Eccentric Compression Behavior of Truss-Reinforced Cross-Shaped Concrete-Filled Steel Tubular Columns
Abstract
1. Introduction
2. Test Program
2.1. Details of Specimens
2.2. Material Properties
2.3. Test Setup and Measurement
3. Test Results and Discussion
3.1. Failure Modes
3.2. Influence of Parameters
3.2.1. Configuration Forms
3.2.2. Reinforced Truss Node Spacings
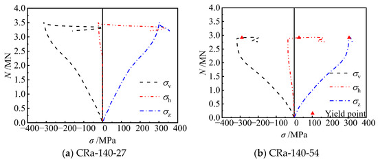
3.2.3. Slenderness Ratios and Eccentricity Ratios
3.3. Enhancing Mechanism of Steel-Bar Truss
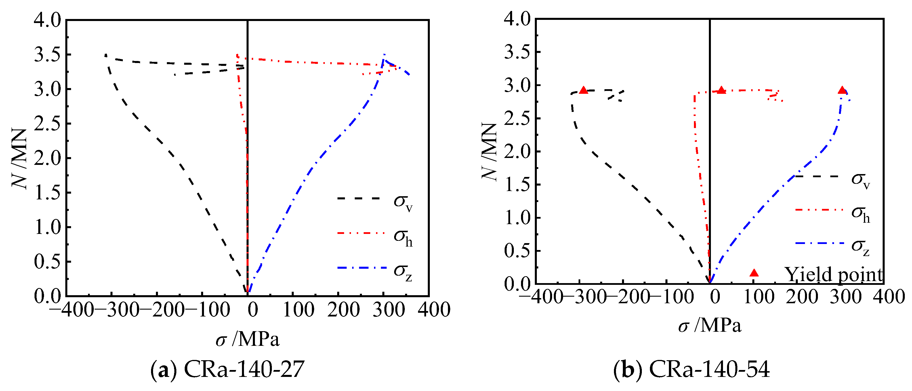
3.3.1. Stress of Steel Tube at Concave Corners
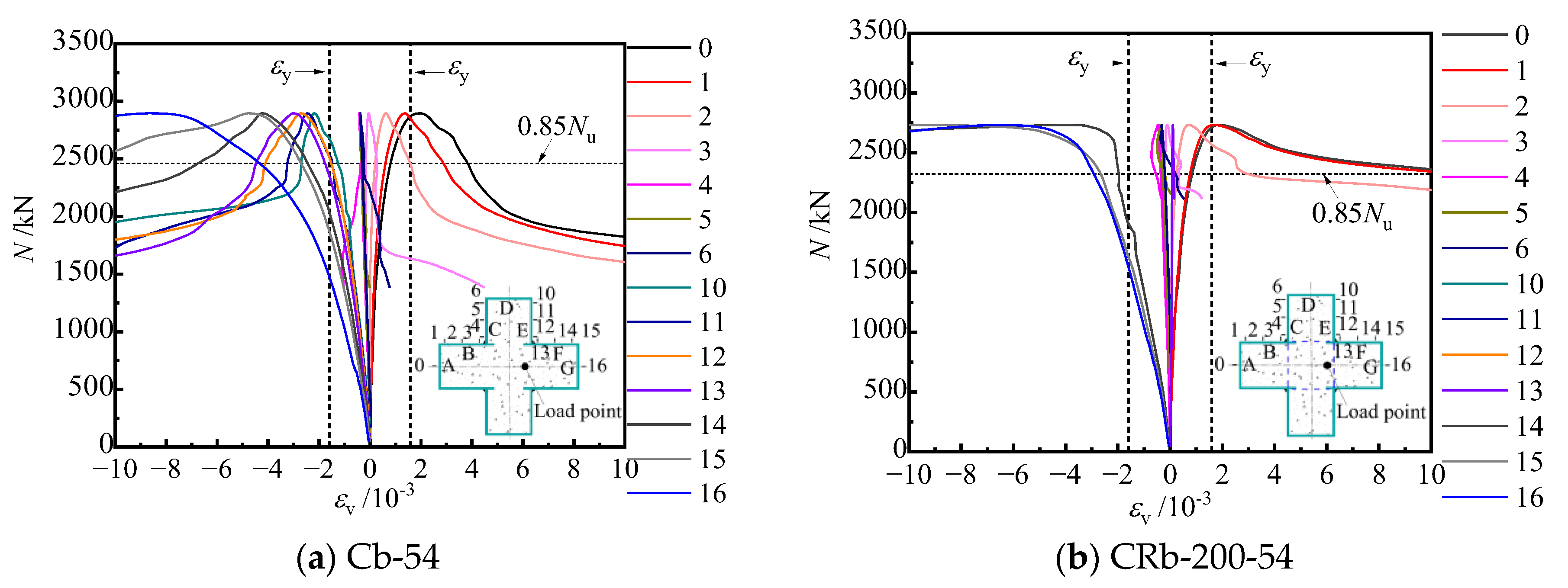
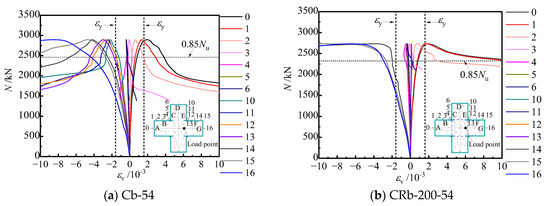
3.3.2. Longitudinal Strain Distribution of Steel Tube
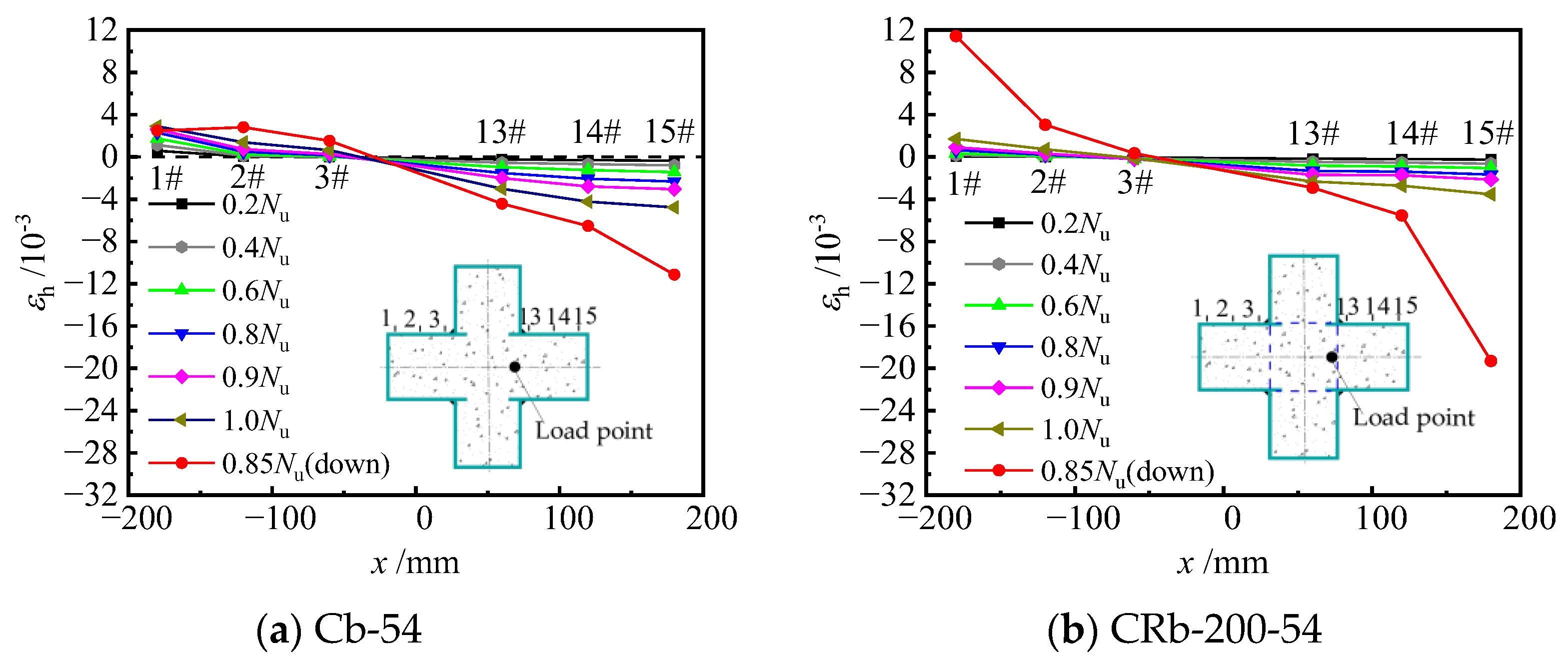
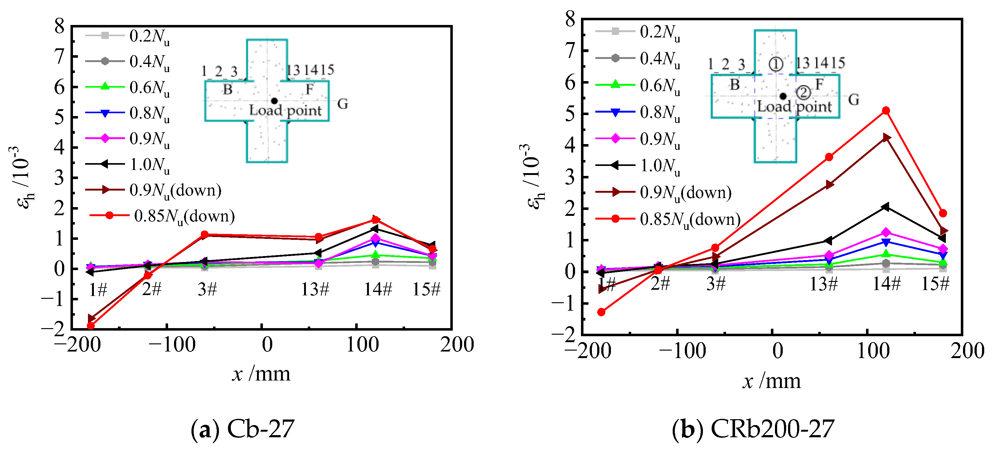
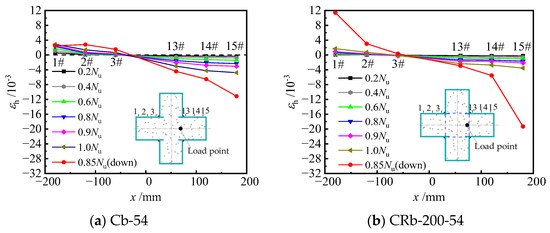
3.3.3. Horizontal Strain Distribution
