Mechanical Properties and Cooperation Mechanism of Corroded Steel Plates Retrofitted by Laser Cladding Additive Manufacturing under Tension
Abstract
1. Introduction
2. Materials and Method
2.1. Materials
2.2. LC Repair Process and Specimen Preparation
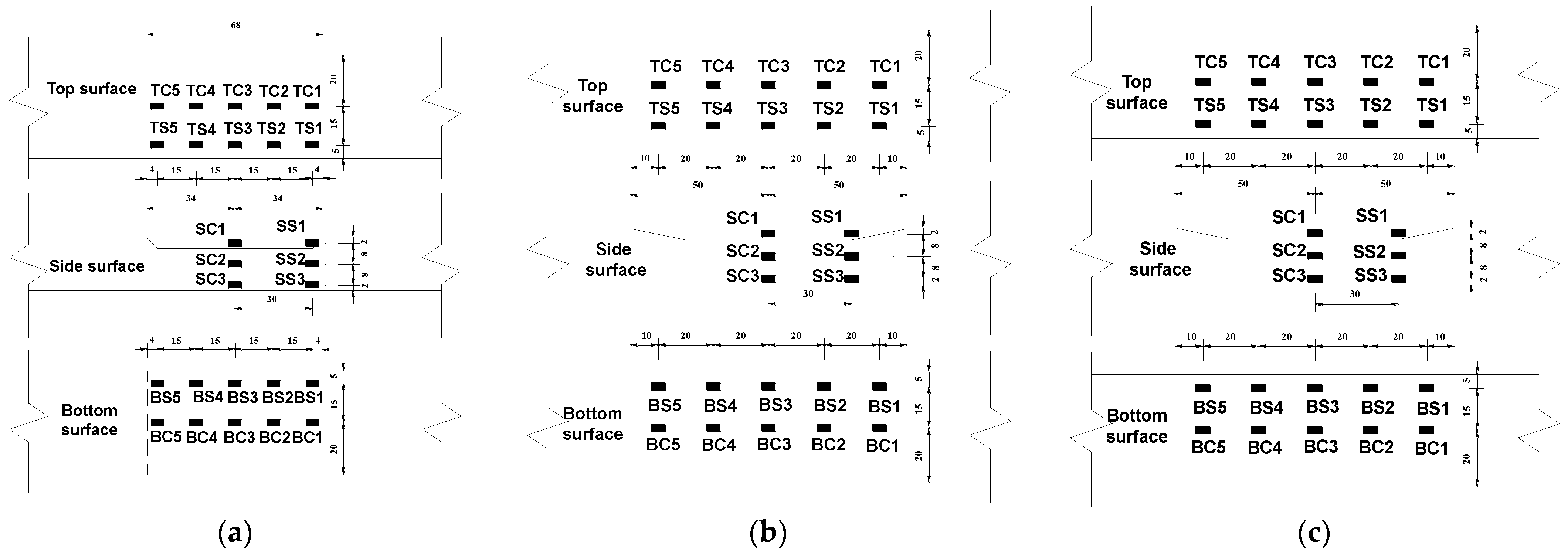
2.3. Experimental Setup
3. Results and Discussion
3.1. Failure Mode
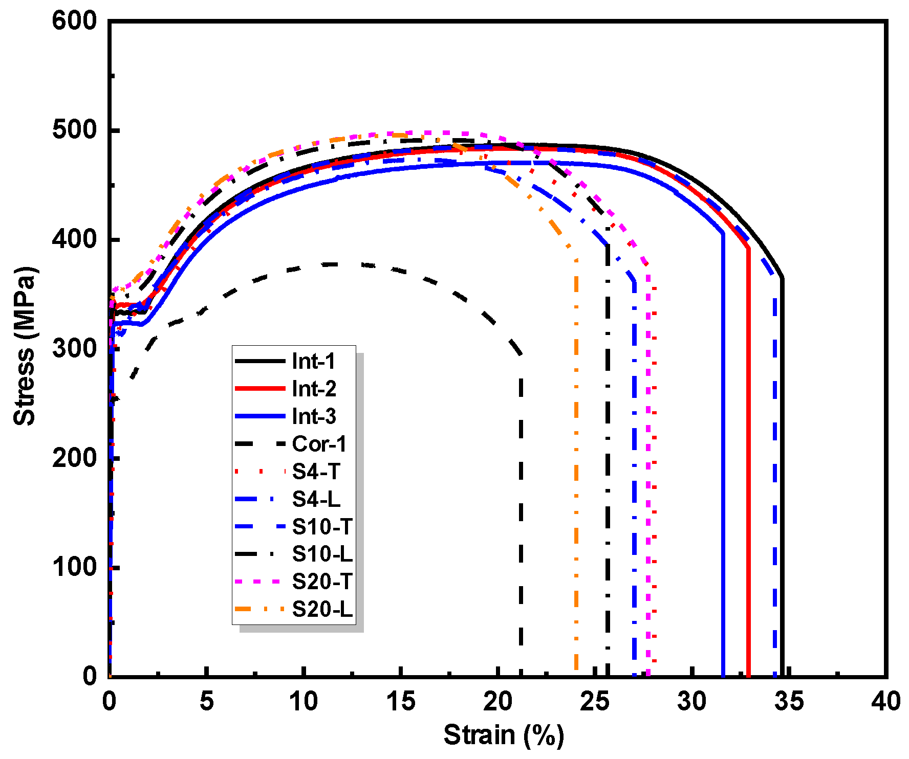
3.2. Mechanical Properties
3.3. Cooperation Mechanism between LC Sheet and Substrate
3.4. Finite Element Analysis
4. Conclusions
- The corroded steel plates repaired by the LC technology can prevent failure at the locally corroded area. The repaired specimens have a similar yield strength and ultimate strength to the intact specimens and better ductility as compared to the corroded specimen, while the geometric dimensions are almost identical to those of the original state.
