Electrical Conduction Mechanism of Mg-Doped ZrO2 Thin Films
Abstract
1. Introduction
2. Materials and Methods
3. Results and Discussion
3.1. X-ray Diffraction (XRD)
3.2. X-ray Photoelectron Spectroscopy
3.3. Optical Band Gap
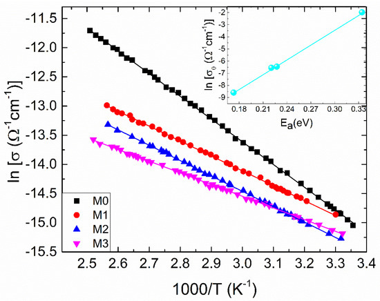
3.4. Electrical Conductivity
4. Conclusions
Author Contributions
Funding
Institutional Review Board Statement
Informed Consent Statement
Data Availability Statement
Conflicts of Interest
References
- Altalhi, T.; Gobouri, A.A.; Al-Harbi, L.M.; Refat, M.S.; El-Nahass, M.M.; Hassanien, A.M.; Atta, A.A.; Ahmed, E.M.A. Structural, diffuse reflectance spectroscopy and dielectric relaxation properties of zirconium (IV) dioxide. J. Mater. Res. Technol. 2021, 12, 1194–1202. [Google Scholar] [CrossRef]
- Lou, C.; Li, Z.; Yang, C.; Liu, X.; Zheng, W.; Zhang, J. Rational design of ordered porous SnO2/ZrO2 thin films for fast and selective triethylamine detection with humidity resistance. Sens. Actuators B Chem. 2021, 333, 129572. [Google Scholar] [CrossRef]
- Omar, S.; Najib, W.B.; Chen, W.; Bonanos, N. Electrical Conductivity of 10 mol% Sc2O3–1 mol% M2O3–ZrO2 Ceramics. J. Am. Ceram. Soc. 2012, 95, 1965–1972. [Google Scholar] [CrossRef]
- Buchanan, R.C.; Pope, S. Optical and Electrical Properties of Yttria Stabilized Zirconia (YSZ) Crystals. J. Electrochem. Soc. Solid-State Sci. Technol. 1983, 130, 962–966. [Google Scholar] [CrossRef]
- Strickler, D.W.; Carlson, W.G. Electrical Conductivity in the ZrO2 -Rich Region of Several M2O3-ZrO2 Systems. J. Am. Ceram. Soc. 1965, 48, 286–289. [Google Scholar] [CrossRef]
- Renuka, L.; Anantharaju, K.S.; Sharma, S.C.; Nagaswarupa, H.P.; Prashantha, S.C.; Nagabhushana, H.; Vidya, Y.S. Hollow microspheres Mg-doped ZrO2 nanoparticles: Green assisted synthesis and applications in photocatalysis and photoluminescence. J. Alloys Compd. 2016, 672, 609–622. [Google Scholar] [CrossRef]
- Kim, M.; Oh, S.B.; Joo, H. Conduction Mechanism in Acceptor- or Donor-Doped ZrO2 Bulk and Thin Films. ACS Appl. Mater. Interfaces 2023, 15, 31627–31634. [Google Scholar] [CrossRef] [PubMed]
- Yoon, S.; Noh, T.; Kim, W.; Choi, J. Structural parameters and oxygen ion conductivity of Y2O3–ZrO2 and MgO–ZrO2 at high temperature. Ceram. Int. 2013, 39, 9247–9251. [Google Scholar] [CrossRef]
- Joo, J.H.; Choi, G.M. Electrical conductivity of YSZ film grown by pulsed laser deposition. Solid State Ion. 2006, 177, 1053–1057. [Google Scholar] [CrossRef]
- Joo, J.H.; Choi, G.M. Electrical conductivity of scandia-stabilized zirconia thin film. Solid State Ion. 2008, 179, 1209–1213. [Google Scholar] [CrossRef]
- Moura, C.; Carvalho, P.; Vaz, F.; Cunha, L.; Alves, E. Raman spectra and structural analysis in ZrOxNy thin films. Thin Solid Film. 2006, 515, 1132–1137. [Google Scholar] [CrossRef]
- Jeong, K.S.; Song, J.; Lim, D.; Lee, M.S.; Kim, H.; Cho, M.H. Structural evolution and defect control of yttrium-doped ZrO2 films grown by a sol-gel method. Appl. Surf. Sci. 2014, 320, 128–137. [Google Scholar] [CrossRef]
