The Research Effects of Variable Temperature and Early Strength Agent on the Mechanical Properties of Cement-Stabilized Macadam
Abstract
1. Introduction
2. Materials and Methods
2.1. Raw Materials
2.2. Preparation of Sample
2.3. Curing Condition
2.4. Test Methods
2.4.1. Temperature Shrinkage Test
2.4.2. Drying Shrinkage Test
2.4.3. Indirect Tensile Strength (ITS) Test
2.4.4. Indirect Tensile Fatigue Test
2.4.5. Indirect Tensile Modulus
3. Shrinkage Test Results and Discussion
3.1. Analysis of Temperature Shrinkage Results
3.2. Analysis of Drying Shrinkage Test Results
4. Results and Discussion of Strength and Fatigue Tests
4.1. ITS Analysis
4.2. Fatigue Characteristics
4.3. Test Methods
4.3.1. Determination of the Indirect Tensile Initial Modulus Value
4.3.2. Determination of the Indirect Tensile Critical Modulus Value
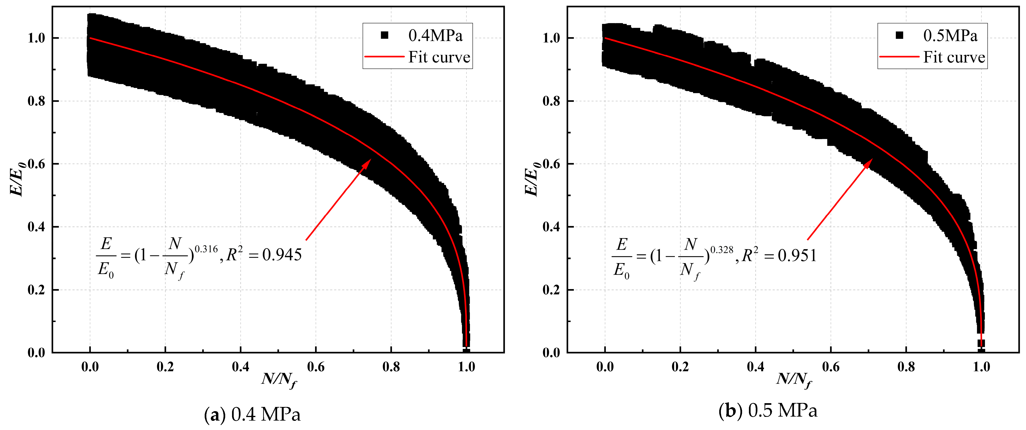
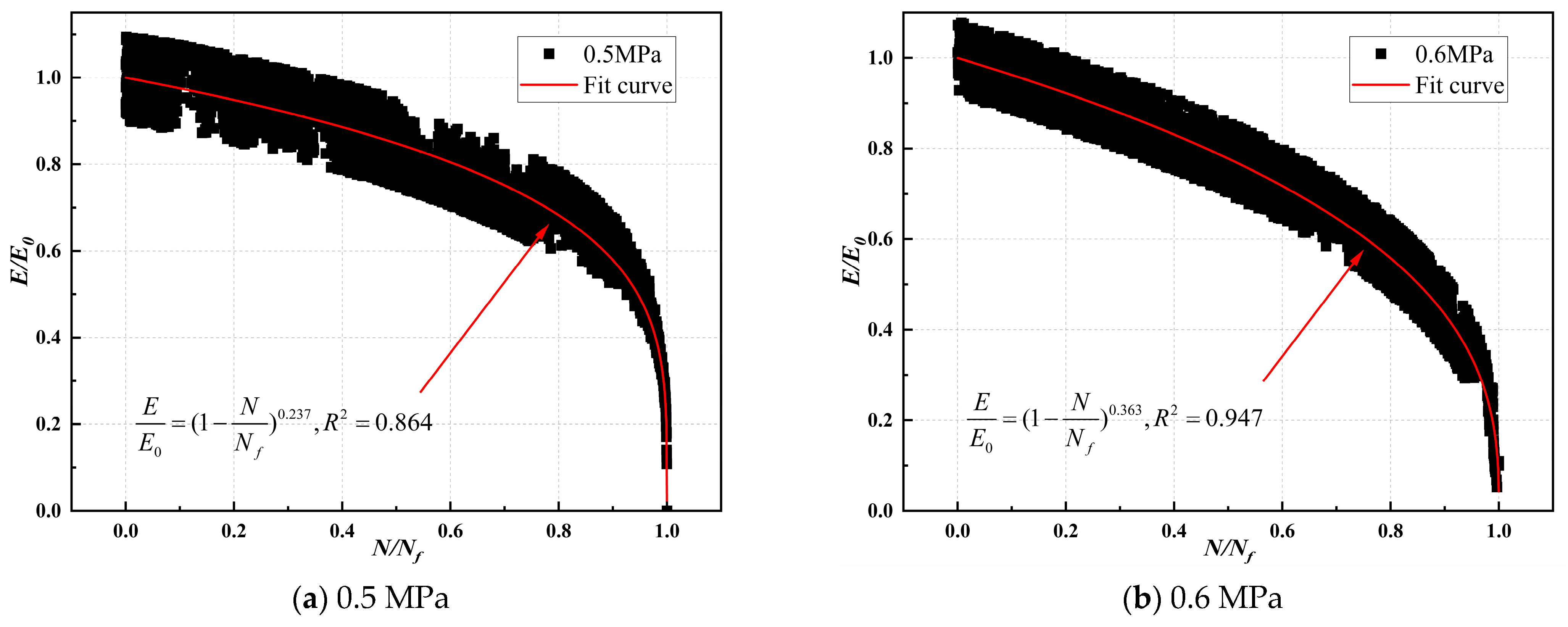
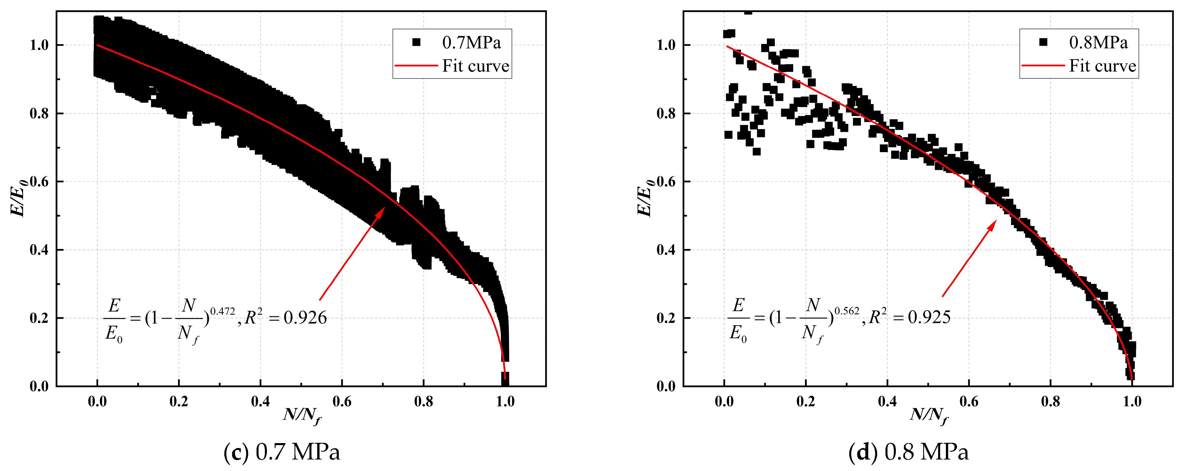
4.3.3. Analysis of Fitting Results for Modulus Decay of CSM
5. Conclusions
- (1)
- The variable temperature curing conditions adversely affected the drying shrinkage characteristics of CSM. After adding 10% ESA, the drying shrinkage coefficient of CSM decreased by 16.19%. Adding ESA effectively accelerates cement hydration, consumes free water and capillary water in CSM, and effectively improves the anti-shrinkage cracking performance of CSM. However, compared to ST0%, the temperature shrinkage coefficient of VT0% decreased by 10.06%. The variable temperature curing conditions improved the temperature shrinkage characteristics of CSM;
- (2)