- A larger interface slope between the substrate and LC sheet is more likely to cause a lack of fusion defects during the LC process. The yield strength and ultimate strength of the repaired specimens slightly increase as the interface slope decreases, yet this comes at the expense of more cladding material consumption in the LC repair process. The LC scanning pattern has no impact on the yield strength and ultimate strength of the repaired specimens, while the ultimate elongation of the repaired specimens using the transverse scanning pattern is larger than that of the repaired specimens using the longitudinal scanning pattern. The interface slope of 1:2.5 and transverse LC scanning pattern were suitable for the repair of corroded steel plates.
- The typical stress–strain curve of repaired specimens can be divided into four stages: elastic stage, substrate yield-LC sheet elastic stage, substrate hardening-LC sheet elastic stage, and plastic stage. During the elastic stage, the strain of the substrate was lower than that of the LC sheet, but it gradually increased and became larger than that of the LC sheet as the load was applied.
- The stress concentration at the LC sheet edges led to local warping at the LC sheet edges when the repaired specimen failed under tension.
Author Contributions
Funding
Data Availability Statement
Conflicts of Interest
References
- Ma, H.B.; Yang, Y.; He, Z.; Zhang, Y.H.; Ji, F. Experimental study on mechanical properties of steel under extreme cyclic loading considering pitting damage. Ocean Eng. 2019, 186, 106091. [Google Scholar] [CrossRef]
- Wang, H.J.; Zhang, Z.W.; Qian, H.L.; Fan, F. Effect of local corrosion on the axial compression behavior of circular steel tubes. Eng. Struct. 2020, 224, 111205. [Google Scholar] [CrossRef]
- Mitra, S.; Bastani, A.; Das, S.; Lawn, D. Corroded steel beams with various corrosion aspect ratios—A rehabilitation technique using basalt fibre fabric. Eng. Struct. 2020, 221, 111075. [Google Scholar] [CrossRef]
- Sharifi, S.M.H.; Kaveh, M.; Bolfakeh, M. Numerical study of mechanical clamps crack arresting efficiency in temporary repair solutions for cracked marine pipelines. Ships Offshore Struct. 2023, 18, 1448–1459. [Google Scholar] [CrossRef]
- Zuo, W.; Chang, H.; Li, Z.; An, A.; Xia, J.; Yu, T. Experimental investigation on compressive behavior of corroded thin-walled CHS T-joints with grout-filled GFRP tube repairing. Thin-Walled Struct. 2022, 175, 109222. [Google Scholar] [CrossRef]
- Wang, X.; Miao, C.; Zhu, H.; Gao, L.; Sun, C. Experimental study on fatigue behavior of cracked steel plates repaired with adhesively bonded steel patches. Structures 2023, 56, 104915. [Google Scholar] [CrossRef]
- Huang, H.; Guo, L.; Zhao, O.; Gao, S. Experimental and numerical investigation into locally corroded circular concrete-filled steel tubular stub columns strengthened by CFRP. Thin-Walled Struct. 2023, 192, 111174. [Google Scholar] [CrossRef]
- Savari, A.; Rashed, G.; Eskandari, H. Time-Dependent Reliability Analysis of Composite Repaired Pipes Subjected to Multiple Failure Modes. J. Fail. Anal. Prev. 2021, 21, 2234–2246. [Google Scholar] [CrossRef]
- Li, X.; Li, T.; Shi, B.; Wang, D.; Adnan, M.; Lu, H. The influence of substrate tilt angle on the morphology of laser cladding layer. Surf. Coat. Technol. 2020, 391, 125706. [Google Scholar] [CrossRef]