4. Comparison with Existing Design Codes
5. Conclusions
- (1)
- The reinforced truss is effective in enhancing concrete confinement by the steel tube, leading to significantly improved eccentric compression behavior for the CCFST. The failure mode of the steel tube experienced multiple-wave buckling rather than single-wave buckling for the truss-reinforced CCFST columns, and the concrete experienced multi-section crushing rather than single-section crushing.
- (2)
- The reinforced truss could significantly improve the deformation ability of the eccentrically compressed CCFST column, and the ductility coefficient was increased by 70~80% compared with the unstiffened column, which could be close to that of the multi-cell member. In addition, the ductility was not changed much when the reinforced truss node spacing was reduced from 200 mm to 140 mm, and it is concluded that the ductility requirement for the member could be satisfied when the node spacing is 200 mm.
- (3)
- The addition of the reinforced truss can restrict the out-of-plane displacement at concave corners of the steel tube, enhance the confinement of the steel tube to the core concrete, improve the overall eccentric compression behavior of the member, and enhance the synergistic working of the two materials, steel tube and concrete.
- (4)
- By comparing the design code methods and test results, it is concluded that results obtained using EC4, GB50936, and CECS 159 are in perfect correspondence with the test values. Therefore, within the range of parameters in this paper, it is recommended to adopt the calculation methods in Chinese codes GB50936 and CECS159, and in Eurocode 4 to calculate the eccentric compression bearing capacity of truss-reinforced CCFST columns.