- Compared with a standard temperature curing environment, under a variable temperature curing environment, the strength and fatigue life at 0.6 MPa of CSM decreased by 31.04% and 97.19%, respectively. The modulus decay curve parameters at 0.6 MPa increased by 51.21%. The variable temperature curing environment weakened the strength and fatigue resistance of CSM and accelerated the rate of modulus decay. The addition of ESA significantly boosted the durability of CSM under variable temperature conditions;
- (3)
- The variable temperature service environment and the addition of ESA will significantly affect the durability of CSM. In cold regions with high daily temperature gradients, it is necessary to consider the effect of variable temperature conditions on the characteristics of CSM;
- (4)
- The incorporation of ESA compensates for the weakened characteristics of CSM under variable temperature conditions and is a practical approach to boost CSM characteristics in cold regions with high daily temperature gradients (>20 °C).
Author Contributions
Funding
Institutional Review Board Statement
Informed Consent Statement
Data Availability Statement
Conflicts of Interest
References
- Sun, X.; Wu, S.; Yang, J.; Yang, R. Mechanical properties and crack resistance of crumb rubber modified cement-stabilized macadam. Constr. Build. Mater. 2020, 259, 119708. [Google Scholar] [CrossRef]
- Zhang, J.; Bai, J.; Wang, S. Fatigue damage evolution rule of cement stabilized macadam used in pavement’s base course at different curing time. Constr. Build. Mater. 2022, 325, 126827. [Google Scholar] [CrossRef]
- Qiu, Y.; Zhang, L. Optimization study on indoor vibratory compaction curves of cement stabilized macadam. J. China Foreign Highw. 2023, 43, 189–194. [Google Scholar] [CrossRef]
- Shu, H.; Tang, Z.; Zhang, Y.; Bu, X.; Liang, D. Effect of basalt fiber on strength of water-stabilized macadam base. J. China Foreign Highw. 2024, 1–8. Available online: https://link.cnki.net/urlid/43.1363.u.20240126.1842.015 (accessed on 5 July 2024).