- Wang, X.; Lei, L.; Yu, H. A Review on Microstructural Features and Mechanical Properties of Wheels/Rails Cladded by Laser Cladding. Micromachines 2021, 12, 152. [Google Scholar] [CrossRef]
- Wang, D.; Song, C.; Yang, Y.; Bai, Y. Investigation of crystal growth mechanism during selective laser melting and mechanical property characterization of 316L stainless steel parts. Mater. Des. 2016, 100, 291–299. [Google Scholar] [CrossRef]
- Zhu, Y.; Yang, Y.; Mu, X.; Wang, W.; Yao, Z.; Yang, H. Study on wear and RCF performance of repaired damage railway wheels: Assessing laser cladding to repair local defects on wheels. Wear 2019, 430, 126–136. [Google Scholar] [CrossRef]
- Zhu, S.C.; Chen, W.L.; Zhan, X.H.; Ding, L.P.; Zhou, J.J. Parameter optimisation of laser cladding repair for an Invar alloy mould. Proc. Inst. Mech. Eng. B J. Eng. Manuf. 2019, 233, 1859–1871. [Google Scholar] [CrossRef]
- Wilson, J.M.; Piya, C.; Shin, Y.C.; Zhao, F.; Ramani, K. Remanufacturing of turbine blades by laser direct deposition with its energy and environmental impact analysis. J. Cleaner Prod. 2014, 80, 170–178. [Google Scholar] [CrossRef]
- Kang, L.; Zhang, C.; Bradford, M.A.; Liu, X.P. Axial compressive behaviour of corroded circular steel tube columns retrofitted by laser-cladding additive manufacturing. Thin-Walled Struct. 2023, 192, 111129. [Google Scholar] [CrossRef]
- Zhai, W.; Nan, J.; Sun, L.; Wang, Y.; Wang, S. Preparation, Microstructure, and Interface Quality of Cr3C2-NiCr Cladding Layer on the Surface of Q235 Steel. Coatings 2023, 13, 676. [Google Scholar] [CrossRef]
- Kang, L.; Zhang, B.; Bradford, M.A.; Liu, X.P. Interfacial behaviour and stress transfer mechanism of additively manufactured laser cladding sheet-covered steel plates. Thin-Walled Struct. 2023, 182, 110218. [Google Scholar] [CrossRef]
- Li, Y.; Liu, X.; Dong, S.; Ren, X.; Yan, S.; Xu, B. Influence of laser power on interface characteristics and cracking behavior during laser remanufacturing of nodular cast iron. Eng. Fail. Anal. 2021, 122, 105226. [Google Scholar] [CrossRef]
- Wang, K.; Yin, X.; Lu, H.; Ai, Y. Interface phase and mechanical properties of (Fe50Mn30Co10Cr10)100-xAlx laser cladding layer with adjustable Al content. Surf. Coat. Technol. 2024, 478, 130488. [Google Scholar] [CrossRef]
- Li, Y.; Dong, S.; Yan, S.; He, P.; Xu, B. Phase evolution of ductile iron during laser cladding processing. Surf. Coat. Technol. 2018, 339, 37–47. [Google Scholar] [CrossRef]
- Zhang, Y.; Huang, B.; Li, H. Influence of the Parameters on the Laser Deposited TiAl Layer. In Proceedings of the 1st International Congress on Advanced Materials, Jinan, China, 13–16 May 2011. [Google Scholar]
- Cailloux, T.; Pacquentin, W.; Narasimalu, S.; Belnou, F.; Schuster, F.; Maskrot, H.; Wang, C.C.; Zhou, K.; Balbaud-Celerier, F. Influence of trapezoidal groove geometry on the microstructure and mechanical properties of stainless steel 316L parts repaired by laser metal deposition. Mater. Sci. Eng. A 2022, 859, 144218. [Google Scholar] [CrossRef]
- Kang, L.; Wu, B.; Chen, Z.B. Mechanical properties of locally corroded steel plate repaired by laser cladding technology. J. South China Univ. Technol. (Nat. Sci. Ed.) 2022, 50, 137–146. [Google Scholar]
- Cui, W.H.; Wang, H.; Shao, D.Q.; Han, B.; Lin, J.Y. Analysis of Influencing Factors and Experimental Study on Properties of Laser Cladding Layer. IOP Conf. Ser. Mater. Sci. Eng. 2019, 631, 032016. [Google Scholar] [CrossRef]
