A New Constitutive Model Based on Taylor Series and Partial Derivatives for Predicting High-Temperature Flow Behavior of a Nickel-Based Superalloy
Abstract
1. Introduction
2. Materials and Experiments
2.1. Material
2.2. Experimental Procedures and Results
3. Classical Constitutive Model
3.1. Arrhenius Model
3.2. Hensel–Spittel Constitutive Model
3.3. Evaluation of the Applicability of Traditional Constitutive Models
4. Development of a New Constitutive Model
4.1. Mathematical Principles
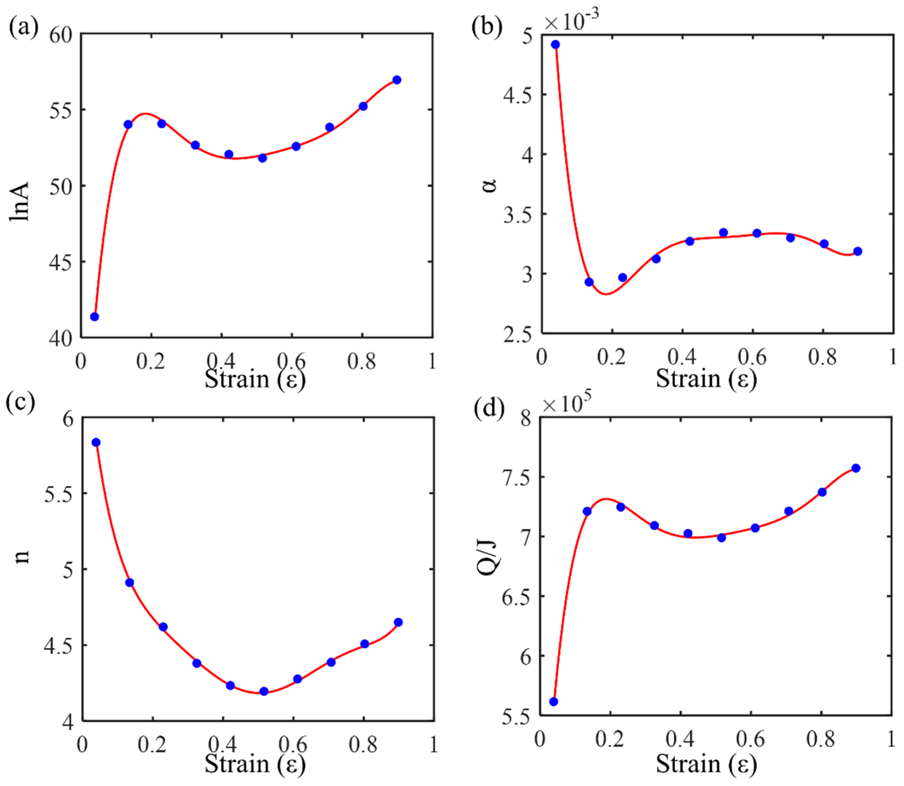
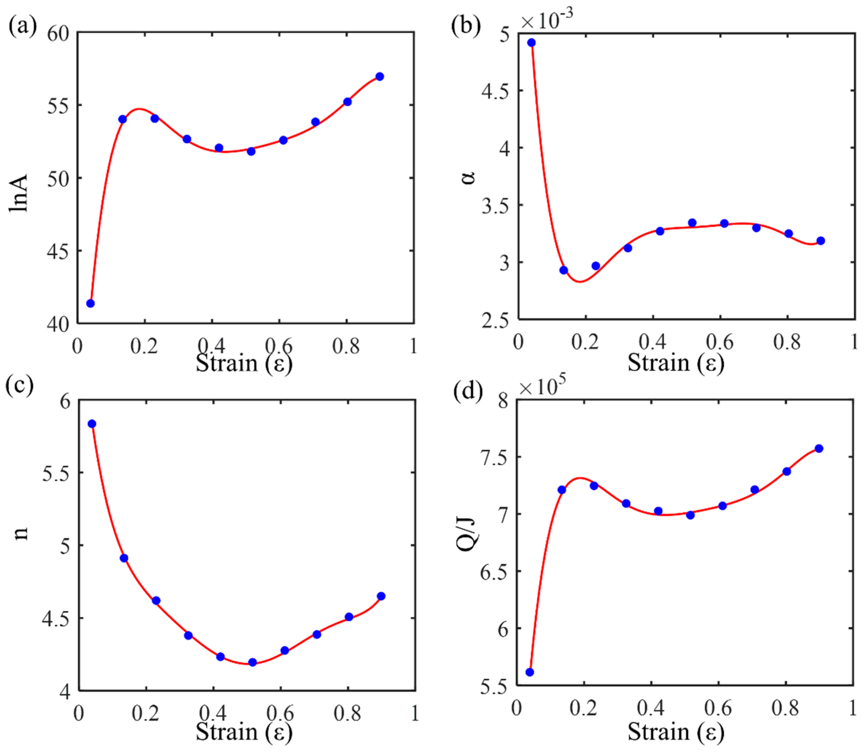
4.2. Establishment of the New Constitutive Model
4.3. Evaluation of Predictive Performance
5. Conclusions
Author Contributions
Funding
Institutional Review Board Statement
Informed Consent Statement
Data Availability Statement
Conflicts of Interest
References
- Pollock, T.M. Alloy design for aircraft engines. Nat. Mater. 2016, 15, 809–815. [Google Scholar] [CrossRef]
- Reed, R.; Rae, C. Physical metallurgy of the nickel-based superalloys. In Physical Metallurgy; Elsevier: Amsterdam, The Netherlands, 2014; pp. 2215–2290. [Google Scholar]
- Kopec, M. Recent Advances in the Deposition of Aluminide Coatings on Nickel-Based Superalloys: A Synthetic Review (2019–2023). Coatings 2024, 14, 630. [Google Scholar] [CrossRef]
- Gao, Y.; Chen, H.; Zhou, J.; Tian, W.; Nie, H.; Wang, W.; Liang, J. Microstructures and wear behaviors of WC particle reinforced nickel-based composites fabricated by selective laser melting. J. Manuf. Process. 2023, 95, 291–301. [Google Scholar] [CrossRef]
- Gudivada, G.; Pandey, A.K. Recent developments in nickel-based superalloys for gas turbine applications. J. Alloys Compd. 2023, 963, 171128. [Google Scholar] [CrossRef]
- Zhao, W.; He, W.; Liang, X.; Huang, Z.; Zhou, Q.; Pang, Z.; Song, J.; Hu, S.; Cui, L.; Luo, S. Enhancing elevated-temperature fretting wear performance of GH4169 by tuning wear mechanism through laser shock peening. Tribol. Int. 2024, 192, 109215. [Google Scholar] [CrossRef]
- Ling, M.; Liang, Y.-L. Quasi-in-situ observation and analysis of grain boundary evolution of GH4169 nickel-based superalloy during the micro-strain stage of thermal deformation. J. Mater. Res. Technol. 2023, 26, 7516–7533. [Google Scholar] [CrossRef]
- Kumar, S.; Sudhakar Rao, G.; Chattopadhyay, K.; Mahobia, G.S.; Santhi Srinivas, N.C.; Singh, V. Effect of surface nanostructure on tensile behavior of superalloy IN718. Mater. Des. 2014, 62, 76–82. [Google Scholar] [CrossRef]