- Zhao, X.; Dong, Q.; Chen, X.; Gu, X.; Wang, L. Mesoscale Cracking of Cement-treated Composites with lnitial Defects. China J. Highw. Transp. 2020, 33, 230–239. [Google Scholar] [CrossRef]
- Zeng, X.; Ma, C.; Long, G.; Dang, H.; Xie, Y. Hydration kinetics of cement composites with different admixtures at low temperatures. Constr. Build. Mater. 2019, 225, 223–233. [Google Scholar] [CrossRef]
- Liu, J.; Zhao, L.; Chi, L.; Luo, G.; Li, T.; Cai, S. Effect of multilayer graphene oxide on the hydration and early mechanical strength of cement mortar in low temperature. Constr. Build. Mater. 2023, 364, 129997. [Google Scholar] [CrossRef]
- Duan, Y.; Wang, Q.; Zhang, R.; Chen, C.; Zhang, S. Strength Growth of High Strength Concrete and Its Degree of Hydration under Low Temperature(3 °C). Bull. Chin. Ceram. Soc. 2016, 35, 12–18. [Google Scholar] [CrossRef]
- Tian, Y.; Ma, B.; Wang, D.; Wei, S. Flexural Tensile Characteristics of Cement-StabilizedMacadam in Cold Plateau Regions. Bull. Chin. Ceram. Soc. 2015, 34, 2569–2573. [Google Scholar] [CrossRef]
- Soriano, L.; Monzó, J.; Bonilla, M.; Tashima, M.M.; Payá, J.; Borrachero, M.V. Effect of pozzolans on the hydration process of Portland cement cured at low temperatures. Cem. Concr. Compos. 2013, 42, 41–48. [Google Scholar] [CrossRef]
- Ryou, J.-S.; Lee, Y.-S. Use of tabletting & coating accelerator for the prevention of early-frost of concrete in cold weather. Cold Reg. Sci. Technol. 2013, 87, 1–5. [Google Scholar] [CrossRef]
- Ryou, J.-S.; Lee, Y.-S. Properties of early-stage concrete with setting-accelerating tablet in cold weather. Mater. Sci. Eng. A 2012, 532, 84–90. [Google Scholar] [CrossRef]
- Ma, B.; Liu, P.; Li, N.; Wang, D. Study of compressive properties of cement stabilized macadam in cold plateau regions. J. Hefei Univ. Technol. (Nat. Sci.) 2015, 38, 1518–1523. [Google Scholar]
- Zhou, Q.; Ye, W.; Yang, B.; Wu, X. Analysis of Low Temperature Strength and Drying Shrinkage Characteristics of Cement Stabilized Macadam. Bull. Chin. Ceram. Soc. 2016, 35, 948–952. [Google Scholar] [CrossRef]
- Mi, L. Study on the Influence of Loads during Constryction and Curing Period on the Damage to Cement-Stabilized Macadam Base. Master’s Thesis, Harbin Institute of Technology, Harbin, China, 2015. [Google Scholar]
- Sha, A.; Ma, B.; Wang, H.; Hu, L.; Mao, X.; Zhi, X.; Chen, H.; Liu, Y.; Ma, F.; Liu, Z.; et al. Highway constructions on the Qinghai-Tibet Plateau: Challenge, research and practice. J. Road Eng. 2022, 2, 1–60. [Google Scholar] [CrossRef]
- Remišová, E.; Decký, M.; Podolka, L.; Kováč, M.; Vondráčková, T.; Bartuška, L. Frost Index from Aspect of Design of Pavement Construction in Slovakia. Procedia Earth Planet. Sci. 2015, 15, 3–10. [Google Scholar] [CrossRef]
- He, Z.; Fang, H. Discussion on Pavement Construction Technology of Qinghai Tibet Highway. In Proceedings of the Fourth International Road and Airport Pavement Technology Conference, Kunming, China, 23–25 April 2002; pp. 437–441. [Google Scholar]
- Sheng, Y.; Jia, H.; Sun, S.; Guan, B.; Zhou, H.; Fang, J.; Liu, Q. Experimental Study on Performance of Early Strength and LowShrinkage Cement Stabilized Macadam at Different Temperatures. Bull. Chin. Ceram. Soc. 2019, 38, 3215–3220+3228. [Google Scholar] [CrossRef]
- Xue, Y.; Ge, D.; Lv, S.; Ju, Z.; Wang, J.; Xian, J.; Peng, L. Effect of mechanical properties and microscopic mechanism of cement-stabilized macadam under variable temperature environment with early strength agent. Case Stud. Constr. Mater. 2024, 20, e03310. [Google Scholar] [CrossRef]