- Gong, J.; Shu, L.; Wang, J.; Li, J.; Qin, J. Research Status and Development Trend of Laser Cladding Process Optimization Method. Laser Optoelectron. Prog. 2023, 60, 1900003. [Google Scholar]
- Yuan, W.; Li, R.; Chen, Z.; Gu, J.; Tian, Y. A comparative study on microstructure and properties of traditional laser cladding and high-speed laser cladding of Ni45 alloy coatings. Surf. Coat. Technol. 2021, 405, 126582. [Google Scholar] [CrossRef]
- Nie, M.H.; Zhang, S.; Wang, Z.Y.; Yin, T.Y.; Zhang, C.H.; Wu, C.L.; Zhang, D.X. Laser Cladding of 17-4 PH Stainless Steel Coatings: Microstructure, Texture Characterization, and Corrosion Resistance. J. Mater. Eng. Perform. 2023, 32, 5545–5553. [Google Scholar] [CrossRef]
- Zhang, B.; He, B.; Wang, H. Microstructural investigation and mechanical performance of laser cladding repaired bainite steel with AerMet100 steel. Surf. Coat. Technol. 2022, 440, 128498. [Google Scholar] [CrossRef]
- Chen, Z.; Sun, W.; Huang, Y.; Zhou, H.; Yang, K.; Lu, J. The effect of laser energy density on microstructural evolution and mechanical properties of laser clad 316L stainless steel for repair. Surf. Coat. Technol. 2022, 448, 128899. [Google Scholar] [CrossRef]
- Rashid, R.A.R.; Barr, C.J.; Palanisamy, S.; Nazari, K.A.; Orchowski, N.; Matthews, N.; Dargusch, M.S. Effect of clad orientation on the mechanical properties of laser-clad repaired ultra-high strength 300 M steel. Surf. Coat. Technol. 2019, 380, 125090. [Google Scholar] [CrossRef]
- Zheng, Y.; Liu, F.; Gao, J.; Liu, F.; Huang, C.; Zheng, H.; Wang, P.; Qiu, H. Effect of different heat input on the microstructure and mechanical properties of laser cladding repaired 300M steel. J. Mater. Res. Technol. 2023, 22, 556–568. [Google Scholar] [CrossRef]
- GB/T228.1-2021; Metallic Materials-Tensile Testing-Part 1, Method of Test at Room Temperature. Standards Press of China: Beijing, China, 2021.
- Deng, D.W.; Ma, Y.B.; Ma, Y.S.; He, T.; Huang, Z.Y.; Sun, Q. Influence of remelting and annealing on residual stress of 316L stainless steel laser clad layer. Heat Treat. Met. 2020, 45, 113–118. [Google Scholar]
- Jin, X.L.; Zheng, M.S.; Zhou, S.G. The mechanical model for estimating the modulus of composite materials. Mech. Eng. 1997, 5, 58–60. [Google Scholar]
- Kang, L.; Ge, H.B.; Suzuki, M.; Wu, B. An average weight whole-process method for predicting mechanical and ductile fracture performances of HSS Q690 after a fire. Constr. Build. Mater. 2018, 191, 1023–1041. [Google Scholar] [CrossRef]
- Kang, L.; Zhang, C.; Bradford, M.A.; Liu, X.P. Full-range stress-strain relationship and fracture model for laser cladding additively manufactured 316L stainless steel sheets. Eng. Struct. 2023, 297, 116997. [Google Scholar] [CrossRef]





















| Chemical Composition | Si | Cr | Ni | Mn | Mo | C | O | Fe |
|---|---|---|---|---|---|---|---|---|
| in % by weight | 0.59 | 17.3 | 12.23 | 1.22 | 2.17 | 0.013 | 0.029 | Balance |
| Materials | E (GPa) | μ | fy/σ0.2 (MPa) | σu (MPa) | σneck (MPa) | εneck | Q | α |
|---|---|---|---|---|---|---|---|---|
| Substrate | 197.7 | 0.30 | 332.1 | 480.4 | 578.9 | 0.1838 | 0.40 | 2.10 |
| LC sheet-T | 178.0 | 0.29 | 383.2 | 607.6 | 773.5 | 0.2414 | 0.47 | 1.53 |
| LC sheet-L | 173.4 | 0.29 | 360.2 | 583.6 | 801.3 | 0.3170 | 0.54 | 1.53 |
| Item | Value |
|---|---|
| Layer thickness | 0.8 mm |