- Geng, P.; Qin, G.; Zhou, J.; Zou, Z. Hot deformation behavior and constitutive model of GH4169 superalloy for linear friction welding process. J. Manuf. Process. 2018, 32, 469–481. [Google Scholar] [CrossRef]
- Jiang, F.; Fei, L.; Jiang, H.; Zhang, Y.; Feng, Z.; Zhao, S. Constitutive model research on the hot deformation behavior of Ti6Al4V alloy under wide temperatures. J. Mater. Res. Technol. 2023, 23, 1062–1074. [Google Scholar] [CrossRef]
- Zhang, J.; Gao, Z.; Zhuang, J.; Zhong, Z. Mathematical modeling of the hot-deformation behavior of superalloy IN718. Metall. Mater. Trans. A 1999, 30, 2701–2712. [Google Scholar] [CrossRef]
- Pan, T.; Song, C.; Gao, Z.; Xia, T.; Wang, T. The Prediction of Flow Stress in the Hot Compression of a Ni-Cr-Mo Steel Using Machine Learning Algorithms. Processes 2024, 12, 441. [Google Scholar] [CrossRef]
- Sun, C.; Qin, Y.; Liu, Y.; Xiao, G.; Zhang, J.; Zhou, J. Research on the Hot Deformation Process of A100 Steel Based on High-Temperature Rheological Behavior and Microstructure. Materials 2024, 17, 991. [Google Scholar] [CrossRef] [PubMed]
- Wang, H.; Wang, C.; Li, M.; Ma, R.; Zhao, J. Constitutive equations for describing the hot compressed behavior of TC4–DT titanium alloy. Materials 2020, 13, 3424. [Google Scholar] [CrossRef] [PubMed]
- Li, T.; Liu, G.; Xu, M.; Wang, B.; Fu, T.; Wang, Z.; Misra, R.D.K. Flow stress prediction and hot deformation mechanisms in Ti-44Al-5Nb-(Mo, V, B) alloy. Materials 2018, 11, 2044. [Google Scholar] [CrossRef] [PubMed]
- Chadha, K.; Shahriari, D.; Jahazi, M. An Approach to Develop Hansel–Spittel Constitutive Equation during Ingot Breakdown Operation of Low Alloy Steels. In Frontiers in Materials Processing, Applications, Research and Technology: Select Proceedings of FiMPART 2015; Springer: Berlin/Heidelberg, Germany, 2018; pp. 239–246. [Google Scholar]
- Wang, Y.; Shao, W.; Zhen, L.; Yang, L.; Zhang, X. Flow behavior and microstructures of superalloy 718 during high temperature deformation. Mater. Sci. Eng. A 2008, 497, 479–486. [Google Scholar] [CrossRef]
- Wang, Y.; Shao, W.; Zhen, L.; Zhang, B. Hot deformation behavior of delta-processed superalloy 718. Mater. Sci. Eng. A 2011, 528, 3218–3227. [Google Scholar] [CrossRef]
- Azarbarmas, M.; Aghaie-Khafri, M.; Cabrera, J.; Calvo, J. Microstructural evolution and constitutive equations of Inconel 718 alloy under quasi-static and quasi-dynamic conditions. Mater. Des. 2016, 94, 28–38. [Google Scholar] [CrossRef]