- Ma, Y.; Gu, J.; Li, Y.; Li, Y. The bending fatigue performance of cement-stabilized aggregate reinforced with polypropylene filament fiber. Constr. Build. Mater. 2015, 83, 230–236. [Google Scholar] [CrossRef]
- Li, W.; Lang, L.; Lin, Z.; Wang, Z.; Zhang, F. Characteristics of dry shrinkage and temperature shrinkage of cement-stabilized steel slag. Constr. Build. Mater. 2017, 134, 540–548. [Google Scholar] [CrossRef]
- Li, H.; Sun, J.; Cui, C.; Zhao, Q.; Hu, Y.; Shen, R.; Guan, M. Cement-stabilized large-sized steel slag base course based on vibration compaction method: Mechanical properties, shrinkage properties, and numerical simulation. Constr. Build. Mater. 2023, 404, 133298. [Google Scholar] [CrossRef]
- Xia, X.; Han, D.; Ma, Y.; Zhao, Y.; Tang, D.; Chen, Y. Experiment investigation on mix proportion optimization design of anti-cracking stone filled with cement stabilized macadam. Constr. Build. Mater. 2023, 393, 132136. [Google Scholar] [CrossRef]
- Zhang, F.; Bai, Y.; Cai, Y.; Chen, B.; Ning, F. Early Hydration and Microstructure of Cement Pastes Mixed with Low-Temperature Early Strength Accelerator at 5 °C. J. Chin. Ceram. Soc. 2020, 48, 211–221. [Google Scholar] [CrossRef]
- Zhang, F.; Bai, Y.; Cai, Y.; Chen, B.; Ning, F. Properties and Early Strength Mechanism of Compound Early Strength Accelerator at 5 °C. J. Tongji Univ. (Nat. Sci.) 2019, 47, 1609–1617. [Google Scholar]
- Zhang, F.; Bai, Y.; Cai, Y. Effect of new type temperature early strength accelerator on the strength and durability of concrete. Concrete 2021, 6, 98–102+111. [Google Scholar]
- Wang, L.; Shen, A.; Lyu, Z.; Guo, Y.; He, Z.; Mou, G.; Wei, Z. Rapid regeneration cement-stabilized macadam: Preparation; mechanical properties, and dry shrinkage performance. Constr. Build. Mater. 2022, 341, 127901. [Google Scholar] [CrossRef]
- Tian, J.; Chen, S.; Peng, B. Road performance of aggregate mixture stabilized by super rapid strengthening cement. J. Chang. Univ. (Nat. Sci. Ed.) 2003, 5, 24–27. [Google Scholar] [CrossRef]
- Xiong, R.; Yang, X.; Fang, J.; Xu, A.; Sheng, Y.; Guan, B.; Yang, F.; Qiu, M. Mechanical Property of Ultra early strength Cement Stabilized Macadam in Alpine Region. Mater. Rep. 2015, 29, 542–545. [Google Scholar]
- Lin, M.; Zheng, X.; Song, Y. Experimental Study of Early Strength Cement Stabilized Macadam Materialfor Improving Frost Resistance. Bull. Chin. Ceram. Soc. 2015, 34, 475–480. [Google Scholar] [CrossRef]
- Song, Y.-L.; Wang, Y.-D.; Ding, N. Influence of an Early-Strength Agent on the Frost Resistance of a Cement-Stabilized Material. J. Highw. Transp. Res. Dev. (Engl. Ed.) 2016, 10, 27–33. [Google Scholar] [CrossRef]
- Vedernikov, A.; Tucci, F.; Carlone, P.; Gusev, S.; Konev, S.; Firsov, D.; Akhatov, I.; Safonov, A. Effects of pulling speed on structural performance of L-shaped pultruded profiles. Compos. Struct. 2021, 255, 112967. [Google Scholar] [CrossRef]
- JTG E42-2005; Test Methods of Aggregate for Highway Engineering. Highway Research Institute of Ministry of Transport: Beijing, China, 2005.
- Wang, S.; Lv, S.; Pan, Q.; Wang, P.; Deng, W.; Zhang, B.; Lei, D. Investigation on strength and fatigue performance of cement-stabilized macadam under three-dimensional stress state at different ages and cement dosages. Constr. Build. Mater. 2024, 435, 136686. [Google Scholar] [CrossRef]
- JTG E51-2009; Test Methods of Materials Stabilized with Inorganic Binders for Highway Engineering. Highway Research Institute of Ministry of Transport: Beijing, China, 2009.
