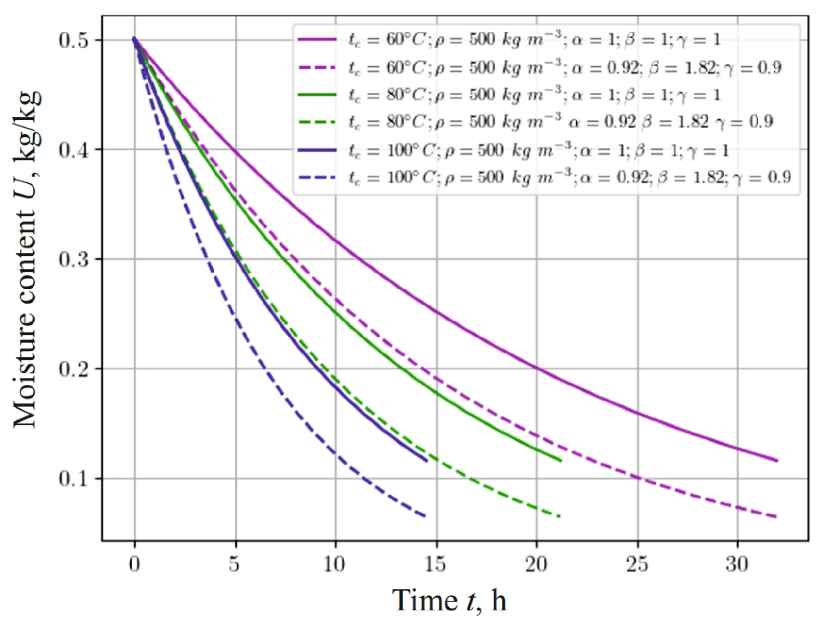
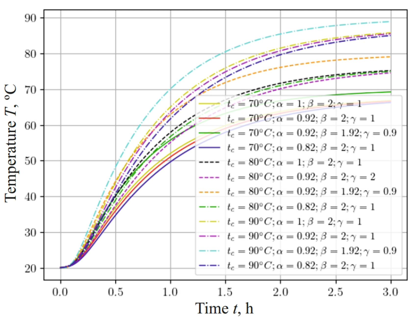
3.2. Research on Temperature and Moisture in Anisotropic Materials
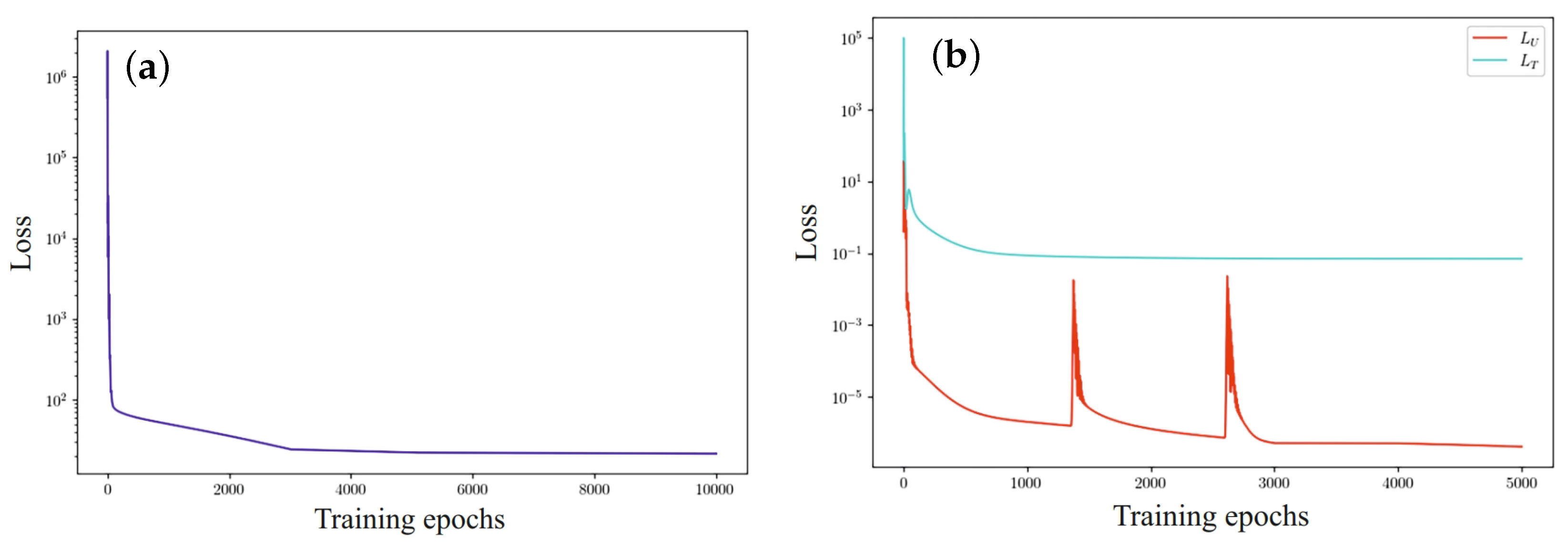
3.3. Evaluation of fPINN Architecture Efficiency and the Use of Optimizers
3.4. Evaluation of the Impact of Data Noise
4. Conclusions
Author Contributions
Funding
Institutional Review Board Statement
Informed Consent Statement
Data Availability Statement
Conflicts of Interest
Abbreviations
| Adam | Methods for estimating the adaptive moment |
| ANN | Artificial neural network |
| BFGS | Broyden–Fletcher–Goldfarb–Shanno |
| FDM | Finite difference method |
| fPINN | Fractal physics-informed neural network |
| NAdam | Nesterov-accelerated Adam |
| PINN | Physics-informed neural network |
| RMSProp | Root Mean Square Propagation |
| SGD | Stochastic gradient descent |
References
- Wu, Z.; Zhang, X.; Wang, J.; Zeng, X. Applications of Fractional Differentiation Matrices in Solving Caputo Fractional Differential Equations. Fractal Fract. 2023, 7, 374. [Google Scholar] [CrossRef]
- Albidah, A.B. Application of Riemann-Liouville Derivatives on Second-Order Fractional Differential Equations: The Exact Solution. Fractal Fract. 2023, 7, 843. [Google Scholar] [CrossRef]
- Alesemi, M. Numerical Analysis of Fractional-Order Parabolic Equation Involving Atangana–Baleanu Derivative. Symmetry 2023, 15, 237. [Google Scholar] [CrossRef]
- Lee, S.; Kim, H.; Jang, B. A Novel Numerical Method for Solving Nonlinear Fractional-Order Differential Equations and Its Applications. Fractal Fract. 2024, 8, 65. [Google Scholar] [CrossRef]
- Riabi, L.M.; Hamdi Cherif, M.; Cattani, C. An Efficient Approach to Solving the Fractional SIR Epidemic Model with the Atangana–Baleanu-Caputo Fractional Operator. Fractal Fract. 2023, 7, 618. [Google Scholar] [CrossRef]
- Khan, F.S.; Khalid, M.; Al-moneef, A.A.; Ali, A.H.; Bazighifan, O. Freelance Model with Atangana–Baleanu Caputo Fractional Derivative. Symmetry 2022, 14, 2424. [Google Scholar] [CrossRef]
- Lupaş, A.A.; Cătaş, A. Applications of the Atangana–Baleanu Fractional Integral Operator. Symmetry 2022, 14, 630. [Google Scholar] [CrossRef]
- Omaba, M.E.; Enyi, C.D. Atangana–Baleanu Time-Fractional Stochastic Integro-Differential Equation. Partial. Differ. Equations Appl. Math. 2021, 4, 100100. [Google Scholar] [CrossRef]
- Al-Salti, N.; Karimov, E.; Sadarangani, K. On a Differential Equation with Caputo–Fabrizio Fractional Derivative of Order 1 < β ≤ 2 and Application to Mass-Spring-Damper System. Progr. Fract. Differ. Appl. 2016, 2, 257–263. [Google Scholar] [CrossRef]
- Hattaf, K. A New Mixed Fractional Derivative with Applications in Computational Biology. Computation 2024, 12, 7. [Google Scholar] [CrossRef]