- Lin, Y.C.; Wen, D.-X.; Deng, J.; Liu, G.; Chen, J. Constitutive models for high-temperature flow behaviors of a Ni-based superalloy. Mater. Des. 2014, 59, 115–123. [Google Scholar] [CrossRef]
- Xiao, J.; Cui, H.; Zhang, H.; Wen, W.; Zhou, J. A physical-based constitutive model considering the motion of dislocation for Ni3Al-base superalloy. Mater. Sci. Eng. A 2020, 772, 138631. [Google Scholar] [CrossRef]
- Zhou, H.; Zhang, H.; Liu, J.; Qin, S.; Lv, Y. Prediction of Flow Stresses for a Typical Nickel-Based Superalloy During Hot Deformation Based on Dynamic Recrystallization Kinetic Equation. Rare Met. Mater. Eng. 2018, 47, 3329–3337. [Google Scholar]
- Haghdadi, N.; Zarei-Hanzaki, A.; Khalesian, A.; Abedi, H. Artificial neural network modeling to predict the hot deformation behavior of an A356 aluminum alloy. Mater. Des. 2013, 49, 386–391. [Google Scholar] [CrossRef]
- Lin, Y.; Li, L.-T.; Jiang, Y.-Q. A phenomenological constitutive model for describing thermo-viscoplastic behavior of Al-Zn-Mg-Cu alloy under hot working condition. Exp. Mech. 2012, 52, 993–1002. [Google Scholar] [CrossRef]
- Zhu, Y.; Zeng, W.; Sun, Y.; Feng, F.; Zhou, Y. Artificial neural network approach to predict the flow stress in the isothermal compression of as-cast TC21 titanium alloy. Comput. Mater. Sci. 2011, 50, 1785–1790. [Google Scholar] [CrossRef]
- Wen, D.-X.; Lin, Y.; Li, H.-B.; Chen, X.-M.; Deng, J.; Li, L.-T. Hot deformation behavior and processing map of a typical Ni-based superalloy. Mater. Sci. Eng. A 2014, 591, 183–192. [Google Scholar] [CrossRef]
- Zheng, D.; Xia, Y.; Teng, H.; Yu, Y. Application of genetic algorithm to enhance the predictive stability of BP-ANN constitutive model for GH4169 superalloy. J. Cent. South Univ. 2024, 31, 693–708. [Google Scholar] [CrossRef]
- Gu, Y.-C.; Wang, L.-S.; Huang, X.; Song, K.; Lu, S.-Q.; Ding, J. Data-driven constitutive model of GH4169 alloy within a synergistic high strain rate and elevated temperature. Arch. Appl. Mech. 2023, 93, 3341–3358. [Google Scholar] [CrossRef]
- Wen, H.; Wang, S.; Jin, J.; Wang, X.; Tang, X.; Zhang, Y.; Deng, L.; Gong, P.; Li, D.; Ning, B.; et al. Deep learning-based modeling of the strain rate-dependent thermomechanical processing response for a novel HIPed P/M nickel-based superalloy. J. Mater. Process. Technol. 2024, 324, 118226. [Google Scholar] [CrossRef]