- Gong, F.; Li, X. Analytical algorithm to estimate tensile modulus in brazilian disk splitting tests. Chin. J. Rock Mech. Eng. 2010, 29, 881–891. [Google Scholar]
- Chen, D. Normalization of Fatigue Characteristics of Asphalt Mixtures under Different Stress States. Master’s Thesis, Changsha University of Science and Technology, Changsha, China, 2017. [Google Scholar] [CrossRef]
- Lv, S.; Li, Y.P.; Liu, C.C.; Zheng, J.L. Synchronous testing method for tensile and compressive moduli of asphalt mixture based on splitting test. China J. Highw. Transp. 2017, 10, 1–7+16. [Google Scholar] [CrossRef]
- Jiangdong, C.; Zhenquan, J. Analysis of the effect of saturation of deep clayey soil on freezing construction in Wanfu well field. Coal Eng. 2009, 1, 90–93. [Google Scholar]
- Zheng, X.; Yu, P.; Xie, Y.; Zeng, Z.; Li, S.; Liu, J. Research status of hydrated calcium silicate early strength. Concrete 2021, 10, 119–123. [Google Scholar]
- Decky, M.; Papanova, Z.; Juhas, M.; Kudelcikova, M. Evaluation of the Effect of Average Annual Temperatures in Slovakia between 1971 and 2020 on Stresses in Rigid Pavements. Land 2022, 11, 764. [Google Scholar] [CrossRef]
- Li, J. Normalization of Fatigue Characteristics of Cement Stabilized Macadam under Different Loading Modes. Master’s Thesis, Changsha University of Science and Technology, Changsha, China, 2019. [Google Scholar] [CrossRef]

















| Property | Results | Requirement | Standard Deviation | |
|---|---|---|---|---|
| Setting time | Initial setting time/min | 270 | ≥180 | 9.3 |
| Final setting time/min | 395 | ≥360, ≤180 | 12.1 | |
| 3D compressive strength/MPa | 23.8 | ≥3.5 | 3.69 | |
| 3D flexural strength/MPa | 4.9 | ≥17 | 1.45 | |
| Property | Requirement | Coarse Aggregate Test Results | Standard Deviation | Test Method | |||
|---|---|---|---|---|---|---|---|
| 19~ 31.5 mm | 9.5~ 19.5 mm | 4.75~ 9.5 mm | 0~ 4.75 mm | ||||
| Crushing value/% | ≤26% | 21.3 | 18.9 | - | - | 3.61 | T 0316-2005 [34] |
| Gross volume relative density/(g/cm3) | Actual measurement records | 2.230 | 2.730 | 2.607 | 2.589 | 0.59 | T 0316-2005 [34] |
| Apparent density/(g/cm3) | Actual measurement records | 2.821 | 2.763 | 2.731 | 2.692 | 0.93 | T 0312-2005 [34] |
| Water absorption rate/% | Actual measurement records | 0.4 | 0.6 | 1.3 | - | 0.69 | T 0312-2005 [34] |
| Liquid limit/plasticity index of particles less than 0.6 mm | Liquid limit ≤ 28% | 23% | 2.46 | T 0118-2005 [34] | |||
| Plasticity index ≤ 9 | 3.2 | 1.03 | T 0118-2005 [34] | ||||
| Property | Test Results | Standard Deviation |
|---|---|---|
| Appearance status | Powder | - |
| 1.18 mm sieve residue (%) | ≤0.05 | 0.014 |
| Setting time difference (min) | ≤30 | 2.45 |
| 24 h cement paste strength ratio (%) | ≥125 | 16.16 |
| Indicator | Ranges | |||||
|---|---|---|---|---|---|---|
| Temperature | 15~20 °C | 20~15 °C | 15~5 °C | 5~0 °C | 0~5 °C | 5~15 °C |
| Duration | 4 h | 4 h | 4 h | 6 h | 3 h | 3 h |
| Curing Condition | ESA Content | |
|---|---|---|
| 0% | 10% | |
| Standard temperature curing | ST0% | ST10% |
| Variable temperature curing | VT0% | VT10% |
| Time (Day) | ST0% | ST10% | VT0% | VT10% | ||||
|---|---|---|---|---|---|---|---|---|
| Average Value | Variance | Average Value | Variance | Average Value | Variance | Average Value | Variance | |
| 0 | 0 | 0 | 0 | 0 | 0 | 0 | 0 | 0 |
| 2 | 0.36 | 0.000107 | 0.63 | 0.000184 | 0.38 | 0.000181 | 0.64 | 0.000186 |