- Sarwar, N.; Asjad, M.I.; Sitthiwirattham, T.; Patanarapeelert, N.; Muhammad, T. A Prabhakar Fractional Approach for the Convection Flow of Casson Fluid across an Oscillating Surface Based on the Generalized Fourier Law. Symmetry 2021, 13, 2039. [Google Scholar] [CrossRef]
- Dubey, V.P.; Singh, J.; Dubey, S.; Kumar, D. Analysis of Cauchy Problems and Diffusion Equations Associated with the Hilfer-Prabhakar Fractional Derivative via Kharrat-Toma Transform. Fractal Fract. 2023, 7, 413. [Google Scholar] [CrossRef]
- Indushree, M.; Venkataraman, M. An Application of the Prabhakar Fractional Operator to a Subclass of Analytic Univalent Function. Fractal Fract. 2023, 7, 266. [Google Scholar] [CrossRef]
- Tarasov, V.E. Fractional Dynamics with Depreciation and Obsolescence: Equations with Prabhakar Fractional Derivatives. Mathematics 2022, 10, 1540. [Google Scholar] [CrossRef]
- Sandev, T. Generalized Langevin Equation and the Prabhakar Derivative. Mathematics 2017, 5, 66. [Google Scholar] [CrossRef]
- Klimek, M. Spectrum of Fractional and Fractional Prabhakar Sturm–Liouville Problems with Homogeneous Dirichlet Boundary Conditions. Symmetry 2021, 13, 2265. [Google Scholar] [CrossRef]
- Sousa, E. How to approximate the fractional derivative of order 1 < α ≤ 2. Int. J. Bifurc. Chaos 2012, 22, 1250075. [Google Scholar] [CrossRef]
- Jin, B.; Lazarov, R.; Zhou, Z. An analysis of the L1 scheme for the subdiffusion equation with nonsmooth data. IMA J. Numer. Anal. 2015, 36, 197–221. [Google Scholar] [CrossRef]
- Yu, D.; Liao, X.; Wang, Y. Modeling and Analysis of Caputo–Fabrizio Definition-Based Fractional-Order Boost Converter with Inductive Loads. Fractal Fract. 2024, 8, 81. [Google Scholar] [CrossRef]
- Rahman, M.U.; Althobaiti, A.; Riaz, M.B.; Al-Duais, F.S. A Theoretical and Numerical Study on Fractional Order Biological Models with Caputo Fabrizio Derivative. Fractal Fract. 2022, 6, 446. [Google Scholar] [CrossRef]
- Javed, F.; Riaz, M.B.; Iftikhar, N.; Awrejcewicz, J.; Akgül, A. Heat and Mass Transfer Impact on Differential Type Nanofluid with Carbon Nanotubes: A Study of Fractional Order System. Fractal Fract. 2021, 5, 231. [Google Scholar] [CrossRef]
- Atangana, A.; Baleanu, D. New Fractional Derivatives with Non-Local and Non-Singular Kernel: Theory and Application to Heat Transfer Model. Thermal Sci. 2016, 20, 763–769. [Google Scholar] [CrossRef]
- Alqahtani, R.T. Atangana-Baleanu Derivative with Fractional Order Applied to the Model of Groundwater within an Unconfined Aquifer. J. Nonlinear Sci. Appl. 2016, 9, 3647–3654. [Google Scholar] [CrossRef]