- Zhang, H.; Zhang, K.; Zhou, H.; Lu, Z.; Zhao, C.; Yang, X. Effect of strain rate on microstructure evolution of a nickel-based superalloy during hot deformation. Mater. Des. 2015, 80, 51–62. [Google Scholar] [CrossRef]
- Mahmoudi, M.; Aboutalebi, M.R.; Salehi, M.T.; Moshaver, H.; Ebrahimi, G.R.; Vafaeenezhad, H. Microstructure evolution, hot deformation behaviour and processing map of Inconel X-750 superalloy in sub-solvus and super-solvus temperature ranges. J. Mater. Res. Technol. 2023, 26, 5594–5616. [Google Scholar] [CrossRef]
- Sellars, C.M.; McTegart, W.J. On the mechanism of hot deformation. Acta Metall. 1966, 14, 1136–1138. [Google Scholar] [CrossRef]
- Lin, Y.; Chen, X.-M. A critical review of experimental results and constitutive descriptions for metals and alloys in hot working. Mater. Des. 2011, 32, 1733–1759. [Google Scholar] [CrossRef]
- He, A.; Xie, G.; Zhang, H.; Wang, X. A comparative study on Johnson–Cook, modified Johnson–Cook and Arrhenius-type constitutive models to predict the high temperature flow stress in 20CrMo alloy steel. Mater. Des. 2013, 52, 677–685. [Google Scholar] [CrossRef]
- El Mehtedi, M.; Musharavati, F.; Spigarelli, S. Modelling of the flow behaviour of wrought aluminium alloys at elevated temperatures by a new constitutive equation. Mater. Des. 2014, 54, 869–873. [Google Scholar] [CrossRef]
- El Mehtedi, M.; Spigarelli, S.; Gabrielli, F.; Donati, L. Comparison study of constitutive models in predicting the hot deformation behavior of AA6060 and AA6063 aluminium alloys. Mater. Today Proc. 2015, 2, 4732–4739. [Google Scholar] [CrossRef]
- Hammami, S.; La Barbera-Sosa, J.G.; Chaari, F.; Sadat, T.; Zouari, B.; Dubar, L.; Elleuch, R. CuZn40Pb2 brass hot deformation behaviour modelling using Hansel Spittel constitutive model. Adv. Mater. Process. Technol. 2024, 1–18. [Google Scholar] [CrossRef]
- Brown, C.; McCarthy, T.; Chadha, K.; Rodrigues, S.; Aranas, C.; Saha, G.C. Constitutive modeling of the hot deformation behavior of CoCrFeMnNi high-entropy alloy. Mater. Sci. Eng. A 2021, 826, 141940. [Google Scholar] [CrossRef]
- Briggs, W.; Cochran, L.; Gillett, B.; Schulz, E. Calculus: Early Transcendentals; Pearson: London, UK, 2011. [Google Scholar]
- Hellwig, G. Partial Differential Equations: An Introduction; Springer: Berlin/Heidelberg, Germany, 2013. [Google Scholar]
















| Ni | Cr | C | Mo | Al | Ti | Nb | Co | Fe |
|---|---|---|---|---|---|---|---|---|
| 53.25 | 17.78 | 0.027 | 2.98 | 0.54 | 1.03 | 5.50 | 0.17 | Bal. |