| 4 | 0.15 | 0.000059 | 0.17 | 0.000037 | 0.11 | 0.000065 | 0.19 | 0.000094 |
| 6 | 0.09 | 0.000036 | 0.10 | 0.000064 | 0.09 | 0.000071 | 0.10 | 0.000039 |
| 8 | 0.08 | 0.000068 | 0.07 | 0.000058 | 0.08 | 0.000091 | 0.09 | 0.000058 |
| 10 | 0.08 | 0.000072 | 0.07 | 0.000063 | 0.05 | 0.000064 | 0.07 | 0.000064 |
| 12 | 0.07 | 0.000091 | 0.06 | 0.000024 | 0.04 | 0.000082 | 0.06 | 0.000039 |
| 14 | 0.06 | 0.000083 | 0.05 | 0.000081 | 0.03 | 0.000047 | 0.06 | 0.000031 |
| 16 | 0.04 | 0.000101 | 0.03 | 0.000047 | 0.04 | 0.000059 | 0.05 | 0.000064 |
| 18 | 0.05 | 0.000076 | 0.03 | 0.000039 | 0.04 | 0.000038 | 0.03 | 0.000061 |
| 20 | 0.03 | 0.000058 | 0.03 | 0.000057 | 0.03 | 0.000021 | 0.03 | 0.000038 |
| 22 | 0.04 | 0.000069 | 0.04 | 0.000069 | 0.04 | 0.000019 | 0.03 | 0.000075 |
| 24 | 0.02 | 0.000066 | 0.02 | 0.000076 | 0.02 | 0.000033 | 0.02 | 0.000060 |
| 26 | 0.03 | 0.000090 | 0.02 | 0.000073 | 0.02 | 0.000031 | 0.01 | 0.000035 |
| 28 | 0.03 | 0.000046 | 0.01 | 0.000042 | 0.03 | 0.000067 | 0.02 | 0.000066 |
| 30 | 0.02 | 0.000052 | 0.01 | 0.000034 | 0.01 | 0.000051 | 0.01 | 0.000055 |
| ITS (MPa) | Average Value (MPa) | Coefficient of Variation (%) | |||
|---|---|---|---|---|---|
| 1 | 2 | 3 | |||
| ST0% | 0.837 | 0.761 | 0.799 | 0.799 | 3.85 |
| ST10% | 1.042 | 1.164 | 1.224 | 1.143 | 6.62 |
| VT0% | 0.554 | 0.472 | 0.627 | 0.551 | 11.45 |
| VT10% | 0.883 | 0.947 | 0.808 | 0.879 | 6.46 |
| Indirect Tensile Strength (MPa) | Stress Level (MPa) | Stress Ratio | Fatigue Life | Average Value | |||
|---|---|---|---|---|---|---|---|
| 1 | 2 | 3 | |||||
| ST0% | 0.799 | 0.4 | 0.50 | 151,407 | 270,604 | 215,586 | 212,532 |
| 0.5 | 0.63 | 27,969 | 44,512 | 22,217 | 31,566 | ||
| 0.6 | 0.75 | 6368 | 4274 | 3469 | 4704 | ||
| 0.7 | 0.88 | 908 | 322 | 721 | 650 | ||
| ST10% | 1.143 | 0.6 | 0.52 | 173,616 | 233,324 | 137,908 | 181,616 |
| 0.7 | 0.61 | 28,124 | 49,702 | 22,339 | 33,388 | ||
| 0.8 | 0.70 | 5811 | 7181 | 14616 | 9203 | ||
| 0.9 | 0.79 | 1046 | 1403 | 2948 | 1799 | ||
| VT0% | 0.551 | 0.3 | 0.54 | 142,927 | 74,708 | 101,628 | 106,421 |
| 0.4 | 0.73 | 8269 | 9475 | 5038 | 7594 | ||
| 0.5 | 0.91 | 2019 | 1014 | 867 | 1300 | ||
| 0.6 | 1.09 | 184 | 56 | 156 | 132 | ||
| VT10% | 0.879 | 0.5 | 0.57 | 152,807 | 177,146 | 109,533 | 146,495 |
| 0.6 | 0.68 | 21,252 | 24,526 | 31,969 | 25,916 | ||
| 0.7 | 0.80 | 4009 | 6040 | 4710 | 4920 | ||
| 0.8 | 0.91 | 745 | 585 | 1010 | 780 | ||
| a | b | Fatigue Equation | R2 | |
|---|---|---|---|---|
| ST0% | 8.70 | −6.75 | /S | 0.979 |
| ST10% | 9.23 | −7.64 | 0.957 | |
| VT0% | 7.83 | −5.30 | 0.973 | |
| VT10% | 8.94 | −6.64 | 0.990 |
| a | b | Fatigue Equation | R2 | |
|---|---|---|---|---|
| ST0% | 1.27 | −10.36 | 0.970 | |
| ST10% | 2.72 | −11.36 | 0.955 | |
| VT0% | 0.06 | −9.55 | 0.970 | |
| VT10% | 1.89 | −11.05 | 0.983 |
| Stress Level (MPa) | Number | E0 (MPa) | Average Value (MPa) | Coefficient of Variation (%) |
|---|---|---|---|---|
| 0.4 | 1 | 27,365 | 26,920 | 4.23 |
| 2 | 28,037 | |||
| 3 | 25,358 | |||
| 0.5 | 1 | 30,777 | 30,557 | 2.81 |
| 2 | 29,414 | |||
| 3 | 31,479 | |||
| 0.6 | 1 | 32,105 | 32,383 | 5.41 |
| 2 | 30,390 | |||
| 3 | 34,655 | |||
| 0.7 | 1 | 39,442 | 35,755 | 7.40 |
| 2 | 34,460 | |||
| 3 | 33,362 |
| Stress Level (MPa) | Number | E0 (MPa) | Average Value (MPa) | Coefficient of Variation (%) |
|---|---|---|---|---|
| 0.6 | 1 | 33,599 | 35,241 | 4.67 |
| 2 | 34,635 | |||
| 3 | 37,489 | |||