- Shannon, R.D. Revised effective ionic radii and systematic studies of interatomic distances in halides and chalcogenides. Acta Cryst. 1976, A32, 751–767. [Google Scholar] [CrossRef]
- Salari, S.; Ghods, F.E. A significant enhancement in the photoluminescence emission of the Mg doped ZrO2 thin films by tailoring the effect of oxygen vacancy. J. Lumin. 2017, 182, 289–299. [Google Scholar] [CrossRef]
- Anderson, J.A.; Fierro, J.L.G. Bulk and surface properties of copper-containing oxides of the general formula LaZr1-xCuxO3. J. Solid State Chem. 1994, 108, 305–313. [Google Scholar] [CrossRef]
- Lakshmi, J.S.; Berlin, I.J.; Daniel, G.P.; Thomas, P.V.; Joy, K. Effect of calcination atmosphere on photoluminescence properties of nanocrystalline ZrO2 thin films prepared by sol–gel dip coating method. Phys. B Condens. Matter. 2011, 406, 3050–3055. [Google Scholar] [CrossRef]
- Montero, J.M.; Isaacs, M.A.; Lee, A.F.; Lynam, J.M.; Wilson, K. The surface chemistry of nanocrystalline MgO catalysts for FAME production: An in situ XPS study of H2O, CH3OH and CH3OAc adsorption. Surf. Sci. 2016, 646, 170–178. [Google Scholar] [CrossRef]
- Wanga, L.; Shinoharaa, T.; Zhang, B.-P. XPS study of the surface chemistry on AZ31 and AZ91 magnesium alloys in dilute NaCl solution. Appl. Surf. Sci. 2010, 256, 5807–5812. [Google Scholar] [CrossRef]
- Mardare, D.; Tasca, M.; Delibas, M.; Rusu, G.I. On the structural properties and optical transmittance of TiO2 R.F. sputtered thin films. Appl. Surf. Sci. 2000, 156, 200–206. [Google Scholar] [CrossRef]
- Deng, W.; Li, Y. High-temperature electrical properties of polycrystalline MgO-doped ZrO2. Mater. Res. Bull. 2019, 113, 182–189. [Google Scholar] [CrossRef]
- Vijayakumar, M.; Selvasekarapandian, S.; Bhuvaneswari, M.S.; Kumar, G.H.; Ramprasad, G.; Subramanian, R.; Angelo, P.C. Synthesis and ion dynamics studies of nanocrystalline Mg stabilized zirconia. Phys. B 2003, 334, 390–397. [Google Scholar] [CrossRef]
- Mbae, J.K.; Muthui, Z.W. Doping induced phase stabilization and electronic properties of alkaline earth metal doped zirconium (IV) oxide: A first principles study. Heliyon 2023, 9, e20998. [Google Scholar] [CrossRef] [PubMed]
- Mott, N.F. Conduction in glasses containing transition metal ions. J. Non-Cryst. Solids 1968, 1, 1–17. [Google Scholar] [CrossRef]
- Serin, T.; Yildiz, A.; Șahin, Ș.H.; Serin, N. Multiphonon hopping of carriers in CuO thin films. Phys. B 2011, 406, 3551–3555. [Google Scholar] [CrossRef]
- Serin, N.; Yildiz, A.; Alsac, A.A.; Serin, T. Estimation of compensation ratio by identifying the presence of different hopping conduction mechanisms in SnO2 thin films. Thin Solid Film. 2011, 519, 2302–2307. [Google Scholar] [CrossRef]
- Mardare, D.; Yildiz, A.; Apetrei, R.; Rambu, P.; Florea, D.; Gheorghe, N.G.; Macovei, D.; Teodorescu, C.M.; Luca, D. The Meyer-Neldel Rule in amorphous TiO2 films with different Fe content. J. Mater. Res. 2012, 27, 2271–2277. [Google Scholar] [CrossRef]
- Meyer, W.; Neldel, H. Relation between the energy constant and the quantity constant in the conductivity–temperature formula of oxide semiconductors. Z. Tech. Phys. 1937, 12, 588–593. [Google Scholar]