Author Contributions
Funding
Institutional Review Board Statement
Informed Consent Statement
Data Availability Statement
Conflicts of Interest
References
- Lei, M.; Shen, Z.; Li, Y.; Luo, J. State-of-the-art of concrete-filled specially shaped steel tubes. Struct. Eng. 2013, 29, 155–163. (In Chinese) [Google Scholar]
- Zheng, Y.; Zeng, S. Flexural behaviour of stiffened and multi-cell L-shaped CFSTs considering different loading angles. J. Constr. Steel Res. 2021, 178, 106520. [Google Scholar] [CrossRef]
- Zheng, Y.; Zeng, S. Design of L-shaped and T-shaped concrete-filled steel tubular stub columns under axial compression. Eng. Struct. 2020, 207, 110262. [Google Scholar] [CrossRef]
- Ren, Q.-X.; Han, L.-H.; Lam, D.; Hou, C. Experiments on special-shaped CFST stub columns under axial compression. J. Constr. Steel Res. 2014, 98, 123–133. [Google Scholar] [CrossRef]
- Han, L.-H.; Hou, C.-C.; Xu, W. Seismic performance of concrete-encased column base for hexagonal concrete-filled steel tube: Numerical study. J. Constr. Steel Res. 2018, 149, 225–238. [Google Scholar] [CrossRef]
- Cui, W.; Wang, L.; Chen, H.; Chen, H.; Liu, S. The analysis on the seismic behavior of T-shaped prefabricated special-shaped CFST with rectangular multi-cell columns. Structures 2020, 28, 803–815. [Google Scholar] [CrossRef]
- Hassam, M.; Guo, L.; Wang, Y. Experimental and numerical investigation of cross-shaped stub CFSTs under axial compression. Mag. Concr. Res. 2021, 73, 1225–1240. [Google Scholar] [CrossRef]
- Sina, K.; Dongxu, L.; Brian, U. Compact and slender box concrete-filled stainless steel tubes under compression, bending, and combined loading. J. Constr. Steel Res. 2021, 184, 106813. [Google Scholar]
- Lee, H.-J.; Choi, I.-R.; Park, H.-G. Eccentric Compression Strength of Rectangular Concrete-Filled Tubular Columns Using High-Strength Steel Thin Plates. J. Struct. Eng. 2017, 143, 04016228. [Google Scholar] [CrossRef]
- Kristýna, H.; Petr, C.; Sabina, O.; Dalibor, K. Analysis of concrete taken from a loaded column by determining the modulus of elasticity. Acta Polytech. CTU Proc. 2024, 47, 47–52. [Google Scholar]
- Přemysl, P.; Petr, M.; Petr, L. Experimental study of high thin-walled cold-rolled Z cross-sections purlins. J. Constr. Steel Res. 2023, 208, 108017. [Google Scholar]
- Tu, Y.-Q.; Shen, Y.-F.; Zeng, Y.-G.; Ma, L.-Y. Hysteretic behavior of multi-cell T-Shaped concrete-filled steel tubular columns. Thin-Walled Struct. 2014, 85, 106–116. [Google Scholar] [CrossRef]
- Cheng, R.; Hu, C.; Gong, M.; Wang, Y. Behaviors of improved multi-cell T-shaped concrete-filled steel tubular columns under eccentric loads. J. Constr. Steel Res. 2022, 193, 107251. [Google Scholar] [CrossRef]
- Zhang, N.; Shen, Y.F.; Li, P.; Tu, Y.Q. Study on performance of multi-cell composite T-shaped concrete-filled steel tubular slender columns under axial compression. J. Build. Struct. 2015, 36, 254–261. (In Chinese) [Google Scholar]
- Liu, L.L.; Tu, Y.Q.; Ye, Y.H. Experimental study of the properties of axially loaded multi-cell T-shaped concrete-filled steel tubular stub columns. China Civ. Eng. J. 2011, 44, 9–16. (In Chinese) [Google Scholar]
- Huang, H.; Luo, S.Y.; Yang, C.; Xie, L.; Xu, C.G. Experimental study on mechanical behavior of combined cruciform concrete filled steel tubular column under eccentric compression. J. Exp. Mech. 2020, 35, 309–318. [Google Scholar]
- Du, G.F.; Xu, L.H.; Xu, H.R.; Wen, F. Study on composite T-shaped concrete filled steel tubular columns under eccentric compression. J. Build. Struct. 2010, 31, 72–77. (In Chinese) [Google Scholar]