- Rehman, A.U.; Jarad, F.; Riaz, M.B.; Shah, Z.H. Generalized Mittag-Leffler Kernel Form Solutions of Free Convection Heat and Mass Transfer Flow of Maxwell Fluid with Newtonian Heating: Prabhakar Fractional Derivative Approach. Fractal Fract. 2022, 6, 98. [Google Scholar] [CrossRef]
- dos Santos, M.A.F. Fractional Prabhakar Derivative in Diffusion Equation with Non-Static Stochastic Resetting. Physics 2019, 1, 40–58. [Google Scholar] [CrossRef]
- Datsko, B.; Podlubny, I.; Povstenko, Y. Time-Fractional Diffusion-Wave Equation with Mass Absorption in a Sphere under Harmonic Impact. Mathematics 2019, 7, 433. [Google Scholar] [CrossRef]
- Kexue, L.; Jigen, P. Laplace transform and fractional differential equations. Appl. Math. Lett. 2011, 24, 2019–2023. [Google Scholar] [CrossRef]
- Pyanylo, Y.; Vasyunik, M.; Vasyunik, I. The Use of Laguerre Polynomials for the Spectral Method of Solving Equations with Time Fractional Derivatives. Phys. Math. Model. Inf. Technol. 2013, 17, 163–167. [Google Scholar]
- Sokolovskyy, Y.; Shymanskyi, V.; Levkovych, M. Mathematical modeling of non-isothermal moisture transfer and vis-co-elastic deformation in the materials with fractal structure. In Proceedings of the 11th International Scientific and Technical Conference Computer Science and Information Technologies (CSIT 2016), Lviv, Ukraine, 6–10 September 2016. [Google Scholar] [CrossRef]
- Sokolovskyy, Y.; Levkovych, M.; Sokolovskyy, I. The study of heat transfer and stress-strain state of a material, taking into account its fractal structure. Math. Model. Comput. 2020, 7, 400–409. [Google Scholar] [CrossRef]
- Shymanskyi, V.; Sokolovskyy, Y. Finite Element Calculation of the Linear Elasticity Problem for Biomaterials with Fractal Structure. Open Bioinform. J. 2021, 14, 114–122. [Google Scholar] [CrossRef]
- Sokolovskyy, Y.; Levkovych, M.; Mokrytska, O.; Kaspryshyn, Y. Mathematical Modeling of Nonequilibrium Physical Processes, Taking into Account the Memory Effects and Spatial Correlation. In Proceedings of the 9th International Conference on Advanced Computer Information Technologies (ACIT 2019), České Budějovice, Czech Republic, 5–7 June 2019. [Google Scholar] [CrossRef]
- Hornik, K.; Stinchcombe, M.; White, H. Multilayer feedforward networks are universal approximators. Neural Netw. 1989, 2, 359–366. [Google Scholar] [CrossRef]
- Lagaris, I.; Likas, A.; Fotiadis, D. Artificial neural networks for solving ordinary and partial differential equations. IEEE Trans. Neural Netw. 1998, 9, 987–1000. [Google Scholar] [CrossRef] [PubMed]
- Lagaris, I.; Likas, A.; Papageorgiou, D. Neural-network methods for boundary value problems with irregular boundaries. IEEE Trans. Neural Netw. 2000, 11, 1041–1049. [Google Scholar] [CrossRef]
