Fabrication and Characterization of Ce3+-Doped Lithium Alumino-Silicate Scintillating Glass–Ceramic and Fiber
Abstract
1. Introduction
2. Materials and Methods
2.1. Preparation and Characterization of Glass–Ceramic
2.2. Preparation and Characterization of Fiber
3. Results and Discussion
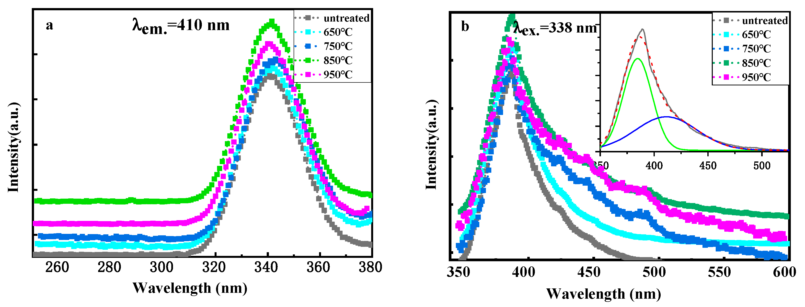
3.1. Glass and Glass–Ceramics
3.2. Hybrid Fiber
4. Conclusions
Author Contributions
Funding
Institutional Review Board Statement
Informed Consent Statement
Data Availability Statement
Conflicts of Interest
References
- Fontbonne, J.M.; Iltis, G.; Ban, G.; Battala, A.; Vernhes, J.C.; Tillier, J.; Bellaize, N.; Brun, C.L.; Tamain, B.; Mercier, K.; et al. Scintillating fiber dosimeter for radiation therapy accelerator. IEEE Trans. Nucl. Sci. 2002, 49, 2223–2227. [Google Scholar] [CrossRef]
- Gillet, P.; Munier, M.; Arbor, N.; Carbillet, F.; Bitar, Z.E. Evaluation of an optical scintillating fiber detector for CT dosimetry. Radiat. Meas. 2018, 119, 125–131. [Google Scholar] [CrossRef]
- Cohen, E.O.; Piasetzky, E.; Shamai, Y.; Pilip, N. Development of a scintillating-fiber beam detector for the muse experiment. Nucl. Instrum. Methods A 2016, 815, 75–82. [Google Scholar] [CrossRef]
- Zuo, C.G.; Lu, A.X.; Zhu, L.G. Luminescence of Ce3+/Tb3+ ions in lithium-barium-aluminosilicate oxyfluoride glasses. Mat. Sci. Eng. B Adv. 2010, 175, 229–232. [Google Scholar] [CrossRef]
- Spector, G.B.; McCollum, T.; Spowart, A.R. Advances in lithium-loaded glass scintillator fiber development. Nucl. Inst. Methods Phys. Res. A 1992, 313, 373–376. [Google Scholar] [CrossRef]
- Mansour, E. Structure and electrical conductivity of new Li2O-CeO2-B2O3 glasses. J. Non-Cryst. Solids 2011, 357, 1364–1369. [Google Scholar] [CrossRef]
- Bei, J.; Qian, G.; Liang, X.L.; Yuan, S.L.; Yang, Y.X.; Chen, G.R. Optical properties of Ce3+-doped oxide glasses and correlations with optical basicity. Mater. Res. Bull. 2007, 42, 1195–1200. [Google Scholar] [CrossRef]
- Liu, X.; Zhou, J.; Zhou, S.; Yue, Y.; Qiu, J. Transparent glass-ceramics functionalized by dispersed crystals. Prog. Mater. Sci. 2018, 97, 38–96. [Google Scholar] [CrossRef]
- Fu, L.; Engqvist, H.; Xia, W. Glass-ceramics in dentistry: A review. Materials 2020, 13, 1049. [Google Scholar] [CrossRef]
- Lin, Z.Y.; Lv, S.C.; Yang, Z.M.; Qiu, J.R.; Zhou, S.F. Structured scintillators for efficient radiation detection. Adv. Sci. 2021, 9, 2102439. [Google Scholar] [CrossRef]
- Lv, S.C.; Tang, J.Z.; Chen, J.F.; Liu, P.; Guo, J.P.; Ma, Y.; Qiu, J.R.; Zhou, S.F. Full-Inorganic micro-fiber probe for real-time radiation monitoring. Adv. Mater. Technol. 2020, 6, 200696. [Google Scholar] [CrossRef]
- Lin, L.T.; Lv, S.C.; Xie, W.Q.; Feng, X.; Zhao, Y.J.; Yang, Z.M.; Qiu, J.R.; Zhou, S.F. Nanostructured glass composite for self-calibrated radiation dose rate detection. Adv. Opt. Mater. 2021, 9, 2100751. [Google Scholar] [CrossRef]
- Abel, K.H.; Arthur, R.J.; Bliss, M.; Brite, D.W.; Brodzinski, R.L.; Craig, R.; Geelhood, B.; Goldman, D.; Griffin, J.; Perkins, R.; et al. Scintillating-glass-fiber neutron sensors. Nucl. Instrum. Methods A 1994, 353, 114–117. [Google Scholar] [CrossRef]