- Sui, Y.; Tu, Y.; Guo, Q.; Zhang, J.; Ke, F. Study on the behavior of multi-cell composite T-shaped concrete-filled steel tubular columns subjected to compression under biaxial eccentricity. J. Constr. Steel Res. 2019, 159, 215–230. [Google Scholar] [CrossRef]
- Li, Q.; Zhou, X.J.; Li, G.Q.; Liu, Z.; Wang, Z.; Wang, X.-B.; Xian, G.-D. Experimental study on the behavior of special T-shaped composite columns with concrete-filled square steel tubulars under eccentric loads. J. Civ. Environ. Eng. 2021, 43, 102–111. (In Chinese) [Google Scholar] [CrossRef]
- Lin, Z.; Shen, Z.; Luo, J.; Zhang, J. Study on behavior of L-shaped concrete-filled steel tube stubs subjected to axial-compression. Prog. Steel Build. Struct. 2009, 11, 14–19. (In Chinese) [Google Scholar]
- Zheng, Y.; Lai, P. Experimental behavior of T-shaped concrete-filled steel tubular columns under diagonal cyclic loading. J. Constr. Steel Res. 2020, 169, 106037. [Google Scholar] [CrossRef]
- Liu, X.; Xu, C.; Liu, J.; Yang, Y. Research on special-shaped concrete-filled steel tubular columns under axial compression. J. Constr. Steel Res. 2018, 147, 203–223. [Google Scholar] [CrossRef]
- Yang, Y.; Yang, H.; Zhang, S. Compressive Behavior of T-shaped Concrete Filled Steel Tubular Columns. Int. J. Steel Struct. 2010, 10, 419–430. [Google Scholar] [CrossRef]
- Zuo, Z.-L.; Cai, J.; Yang, C.; Chen, Q.-J. Eccentric load behavior of L-shaped CFT stub columns with binding bars. J. Constr. Steel Res. 2012, 72, 105–118. [Google Scholar] [CrossRef]
- Zuo, Z.-L.; Cai, J.; Yang, C.; Chen, Q.-J.; Sun, G. Axial load behavior of L-shaped CFT stub columns with binding bars. Eng. Struct. 2012, 37, 88–98. [Google Scholar] [CrossRef]
- Zuo, Z.-L.; Cai, J.; Chen, Q.-J.; Liu, X.-P.; Yang, C.; Mo, T.-W. Performance of T-shaped CFST stub columns with binding bars under axial compression. Thin-Walled Struct. 2018, 129, 183–196. [Google Scholar] [CrossRef]
- Zuo, Z.L.; Cai, J.; Zhu, C.H. Bearing capacity of L-shape cft stub columns with binding bars subjected to eccentric compression load. Eng. Mech. 2010, 27, 161–167+185. (In Chinese) [Google Scholar]
- Zuo, Z.L.; Cai, J.; Liu, M.F.; Duan, W.N.; Chen, Q.-J. Experimental study of T-shaped CFT stub columns with bindingbars subjected to eccentric load. J. Build. Struct. 2011, 32, 79–89. (In Chinese) [Google Scholar]
- Cai, J.; Zuo, Z.L.; Zhao, X.Q.; Zhu, C.H. Expermental research on eccentrically loaded L-shaped concrete-filled steel tubular stub columns with binding bars. J. Build. Struct. 2011, 32, 83–90. (In Chinese) [Google Scholar]
- Su, G.Q. Study on the Behavior of Cross-Shaped CFT Stub Columns with Binding Bars Subjected to Eccentric Compression; South China University of Technology: Guangzhou, China, 2011. (In Chinese) [Google Scholar]
- Yang, Y.; Wang, Y.; Fu, F.; Liu, J. Static behavior of T-shaped concrete-filled steel tubular columns subjected to concentric and eccentric compressive loads. Thin-Walled Struct. 2015, 95, 374–388. [Google Scholar] [CrossRef]
- Tao, Y.; Liang, W.Q.; Zhang, S.M.; Li, X.Z.; Zhang, P. Axial compression behavior of cross-shaped concrete-filled steel tubular columns with steel bar truss stiffening. J. Build. Struct. Suppl. 2021, 42, 180–188. (In Chinese) [Google Scholar]
- Tao, Y.; Gong, C.; Zhang, S.; Li, X.; Tan, X.; Hu, J. Axial Compressive Behavior of Cross-Shaped CFST Stub Columns with Steel Bar Truss Stiffening. Materials 2023, 16, 4147. [Google Scholar] [CrossRef] [PubMed]
- Tao, Z.; Han, L.-H.; Wang, Z.-B. Experimental behaviour of stiffened concrete-filled thin-walled hollow steel configuration (HSS) stub columns. J. Constr. Steel Res. 2005, 61, 962–983. [Google Scholar] [CrossRef]
- ACI 318-11; Building Code Requirements for Configuration Concrete and Commentary. American Concrete Institute: Farmington Hills, MI, USA, 2011.