- Baydin, A.G.; Pearlmutter, B.A.; Radul, A.A.; Siskind, J.M. Automatic Differentiation in Machine Learning: A Survey. J. Mach. Learn. Res. 2018, 18, 1–43. [Google Scholar] [CrossRef]
- Dissanayake, M.W.M.G.; Phan-Thien, N. Neural-network-based approximations for solving partial differential equations. Commun. Numer. Methods Eng. 1994, 10, 195–201. [Google Scholar] [CrossRef]
- Raissi, M.; Perdikaris, P.; Karniadakis, G.E. Physics-informed neural networks: A deep learning framework for solving forward and inverse problems involving nonlinear partial differential equations. J. Comput. Phys. 2019, 378, 686–707. [Google Scholar] [CrossRef]
- Haghighat, E.; Amini, D.; Juanes, R. Physics-informed neural network simulation of multiphase poroelasticity using stress-split sequential training. Comput. Methods Appl. Mech. Eng. 2021, 397, 115141. [Google Scholar] [CrossRef]
- Gnanasambandam, R.; Shen, B.; Chung, J.; Yue, X. Self-scalable Tanh (Stan): Faster Convergence and Better Generalization in Physics-informed Neural Networks. arXiv 2022, arXiv:2204.12589. [Google Scholar] [CrossRef]
- Cai, S.; Wang, Z.; Wang, S.; Perdikaris, P.; Karniadakis, G.E. Physics-Informed Neural Networks for Heat Transfer Problems. J. Heat Transf. 2021, 143, 060801. [Google Scholar] [CrossRef]
- Henkes, A.; Wessels, H.; Mahnken, R. Physics informed neural networks for continuum micromechanics. Comput. Methods Appl. Mech. Eng. 2022, 393, 114790. [Google Scholar] [CrossRef]
- Liu, X.; Zhang, X.; Peng, W.; Zhou, W.; Yao, W. A novel meta-learning initialization method for physics-informed neural networks. Neural Comput. Applic 2022, 34, 14511–14534. [Google Scholar] [CrossRef]
- Chen, Z.; Liu, Y.; Sun, H. Physics-informed learning of governing equations from scarce data. Nat. Commun. 2021, 12, 6136. [Google Scholar] [CrossRef] [PubMed]
- Mustajab, A.H.; Lyu, H.; Rizvi, Z.; Wuttke, F. Physics-Informed Neural Networks for High-Frequency and Multi-Scale Problems Using Transfer Learning. Appl. Sci. 2024, 14, 3204. [Google Scholar] [CrossRef]
- Faroughi, S.A.; Soltanmohammadi, R.; Datta, P.; Mahjour, S.K.; Faroughi, S. Physics-Informed Neural Networks with Periodic Activation Functions for Solute Transport in Heterogeneous Porous Media. Mathematics 2024, 12, 63. [Google Scholar] [CrossRef]
- Yan, H.; Wang, Y.; Yan, Y.; Cui, J. Physics-Informed Neural Network for Flow Prediction Based on Flow Visualization in Bridge Engineering. Atmosphere 2023, 14, 759. [Google Scholar] [CrossRef]
- Xia, Y.; Meng, Y. Physics-Informed Neural Network (PINN) for Solving Frictional Contact Temperature and Inversely Evaluating Relevant Input Parameters. Lubricants 2024, 12, 62. [Google Scholar] [CrossRef]