- Nagarkar, V.V.; Gaysinskiy, V.; Bell, Z.; Bliss, M.; Miller, S.; Riley, K.J. A neutron imaging detector from bundled lithium silicate glass fibers. In Proceedings of the 2009 IEEE Nuclear Science Symposium Conference Record (NSS/MIC), Orlando, FL, USA, 24 October–1 November 2009; pp. 1122–1125. [Google Scholar]
- Mayer, M.; Bliss, M. Optimization of lithium-glass fibers with lithium depleted coating for neutron detection. Nucl. Inst. Methods Phys. Res. A 2019, 930, 37–41. [Google Scholar] [CrossRef]
- Liu, C.; Lü, J.W.; Liu, W.; Wang, F.M.; Paul, K.C. Overview of refractive index sensors comprising photonic crystal fibers based on the surface plasmon resonance effect. Chin. Opt. Lett. 2021, 19, 102202. [Google Scholar] [CrossRef]
- Xu, L.; Zhu, R.Q.; Xu, C.X. Broadband photochromic effect and photoluminescence modulation in rare-earth-doped (Pb,La)(Zr,Ti)O3 ceramics. Chin. Opt. Lett. 2020, 18, 091403. [Google Scholar] [CrossRef]
- Chen, H.L.; Jiang, X.T.; Xu, S.X.; Zhang, H. Recent progress in multi-wavelength fiber lasers, principles, status, and challenges. Chin. Opt. Lett. 2020, 18, 041405. [Google Scholar] [CrossRef]
- Hsu, K.; Yang, M.; Jheng, D.; Huang, S.; Mennemann, K.; Dietrich, V.; Dubinskii, M. Single Crystalline YAG-core fiber with a lanthanum dense flint glass cladding. In Proceedings of the 2013 Conference on Lasers and Electro-Optics Pacific Rim (CLEOPR), Kyoto, Japan, 30 June–4 July 2013. [Google Scholar]
- Hsu, K.; Yang, M.; Jheng, D.; Lai, C.; Huang, S.; Mennemann, K.; Dietrich, V. Cladding YAG crystal fibers with high-index glasses for reducing the number of guided modes. Opt. Mater. Express 2013, 3, 813–820. [Google Scholar] [CrossRef]
- Ballato, J.; Hawkins, T.; Foy, P.; Kokuoz, B.; Stolen, R.; McMillen, C.; Daw, M.; Su, Z.; Tritt, T.M.; Dubinskii, M. On the fabrication of all-glass optical fibers from crystals. J. Appl. Phys. 2009, 105, 67–75. [Google Scholar] [CrossRef]
- Zheng, S.P.; Li, J.; Yu, C.L.; Zhou, Q.L.; Chen, D.P. Preparation and characterizations of Nd, YAG ceramic derived silica fiber drawn by post-feeding molten core approach. Opt. Express 2016, 24, 24248–24254. [Google Scholar] [CrossRef]
- Zheng, S.P.; Li, J.; Yu, C.L.; Zhou, Q.L.; Hu, L.L.; Chen, D.P. Preparation and characterizations of Yb, YAG-derived silica fibers drawn by on-line feeding molten core approach. Ceram. Int. 2017, 43, 5837–5841. [Google Scholar] [CrossRef]
- Wang, Q.C.; Wang, J.; Han, J.J.; Xie, J. Effects of Li2O on the crystallization behavior of Li2O-Al2O3-SiO2 glass-ceramic with low thermal expansion. J. Mater. Sci. Engin. 2019, 37, 541–545. [Google Scholar]
- Lu, A.X.; Ke, Z.B.; Xiao, Z.H. Effect of heat-treatment condition on crystallization behavior Li2O-ZnO-Al2O3-SiO2-P2O5 glass-ceramics. J. Non-Cryst. Solids 2007, 353, 2692–2697. [Google Scholar] [CrossRef]
- Liu, K.X.; Wei, G.; Wang, E.; Wang, L.; Zhang, F. Research on heat treatment process of Li2O-ZnO-Al2O3-SiO2 glass ceramic. Chin. Ceram. 2015, 51, 65–68. [Google Scholar]