- Kumar, D.; Kumar, S. Pre-exponential factor in a-Se75In25-xPbx thin films. Bull. Mater. Sci. 2004, 27, 441–444. [Google Scholar] [CrossRef]
- Guillén, C.; Herrero, J. Investigations of the electrical properties of electrodeposited CuInSe2 thin films. J. Appl. Phys. 1992, 71, 5479–5483. [Google Scholar] [CrossRef]
- Morii, K.; Matsui, T.; Tsuda, H.; Mabuchi, H. Meyer–Neldel rule in amorphous strontium titanate thin films. Appl. Phys. Lett. 2000, 77, 2361–2363. [Google Scholar] [CrossRef]
- Hariech, S.; Aida, M.S.; Moualkia, H. Observation of Meyer–Neldel rule in CdS thin films. Mater. Sci. Semicond. Process. 2012, 15, 181–186. [Google Scholar] [CrossRef]
- Jakson, W.B. Connection between the Meyer-Neldel relation and multiple-trapping transport. Phys. Rev. B Condens. Matter. 1988, 38, 3595–3598. [Google Scholar] [CrossRef] [PubMed]
- Nevitt, M.V.; Fang, Y.; Chan, S.K. Heat Capacity of Monoclinic Zirconia between 2.75 and 350 K. J. Am. Ceram. Soc. 1990, 73, 2502–2504. [Google Scholar] [CrossRef]
- Cheng, Y.; Zhang, T.; Qi, Y.-Y. Elastic Properties of Monoclinic ZrO2 at Finite Temperatures Via First Principles. Int. J. Thermophys. 2014, 35, 145–153. [Google Scholar] [CrossRef]
- Kemeny, G.; Rosenberg, B. Small polarons in organic and biological semiconductors. J. Chem. Phys. 1970, 53, 3549–3551. [Google Scholar] [CrossRef]
- Zelewski, S.J.; Urban, J.M.; Surrente, A.; Maude, D.K.; Kuc, A.; Schade, L.; Johnson, R.D.; Dollmann, M.; Nayak, P.K.; Snaith, H.J.; et al. Revealing the nature of photoluminescence emission in the metal-halide double perovskite Cs2AgBiBr6. J. Mater. Chem. C 2019, 27, 8350–8356. [Google Scholar] [CrossRef]
- Smith, M.D.; Karunadasa, H.I. White-Light Emission from Layered Halide Perovskites. Acc. Chem. Res. 2018, 51, 619–627. [Google Scholar] [CrossRef] [PubMed]
- Dotzler, C.; Williams, G.V.M.; Edgar, A.; Schweizer, S.; Henke, B.; Spaeth, J.M.; Bittar, A.; Hamlin, J.; Dunford, C. The effect of X-ray, ϒ-ray, and UV radiations on the optical properties of RbCdF3: Mn2+. J. Appl. Phys. 2006, 100, 033102. [Google Scholar] [CrossRef]
- Mott, N.F.; Davis, E.A. Electronics Process in Non-Crystalline Materials, 2nd ed.; Clarendon: Oxford, UK, 1971. [Google Scholar]
- Yildiz, A.; Lisesivdin, S.B.; Kasap, M.; Mardare, D. Non-adiabatic small polaron hopping conduction in Nb-doped TiO2 thin film. Phys. B 2009, 404, 1423–1426. [Google Scholar] [CrossRef]
- Ceresoli, D.; Vanderbilt, D. Structural and dielectric properties of amorphous ZrO2 and HfO2. Phys. Rev. B 2006, 74, 125108. [Google Scholar] [CrossRef]
- Yildiz, A.; Iacomi, F.; Mardare, M. Polaron transport in TiO2 thin films. J. Appl. Phys. 2010, 108, 083701–083708. [Google Scholar] [CrossRef]
- Khan, W.; Naqvi, A.H.; Gupta, M.; Husain, S.; Kumar, R. Small polaron hopping conduction mechanism in Fe doped LaMnO3. J. Chem. Phys. 2011, 135, 054501. [Google Scholar] [CrossRef] [PubMed]
- Yildiz, A.; Lisesivdin, S.B.; Kasap, M.; Mardare, D. High temperature variable-range hopping conductivity in undoped TiO2 thin film. Optoelectron. Adv. Mater. Rapid Commun. 2007, 1, 531–533. [Google Scholar]