| 0.7 | 1 | 38,445 | 39,850 | 3.41 |
| 2 | 39,417 | |||
| 3 | 41,689 | |||
| 0.8 | 1 | 43,106 | 44,411 | 7.98 |
| 2 | 49,252 | |||
| 3 | 40,875 | |||
| 0.9 | 1 | 51,956 | 46,680 | 8.82 |
| 2 | 41,912 | |||
| 3 | 46,173 |
| Stress Level (MPa) | Number | E0 (MPa) | Average Value (MPa) | Coefficient of Variation (%) |
|---|---|---|---|---|
| 0.3 | 1 | 12,384 | 10,855 | 10.54 |
| 2 | 10,547 | |||
| 3 | 9634 | |||
| 0.4 | 1 | 12,482 | 12,578 | 11.97 |
| 2 | 14,467 | |||
| 3 | 10,784 | |||
| 0.5 | 1 | 16,258 | 16,158 | 6.36 |
| 2 | 17,364 | |||
| 3 | 14,852 | |||
| 0.6 | 1 | 18,344 | 20,529 | 8.24 |
| 2 | 22,463 | |||
| 3 | 20,779 |
| Stress Level (MPa) | Number | E0 (MPa) | Average Value (MPa) | Coefficient of Variation (%) |
|---|---|---|---|---|
| 0.5 | 1 | 33,162 | 30,895 | 6.91 |
| 2 | 28,036 | |||
| 3 | 31,486 | |||
| 0.6 | 1 | 33,193 | 34,413 | 3.29 |
| 2 | 35,921 | |||
| 3 | 34,125 | |||
| 0.7 | 1 | 39,048 | 37,349 | 5.28 |
| 2 | 38,414 | |||
| 3 | 34,585 | |||
| 0.8 | 1 | 41,302 | 45,221 | 5.72 |
| 2 | 45,151 | |||
| 3 | 49,210 |
| Stress Level (MPa) | Number | Emin (MPa) | Average Value (MPa) | Coefficient of Variation (%) |
|---|---|---|---|---|
| 0.4 | 1 | 13,235 | 13,536 | 4.99 |
| 2 | 14,472 | |||
| 3 | 12,901 | |||
| 0.5 | 1 | 14,534 | 14,648 | 3.13 |
| 2 | 15,258 | |||
| 3 | 14,151 | |||
| 0.6 | 1 | 11,174 | 11,230 | 11.97 |
| 2 | 9612 | |||
| 3 | 12,905 | |||
| 0.7 | 1 | 10,591 | 9585 | 9.31 |
| 2 | 8422 | |||
| 3 | 9741 |
| Stress Level (MPa) | Number | Emin (MPa) | Average Value (MPa) | Coefficient of Variation (%) |
|---|---|---|---|---|
| 0.6 | 1 | 21,581 | 21,094 | 4.99 |
| 2 | 21,424 | |||
| 3 | 20,278 | |||
| 0.7 | 1 | 21,773 | 20,331 | 3.13 |
| 2 | 21,794 | |||
| 3 | 17,427 | |||
| 0.8 | 1 | 16,817 | 17,060 | 11.97 |
| 2 | 17,142 | |||
| 3 | 17,221 | |||
| 0.9 | 1 | 14,764 | 9418 | 9.31 |
| 2 | 7482 | |||
| 3 | 6008 |
| Stress Level (MPa) | Number | Emin (MPa) | Average Value (MPa) | Coefficient of Variation (%) |
|---|---|---|---|---|
| 0.3 | 1 | 6931 | 6017 | 10.81 |
| 2 | 5469 | |||
| 3 | 5652 | |||
| 0.4 | 1 | 5665 | 5575 | 6.00 |
| 2 | 5933 | |||
| 3 | 5128 | |||
| 0.5 | 1 | 5085 | 5140 | 0.77 |
| 2 | 5174 | |||
| 3 | 5162 | |||
| 0.6 | 1 | 2853 | 3418 | 20.61 |
| 2 | 2989 | |||
| 3 | 4411 |
| Stress Level (MPa) | Number | Emin (MPa) | Average Value (MPa) | Coefficient of Variation (%) |
|---|---|---|---|---|
| 0.5 | 1 | 18,746 | 18,098 | 2.57 |
| 2 | 17,678 | |||
| 3 | 17,871 | |||
| 0.6 | 1 | 14,432 | 15,636 | 8.19 |
| 2 | 15,067 | |||
| 3 | 17,410 | |||
| 0.7 | 1 | 12,182 | 13,232 | 10.82 |
| 2 | 12,258 | |||
| 3 | 15,256 | |||
| 0.8 | 1 | 10,487 | 10,589 | 16.49 |
| 2 | 8503 | |||
| 3 | 12,777 |
| Stress Level (MPa) | Stress Ratio (t) | Number | m-Value | R2 | m-Average Value | m-Standard Deviation | Coefficient of Variation (%) |
|---|---|---|---|---|---|---|---|
| 0.4 | 0.501 | 1 | 0.316 | 0.945 | 0.299 | 0.012 | 4.11 |
| 2 | 0.289 | 0.921 | |||||
| 3 | 0.291 | 0.955 | |||||
| 0.5 | 0.626 | 1 | 0.328 | 0.951 | 0.321 | 0.026 | 8.01 |
| 2 | 0.287 | 0.943 | |||||
| 3 | 0.349 | 0.927 | |||||
| 0.6 | 0.751 | 1 | 0.451 | 0.969 | 0.453 | 0.026 | 5.69 |
| 2 | 0.486 | 0.954 | |||||
| 3 | 0.423 | 0.939 | |||||
| 0.7 | 0.876 | 1 | 0.542 | 0.942 | 0.543 | 0.024 | 4.36 |
| 2 | 0.572 | 0.919 | |||||
| 3 | 0.514 | 0.901 |
| Stress Level (MPa) | Stress Ratio (t) | Number | m-Value | R2 | m-Average Value | m-Standard Deviation | Coefficient of Variation (%) |