- Moradi, S.; Duran, B.; Eftekhar Azam, S.; Mofid, M. Novel Physics-Informed Artificial Neural Network Architectures for System and Input Identification of Structural Dynamics PDEs. Buildings 2023, 13, 650. [Google Scholar] [CrossRef]
- Wang, L.M.; Song, Q.K.; Zhao, Z.J. Global asymptotic stability of memristor-based fractional-order complex-valued neural networks with time delays. Appl. Math. Mech. 2017, 38, 333–346. [Google Scholar] [CrossRef]
- Samaniego, E.; Anitescu, C.; Goswami, S.; Nguyen-Thanh, V.M.; Guo, H.; Hamdia, K.; Zhuang, X.; Rabczuk, T. An energy approach to the solution of partial differential equations in computational mechanics via machine learning: Concepts, implementation and applications. Comput. Methods Appl. Mech. Engrg. 2020, 362, 112790. [Google Scholar] [CrossRef]
- Hamdia, K.M.; Zhuang, X.; Rabczuk, T. An efficient optimization approach for designing machine learning models based on genetic algorithm. Neural Comput. Appl. 2021, 33, 1923–1933. [Google Scholar] [CrossRef]
- Yan, X.B.; Xu, Z.Q.J.; Ma, Z. Laplace-fPINNs: Laplace-based fractional physics-informed neural networks for solving forward and inverse problems of subdiffusion. arXiv 2023, arXiv:2304.00909. [Google Scholar] [CrossRef]
- Wang, J. Improved machine learning technique for solving Hausdorff derivative diffusion equations. Fractals 2020, 28, 2050071. [Google Scholar] [CrossRef]
- Jafarian, A.; Rostami, F.; Alireza, K.; Golmankhaneh, K.; Baleanu, D. Using ANNs Approach for Solving Fractional Order Volterra Integro-differential Equations. Int. J. Comput. Intell. Syst. 2017, 10, 470–480. [Google Scholar] [CrossRef]
- Guo, L.; Wu, H.; Yu, X.; Zhou, T. Monte Carlo fPINNs: Deep learning method for forward and inverse problems involving high dimensional fractional partial differential equations. Comput. Methods Appl. Mech. Eng. 2022, 400, 115523. [Google Scholar] [CrossRef]
- Pang, G.; Lu, L.; Karniadakis, G.E. fPINNs: Fractional Physics-Informed Neural Networks. SIAM J. Sci. Comput. 2019, 41, A2603–A2626. [Google Scholar] [CrossRef]
- Zaheer, R.; Shaziya, H. A study of the optimization algorithms in deep learning. In Proceedings of the 2019 Third International Conference on Inventive Systems and Control (ICISC), Coimbatore, India, 10–11 January 2019; pp. 536–539. [Google Scholar] [CrossRef]
- Joseph, F.J.J.; Nonsiri, S.; Monsakul, A.; Monsakul, A. Keras and TensorFlow: A Hands-On Experience. In Advanced Deep Learning for Engineers and Scientists; Monsakul, A., Ed.; Springer: Cham, Switzerland, 2021; pp. 85–111. [Google Scholar] [CrossRef]
- Perre, P. Fundamentals of Wood Drying; European COST and A.R.BO.LOR: Nancy, France, 2007; pp. 1–385. [Google Scholar]