- GB/T 50081-2019; Ministry of Housing and Urban-Rural Development of the People’s Republic of China, Standard for Test Method of Concrete Physical and Mechanical Properties. China Architecture & Building Press: Beijing, China, 2019. (In Chinese)
- GB/T 228.1-2010; Metallic materials—Tensile Testing-Part 1: Method of Test at Room Temperature. General Adminstration of Quality Supervision, Inspection and Quarantine of China: Beijing, China, 2010. (In Chinese)
- Zhang, S.; Guo, L.; Ye, Z.; Wang, Y. Behavior of Steel Tube and Confined High Strength Concrete for Concrete-Filled RHS Tubes. Adv. Struct. Eng. 2005, 8, 101–116. [Google Scholar] [CrossRef]
- GB 50936-2014; Technical Code for Concrete-Filled Steel Tubular Structures. Architecture Industry Press of China: Beijing, China, 2010. (In Chinese)
- CECS 159; Technical Specification for Structures with Concrete-Filled Rectan_Gular Steel Tube Members. China Planning Press: Beijing, China, 2004. (In Chinese)
- EN 1994-1-1; Eurocode 4. Design of Composite Steel and Concrete Structures—Part 1-1: General Rules and Rules for Buildings. European Committee for Standardization (CEN): Brussels, Belgium, 2004.
- AISC 360-10; Specification for Configuration Steel Buildings. American Institute of Steel Construction (AISC): Chicago, IL, USA, 2010.





















| No | Specimen | Axial Length | Slenderness Ratio | Stiffener Type s or d (mm) | Steel Ratio α (%) | Load Eccentricity | Bearing Capacity | Ductility Coefficient [34] |
|---|---|---|---|---|---|---|---|---|
| L (mm) | λ | e (mm) | Nu (kN) | μ | ||||
| 1 | CRa-140-0 | 1000 | 9.2 | 140 | 9.85 | 0 | 4600 | —— |
| 2 | CRa-140-27 | 1000 | 9.2 | 140 | 9.85 | 27 | 3544 | 6.85 |
| 3 | CRa-140-54 | 1000 | 9.2 | 140 | 9.85 | 54 | 2926 | 6.02 |
| 4 | CRb-140-0 | 1800 | 16.6 | 140 | 9.85 | 0 | 4602 | —— |
| 5 | CRb-140-27 | 1800 | 16.6 | 140 | 9.85 | 27 | 3504 | 4.84 |
| 6 | CRb-140-54 | 1800 | 16.6 | 140 | 9.85 | 54 | 2874 | 4.35 |
| 7 | CRb-200-0 | 1800 | 16.6 | 200 | 9.77 | 0 | 3753 | —— |
| 8 | CRb-200-27 | 1800 | 16.6 | 200 | 9.77 | 27 | 3483 | 4.88 |
| 9 | CRb-200-54 | 1800 | 16.6 | 200 | 9.77 | 54 | 2733 | 4.46 |
| 10 | CRc-140-0 | 2500 | 23.1 | 140 | 9.85 | 0 | 4483 | —— |
| 11 | CRc-140-27 | 2500 | 23.1 | 140 | 9.85 | 27 | 3473 | 4.10 |
| 12 | CRc-140-54 | 2500 | 23.1 | 140 | 9.85 | 54 | 2770 | 4.22 |
| 13 | Cb-27 | 1800 | 16.6 | No stiffening | 9.27 | 27 | 3628 | 2.67 |
| 14 | Cb-54 | 1800 | 16.6 | No stiffening | 9.27 | 54 | 2897 | 2.55 |
| 15 | CLb-50-27 | 1800 | 16.6 | 50 | 9.66 | 27 | 3698 | 2.79 |
| 16 | CLb-50-54 | 1800 | 16.6 | 50 | 9.66 | 54 | 2990 | 2.18 |
| 17 | CDb-27 | 1800 | 17.5 | Multi-cell form | 11.61 | 27 | 3986 | 5.49 |
| 18 | CDb-54 | 1800 | 17.5 | Multi-cell form | 11.61 | 54 | 3223 | 4.05 |
| Type | fy (MPa) | fu (MPa) | Es (GPa) | μs |
|---|---|---|---|---|