|---|---|---|---|---|---|---|---|
| 0.6 | 0.525 | 1 | 0.174 | 0.845 | 0.179 | 0.021 | 11.57 |
| 2 | 0.206 | 0.914 | |||||
| 3 | 0.156 | 0.892 | |||||
| 0.7 | 0.612 | 1 | 0.247 | 0.951 | 0.269 | 0.023 | 8.67 |
| 2 | 0.258 | 0.946 | |||||
| 3 | 0.301 | 0.936 | |||||
| 0.8 | 0.700 | 1 | 0.407 | 0.929 | 0.411 | 0.031 | 7.48 |
| 2 | 0.451 | 0.903 | |||||
| 3 | 0.376 | 0.947 | |||||
| 0.9 | 0.787 | 1 | 0.525 | 0.957 | 0.640 | 0.087 | 13.57 |
| 2 | 0.661 | 0.938 | |||||
| 3 | 0.735 | 0.952 |
| Stress Level (MPa) | Stress Ratio (t) | Number | m-Value | R2 | m-Average Value | m-Standard Deviation | Coefficient of Variation (%) |
|---|---|---|---|---|---|---|---|
| 0.3 | 0.544 | 1 | 0.250 | 0.913 | 0.256 | 0.023 | 9.08 |
| 2 | 0.287 | 0.907 | |||||
| 3 | 0.231 | 0.871 | |||||
| 0.4 | 0.726 | 1 | 0.341 | 0.969 | 0.351 | 0.026 | 7.49 |
| 2 | 0.387 | 0.948 | |||||
| 3 | 0.325 | 0.930 | |||||
| 0.5 | 0.907 | 1 | 0.490 | 0.989 | 0.483 | 0.023 | 4.66 |
| 2 | 0.507 | 0.934 | |||||
| 3 | 0.453 | 0.916 | |||||
| 0.6 | 1.089 | 1 | 0.695 | 0.985 | 0.682 | 0.051 | 7.53 |
| 2 | 0.738 | 0.920 | |||||
| 3 | 0.614 | 0.917 |
| Stress Level (MPa) | Stress Ratio (t) | Number | m-Value | R2 | m-Average Value | m-Standard Deviation | Coefficient of Variation (%) |
|---|---|---|---|---|---|---|---|
| 0.5 | 0.569 | 1 | 0.237 | 0.864 | 0.227 | 0.021 | 9.40 |
| 2 | 0.197 | 0.942 | |||||
| 3 | 0.246 | 0.936 | |||||
| 0.6 | 0.683 | 1 | 0.363 | 0.947 | 0.361 | 0.024 | 6.57 |
| 2 | 0.389 | 0.923 | |||||
| 3 | 0.331 | 0.910 | |||||
| 0.7 | 0.796 | 1 | 0.472 | 0.926 | 0.465 | 0.025 | 5.46 |
| 2 | 0.492 | 0.921 | |||||
| 3 | 0.431 | 0.902 | |||||
| 0.8 | 0.910 | 1 | 0.562 | 0.925 | 0.587 | 0.042 | 7.21 |
| 2 | 0.647 | 0.911 | |||||
| 3 | 0.553 | 0.935 |
Disclaimer/Publisher’s Note: The statements, opinions and data contained in all publications are solely those of the individual author(s) and contributor(s) and not of MDPI and/or the editor(s). MDPI and/or the editor(s) disclaim responsibility for any injury to people or property resulting from any ideas, methods, instructions or products referred to in the content. |
© 2024 by the authors. Licensee MDPI, Basel, Switzerland. This article is an open access article distributed under the terms and conditions of the Creative Commons Attribution (CC BY) license (https://creativecommons.org/licenses/by/4.0/).
Share and Cite
Xue, Y.; Ge, D.; Lv, S.; Wei, H.; Lu, W.; Peng, L. The Research Effects of Variable Temperature and Early Strength Agent on the Mechanical Properties of Cement-Stabilized Macadam. Materials 2024, 17, 3720. https://doi.org/10.3390/ma17153720
Xue Y, Ge D, Lv S, Wei H, Lu W, Peng L. The Research Effects of Variable Temperature and Early Strength Agent on the Mechanical Properties of Cement-Stabilized Macadam. Materials. 2024; 17(15):3720. https://doi.org/10.3390/ma17153720
Chicago/Turabian StyleXue, Yanhua, Dongdong Ge, Songtao Lv, Hui Wei, Weiwei Lu, and Liangchen Peng. 2024. "The Research Effects of Variable Temperature and Early Strength Agent on the Mechanical Properties of Cement-Stabilized Macadam" Materials 17, no. 15: 3720. https://doi.org/10.3390/ma17153720
APA StyleXue, Y., Ge, D., Lv, S., Wei, H., Lu, W., & Peng, L. (2024). The Research Effects of Variable Temperature and Early Strength Agent on the Mechanical Properties of Cement-Stabilized Macadam. Materials, 17(15), 3720. https://doi.org/10.3390/ma17153720