| Scanning velocity | 1.2 m/min |
| Laser power used in this study | 2200 W |
| Laser spot * | Rectangle, 5 mm × 2.2 mm |
| CO2 protecting gas velocity | 15 Pa·L/min |
| Powder feeding velocity | 18 g/min |
| Overlap ratio | 60% |
| Specimens | Bdes (mm) | tdes (mm) | Bmea (mm) | tmea (mm) | d (mm) | S (mm) | tLC (mm) | Interface Slope | Scan Pattern |
|---|---|---|---|---|---|---|---|---|---|
| Int-1 | 40 | 20 | 39.91 | 19.85 | - | - | - | - | - |
| Int-2 | 40 | 20 | 39.93 | 19.73 | - | - | - | - | - |
| Int-3 | 40 | 20 | 39.99 | 19.62 | - | - | - | - | - |
| Cor-1 | 40 | 20 | 39.89 | 19.65 | 4 | 10 | - | 1:2.5 | - |
| S4-T | 40 | 20 | 39.89 | 20.16 | 4 | 4 | 5.78 | 1:1 | Transverse |
| S4-L | 40 | 20 | 39.88 | 19.51 | 4 | 4 | 5.96 | 1:1 | Longitudinal |
| S10-T | 40 | 20 | 39.94 | 18.73 | 4 | 10 | 5.92 | 1:2.5 | Transverse |
| S10-L | 40 | 20 | 39.73 | 18.61 | 4 | 10 | 5.44 | 1:2.5 | Longitudinal |
| S20-T | 40 | 20 | 39.94 | 18.36 | 4 | 20 | 5.96 | 1:5 | Transverse |
| S20-L | 40 | 20 | 39.92 | 19.40 | 4 | 20 | 5.72 | 1:5 | Longitudinal |
| Specimens | E (GPa) | σy (MPa) | σu (MPa) | α (%) | Iy (%) | Iu (%) |
|---|---|---|---|---|---|---|
| Int-1 | 207.34 | 332.49 | 486.88 | 34.63 | 30.32 | 28.81 |
| Int-2 | 200.21 | 340.19 | 483.58 | 32.91 | 33.33 | 27.94 |
| Int-3 | 185.44 | 323.67 | 470.64 | 31.60 | 26.86 | 24.51 |
| Cor-1 | 200.19 | 255.14 | 377.98 | 21.20 | - | - |
| S4-T | 170.90 | 319.71 | 481.07 | 28.06 | 25.31 | 27.27 |
| S4-L | 180.90 | 315.90 | 473.34 | 27.12 | 23.81 | 25.23 |
| S10-T | 188.02 | 339.48 | 484.74 | 34.26 | 33.06 | 28.24 |
| S10-L | 173.15 | 344.00 | 491.15 | 25.66 | 34.83 | 29.94 |
| S20-T | 197.20 | 355.56 | 498.12 | 27.74 | 39.36 | 31.78 |
| S20-L | 207.38 | 350.84 | 495.50 | 24.04 | 37.51 | 31.09 |
Disclaimer/Publisher’s Note: The statements, opinions and data contained in all publications are solely those of the individual author(s) and contributor(s) and not of MDPI and/or the editor(s). MDPI and/or the editor(s) disclaim responsibility for any injury to people or property resulting from any ideas, methods, instructions or products referred to in the content. |
© 2024 by the authors. Licensee MDPI, Basel, Switzerland. This article is an open access article distributed under the terms and conditions of the Creative Commons Attribution (CC BY) license (https://creativecommons.org/licenses/by/4.0/).
Share and Cite
Kang, L.; Song, P.; Liu, X.; Chen, H. Mechanical Properties and Cooperation Mechanism of Corroded Steel Plates Retrofitted by Laser Cladding Additive Manufacturing under Tension. Materials 2024, 17, 3690. https://doi.org/10.3390/ma17153690
Kang L, Song P, Liu X, Chen H. Mechanical Properties and Cooperation Mechanism of Corroded Steel Plates Retrofitted by Laser Cladding Additive Manufacturing under Tension. Materials. 2024; 17(15):3690. https://doi.org/10.3390/ma17153690
Chicago/Turabian StyleKang, Lan, Peng Song, Xinpei Liu, and Haizhou Chen. 2024. "Mechanical Properties and Cooperation Mechanism of Corroded Steel Plates Retrofitted by Laser Cladding Additive Manufacturing under Tension" Materials 17, no. 15: 3690. https://doi.org/10.3390/ma17153690
APA StyleKang, L., Song, P., Liu, X., & Chen, H. (2024). Mechanical Properties and Cooperation Mechanism of Corroded Steel Plates Retrofitted by Laser Cladding Additive Manufacturing under Tension. Materials, 17(15), 3690. https://doi.org/10.3390/ma17153690