| Steel plate (t = 3.90 mm) | 304.2 | 444.3 | 208 | 0.281 |
| Steel bar (φ = 7.24 mm) | 539.4 | 606.0 | 206 | 0.270 |
| Specimen | Ntesk /kN | NEC /kN | NAISC /kN | NGB /kN | NCECS /kN | ||||
|---|---|---|---|---|---|---|---|---|---|
| CRa-140-0 | 4600 | 4415 | 3989 | 4893 | 4284 | 0.960 | 0.867 | 1.064 | 0.931 |
| CRa-140-27 | 3544 | 3608 | 2500 | 3546 | 3322 | 1.018 | 0.705 | 1.001 | 0.937 |
| CRa-140-54 | 2926 | 3050 | 1820 | 2780 | 2714 | 1.042 | 0.622 | 0.950 | 0.928 |
| CRb-140-0 | 4602 | 4399 | 3941 | 4870 | 4220 | 0.956 | 0.856 | 1.058 | 0.917 |
| CRb-140-27 | 3504 | 3595 | 2481 | 3529 | 3273 | 1.026 | 0.708 | 1.007 | 0.934 |
| CRb-140-54 | 2874 | 3040 | 1809 | 2768 | 2677 | 1.058 | 0.629 | 0.963 | 0.931 |
| CRb-200-27 | 3483 | 3595 | 2481 | 3529 | 3273 | 1.032 | 0.712 | 1.013 | 0.940 |
| CRb-200-54 | 2733 | 3040 | 1809 | 2768 | 2677 | 1.112 | 0.662 | 1.013 | 0.980 |
| CRc-140-0 | 4483 | 4315 | 3876 | 4836 | 4134 | 0.963 | 0.865 | 1.079 | 0.922 |
| CRc-140-27 | 3473 | 3527 | 2455 | 3517 | 3208 | 1.016 | 0.707 | 1.013 | 0.924 |
| CRc-140-54 | 2770 | 2982 | 1796 | 2752 | 2628 | 1.077 | 0.648 | 0.994 | 0.949 |
| Mean value | 1.024 | 0.726 | 1.014 | 0.936 | |||||
| Coefficient of variation | 0.049 | 0.129 | 0.039 | 0.018 | |||||
Disclaimer/Publisher’s Note: The statements, opinions and data contained in all publications are solely those of the individual author(s) and contributor(s) and not of MDPI and/or the editor(s). MDPI and/or the editor(s) disclaim responsibility for any injury to people or property resulting from any ideas, methods, instructions or products referred to in the content. |
© 2024 by the authors. Licensee MDPI, Basel, Switzerland. This article is an open access article distributed under the terms and conditions of the Creative Commons Attribution (CC BY) license (https://creativecommons.org/licenses/by/4.0/).
Share and Cite
Tao, Y.; Zhang, S.; Xiong, G.; Gong, C.; Hou, Z.; Li, X. Eccentric Compression Behavior of Truss-Reinforced Cross-Shaped Concrete-Filled Steel Tubular Columns. Materials 2024, 17, 3738. https://doi.org/10.3390/ma17153738
Tao Y, Zhang S, Xiong G, Gong C, Hou Z, Li X. Eccentric Compression Behavior of Truss-Reinforced Cross-Shaped Concrete-Filled Steel Tubular Columns. Materials. 2024; 17(15):3738. https://doi.org/10.3390/ma17153738
Chicago/Turabian StyleTao, Yu, Sumei Zhang, Gaopeng Xiong, Chao Gong, Zhaoxin Hou, and Xiaozhong Li. 2024. "Eccentric Compression Behavior of Truss-Reinforced Cross-Shaped Concrete-Filled Steel Tubular Columns" Materials 17, no. 15: 3738. https://doi.org/10.3390/ma17153738
APA StyleTao, Y., Zhang, S., Xiong, G., Gong, C., Hou, Z., & Li, X. (2024). Eccentric Compression Behavior of Truss-Reinforced Cross-Shaped Concrete-Filled Steel Tubular Columns. Materials, 17(15), 3738. https://doi.org/10.3390/ma17153738