- Umesaki, N.; Takahashi, M.; Tatsumisago, M.; Minami, T. Raman spectroscopic study of alkali silicate glasses and melts. J. Non-Cryst. Solids 1996, 205, 225–230. [Google Scholar] [CrossRef]
- You, J.L.; Jiang, G.C.; Hou, H.Y.; Chen, H.; Wu, Y.-Q.; Xu, K.-D. Quantum chemistry study on superstructure and Raman spectra of binary sodium silicates. J. Raman Spectrosc. 2005, 36, 237–249. [Google Scholar] [CrossRef]
- Li, W.H.; Sui, Z.X.; Fan, C.L.; Wang, C.; Zhu, Y.; Ren, J.; Zhang, J.Z. Intense radioluminescence from transparent CsGd2F7, Ce3+ nano-glass scintillator. J. Eur. Ceram. Soc. 2023, 43, 6331–6336. [Google Scholar] [CrossRef]
- Pan, L.Y.; Daguano, K.M.F.; Trindade, N.M.; Cerruti, M.; Zanotto, E.D.; Jacobsohn, L.G. Scintillation, luminescence and optical properties of Ce-Doped borosilicate glasses. Opt. Mater. 2020, 104, 109847. [Google Scholar] [CrossRef]
- Chen, D.P.; Luo, D.L.; Xu, Q.Y.; Yang, S.L.; Tang, T.; Wang, X.Y. Structure and fluorescence quenching of Li2O-MgO-Al2O3-SiO2 glasses doped with trivalent cerium. J. Inorg. Mater. 2014, 29, 967–971. [Google Scholar]
- Blasse, G.; Bril, A. Investigation of some Ce3+-activated phosphors. J. Chem. Phys. 1967, 47, 5139–5145. [Google Scholar] [CrossRef]












| Raw Materials | Purity | Factory |
|---|---|---|
| SiO2 | 99.99% | Aladdin (Shanghai, China) |
| Li2O | 98% | Aladdin (Shanghai, China) |
| CeO2 | 99.95% | Alfa Aesar (Shanghai, China) |
| Al2O3 | 99% | Aladdin (Shanghai, China) |
Disclaimer/Publisher’s Note: The statements, opinions and data contained in all publications are solely those of the individual author(s) and contributor(s) and not of MDPI and/or the editor(s). MDPI and/or the editor(s) disclaim responsibility for any injury to people or property resulting from any ideas, methods, instructions or products referred to in the content. |
© 2024 by the authors. Licensee MDPI, Basel, Switzerland. This article is an open access article distributed under the terms and conditions of the Creative Commons Attribution (CC BY) license (https://creativecommons.org/licenses/by/4.0/).
Share and Cite
Wang, Y.; Meng, F.; Chen, H.; Luo, W.; Xu, S.; Lv, C. Fabrication and Characterization of Ce3+-Doped Lithium Alumino-Silicate Scintillating Glass–Ceramic and Fiber. Materials 2024, 17, 4481. https://doi.org/10.3390/ma17184481
Wang Y, Meng F, Chen H, Luo W, Xu S, Lv C. Fabrication and Characterization of Ce3+-Doped Lithium Alumino-Silicate Scintillating Glass–Ceramic and Fiber. Materials. 2024; 17(18):4481. https://doi.org/10.3390/ma17184481
Chicago/Turabian StyleWang, Yongya, Fanbo Meng, Huiyu Chen, Wenqin Luo, Shunjian Xu, and Chunyan Lv. 2024. "Fabrication and Characterization of Ce3+-Doped Lithium Alumino-Silicate Scintillating Glass–Ceramic and Fiber" Materials 17, no. 18: 4481. https://doi.org/10.3390/ma17184481
APA StyleWang, Y., Meng, F., Chen, H., Luo, W., Xu, S., & Lv, C. (2024). Fabrication and Characterization of Ce3+-Doped Lithium Alumino-Silicate Scintillating Glass–Ceramic and Fiber. Materials, 17(18), 4481. https://doi.org/10.3390/ma17184481