- Austin, I.G.; Mott, N.F. Polarons in crystalline and non-crystalline materials. Adv. Phys. 2001, 50, 757–812. [Google Scholar] [CrossRef]





| Precursors | The Precursor Quantities (Moles) | |||
|---|---|---|---|---|
| M0 | M1 | M2 | M3 | |
| ZrCl4 | 2.45 · 10−2 | 2.43 · 10−2 | 2.41 · 10−2 | 2.40 · 10−2 |
| Mg(NO3)2 | 0 | 2.45 · 10−4 | 4.90 · 10−4 | 7.41 · 10−4 |
| Sample | Zr 3d5/2 | Zr 3d3/2 | O 1s | Mg 2p3/2 | C 1s | |||||
|---|---|---|---|---|---|---|---|---|---|---|
| BE | A | BE | A | BE | A | BE | A | BE | A | |
| M0 | 182.28 | 6261 | 184.61 | 2950 | 531.06 532.25 | 36,177 21,196 | - | - | 284.58 | 6389 |
| M1 | 181.58 182.65 | 431 8704 | 183.51 184.97 | 195 4528 | 529.55 530.44 532.30 | 987 30,330 29,343 | 48.51 49.61 50.73 50.82 | 86 58 312 84 | 282.53 * 284.70 286.24 * | 426 9072 2980 |
| M2 | 181.44 182.56 | 1818 10,556 | 183.30 184.87 | 1143 6660 | 529.62 530.65 532.40 | 1481 23,696 27,705 | 48.30 49.63 50.03 50.14 | 65 97 156 48 | 281.59 * 284.54 286.87 * | 558 10,422 1308 |
| M3 | 181.27 182.12 | 849 2286 | 183.14 184.45 | 509 1911 | 530.40 530.86 532.52 | 9558 11,729 36,874 | 48.57 49.54 50.14 50.80 | 104 124 68 22 | 283.41 * 284.62 285.95 * | 3379 7677 647 |
| Sample | Ep (meV) | Eh (meV) | Ed (meV) | H (meV) | γ | Eh/3 (meV) |
|---|---|---|---|---|---|---|
| M0 | 365.71 | 327.55 | 74.49 | 34.70 | 13.3 | 109.18 |
| M1 | 250.15 | 224.47 | 51.05 | 31.60 | 9.13 | 74.82 |
| M2 | 256.64 | 230.11 | 52.33 | 31.80 | 9.36 | 76.70 |
| M3 | 202.69 | 180.99 | 41.16 | 29.90 | 7.36 | 60.33 |
Disclaimer/Publisher’s Note: The statements, opinions and data contained in all publications are solely those of the individual author(s) and contributor(s) and not of MDPI and/or the editor(s). MDPI and/or the editor(s) disclaim responsibility for any injury to people or property resulting from any ideas, methods, instructions or products referred to in the content. |
© 2024 by the authors. Licensee MDPI, Basel, Switzerland. This article is an open access article distributed under the terms and conditions of the Creative Commons Attribution (CC BY) license (https://creativecommons.org/licenses/by/4.0/).
Share and Cite
Mardare, D.; Frenti, M.; Mita, C.; Cornei, N.; Bulai, G.; Dobromir, M.; Doroshkevich, A.; Yildiz, A. Electrical Conduction Mechanism of Mg-Doped ZrO2 Thin Films. Materials 2024, 17, 3652. https://doi.org/10.3390/ma17153652
Mardare D, Frenti M, Mita C, Cornei N, Bulai G, Dobromir M, Doroshkevich A, Yildiz A. Electrical Conduction Mechanism of Mg-Doped ZrO2 Thin Films. Materials. 2024; 17(15):3652. https://doi.org/10.3390/ma17153652
Chicago/Turabian StyleMardare, Diana, Mariana Frenti, Carmen Mita, Nicoleta Cornei, Georgiana Bulai, Marius Dobromir, Alexandr Doroshkevich, and Abdullah Yildiz. 2024. "Electrical Conduction Mechanism of Mg-Doped ZrO2 Thin Films" Materials 17, no. 15: 3652. https://doi.org/10.3390/ma17153652
APA StyleMardare, D., Frenti, M., Mita, C., Cornei, N., Bulai, G., Dobromir, M., Doroshkevich, A., & Yildiz, A. (2024). Electrical Conduction Mechanism of Mg-Doped ZrO2 Thin Films. Materials, 17(15), 3652. https://doi.org/10.3390/ma17153652