- Bilei, P.V. Theoretical Foundations of Thermal Treatment and Drying of Wood (Monograph in Ukrainian); Vik: Kolomyia, Ukraine, 2005; p. 360. [Google Scholar]
- Glorot, X.; Bengio, Y. Understanding the difficulty of training deep feedforward neural networks. In Proceedings of the Thirteenth International Conference on Artificial Intelligence and Statistics, Sardinia, Italy, 13–15 May 2010. [Google Scholar]
- Basok, B.; Davydenko, B.; Pavlenko, A.M. Numerical Network Modeling of Heat and Moisture Transfer through Capillary-Porous Building Materials. Materials 2021, 14, 1819. [Google Scholar] [CrossRef]
- Dedic, A.D.; Mujumdav, A.S.; Voronjec, D.K. Three-Dimensional Model for Heat and Mass Transfer in Convective Wood Drying. Dry. Technol. 2004, 21, 1–15. [Google Scholar] [CrossRef]
- Marin, I.; Kuzmanic Skelin, A.; Grujic, T. Empirical Evaluation of the Effect of Optimization and Regularization Techniques on the Generalization Performance of Deep Convolutional Neural Network. Appl. Sci. 2020, 10, 7817. [Google Scholar] [CrossRef]














Disclaimer/Publisher’s Note: The statements, opinions and data contained in all publications are solely those of the individual author(s) and contributor(s) and not of MDPI and/or the editor(s). MDPI and/or the editor(s) disclaim responsibility for any injury to people or property resulting from any ideas, methods, instructions or products referred to in the content. |
© 2024 by the authors. Licensee MDPI, Basel, Switzerland. This article is an open access article distributed under the terms and conditions of the Creative Commons Attribution (CC BY) license (https://creativecommons.org/licenses/by/4.0/).
Share and Cite
Sokolovskyy, Y.; Drozd, K.; Samotii, T.; Boretska, I. Fractional-Order Modeling of Heat and Moisture Transfer in Anisotropic Materials Using a Physics-Informed Neural Network. Materials 2024, 17, 4753. https://doi.org/10.3390/ma17194753
Sokolovskyy Y, Drozd K, Samotii T, Boretska I. Fractional-Order Modeling of Heat and Moisture Transfer in Anisotropic Materials Using a Physics-Informed Neural Network. Materials. 2024; 17(19):4753. https://doi.org/10.3390/ma17194753
Chicago/Turabian StyleSokolovskyy, Yaroslav, Kazimierz Drozd, Tetiana Samotii, and Iryna Boretska. 2024. "Fractional-Order Modeling of Heat and Moisture Transfer in Anisotropic Materials Using a Physics-Informed Neural Network" Materials 17, no. 19: 4753. https://doi.org/10.3390/ma17194753
APA StyleSokolovskyy, Y., Drozd, K., Samotii, T., & Boretska, I. (2024). Fractional-Order Modeling of Heat and Moisture Transfer in Anisotropic Materials Using a Physics-Informed Neural Network. Materials, 17(19), 4753. https://doi.org/10.3390/ma17194753