| Heating Temperature (T/°C) | Strain Rate (/s−1) | Heating Rate (°C/s) | Quenching Medium | Amount of Deformation |
|---|---|---|---|---|
| 850 | 0.01, 0.1, 1, 10 | 10 | water | 60% |
| 900 | ||||
| 950 | ||||
| 1000 | ||||
| 1050 | ||||
| 1100 | ||||
| 1150 | ||||
| 1200 |
| T | Strain Rate | T | Strain Rate | ||||||||
|---|---|---|---|---|---|---|---|---|---|---|---|
| 0.01 | 0.1 | 1 | 10 | 0.01 | 0.1 | 1 | 10 | ||||
| 0.040 | 1123 | 227.82 | 329.12 | 358.83 | 500.52 | 0.136 | 1123 | 579.01 | 721.29 | 833.20 | 946.92 |
| 1173 | 195.35 | 320.85 | 329.12 | 383.59 | 1173 | 375.33 | 567.03 | 643.82 | 734.94 | ||
| 1223 | 167.59 | 250.16 | 252.81 | 287.83 | 1223 | 251.24 | 357.69 | 526.55 | 597.42 | ||
| 1273 | 145.38 | 232.08 | 242.20 | 246.32 | 1273 | 180.57 | 273.36 | 396.24 | 498.63 | ||
| 1323 | 97.14 | 183.29 | 218.21 | 229.60 | 1323 | 119.93 | 212.65 | 330.74 | 425.92 | ||
| 1373 | 80.36 | 152.73 | 180.60 | 200.06 | 1373 | 97.87 | 171.22 | 265.52 | 372.52 | ||
| 1423 | 68.84 | 100.02 | 157.78 | 196.72 | 1423 | 81.78 | 119.78 | 207.83 | 314.70 | ||
| 1473 | 59.35 | 75.99 | 111.36 | 174.05 | 1473 | 67.50 | 83.68 | 101.92 | 211.57 | ||
| 0.231 | 1123 | 594.13 | 720.76 | 895.71 | 1004.20 | 0.327 | 1123 | 582.05 | 717.33 | 890.97 | 999.85 |
| 1173 | 367.11 | 569.53 | 676.67 | 792.45 | 1173 | 357.45 | 550.91 | 685.36 | 788.20 | ||
| 1223 | 257.14 | 367.31 | 538.91 | 654.88 | 1223 | 251.91 | 366.95 | 534.00 | 654.00 | ||
| 1273 | 183.07 | 279.03 | 422.19 | 543.85 | 1273 | 177.69 | 277.96 | 431.63 | 546.05 | ||
| 1323 | 123.22 | 218.27 | 352.52 | 463.81 | 1323 | 115.44 | 212.85 | 361.24 | 457.61 | ||
| 1373 | 95.66 | 175.55 | 285.40 | 368.35 | 1373 | 89.16 | 166.83 | 294.59 | 364.60 | ||
| 1423 | 77.51 | 118.95 | 216.78 | 312.41 | 1423 | 73.99 | 112.19 | 217.89 | 314.34 | ||
| 1473 | 61.84 | 82.59 | 93.27 | 170.82 | 1473 | 58.94 | 78.92 | 93.51 | 158.02 | ||
| 0.422 | 1123 | 572.12 | 707.62 | 869.63 | 985.61 | 0.518 | 1123 | 561.43 | 695.92 | 845.95 | 962.25 |
| 1173 | 351.13 | 540.84 | 673.41 | 770.44 | 1173 | 348.24 | 538.88 | 661.57 | 744.37 | ||
| 1223 | 243.67 | 356.47 | 523.19 | 643.53 | 1223 | 235.68 | 343.40 | 518.86 | 629.54 | ||
| 1273 | 168.89 | 263.34 | 435.84 | 529.56 | 1273 | 160.98 | 250.86 | 431.82 | 510.61 | ||
| 1323 | 107.92 | 206.57 | 361.81 | 436.66 | 1323 | 102.21 | 195.30 | 354.99 | 416.44 | ||
| 1373 | 83.48 | 158.99 | 294.30 | 357.93 | 1373 | 79.20 | 152.30 | 288.13 | 351.29 | ||
| 1423 | 71.20 | 103.57 | 214.56 | 307.88 | 1423 | 69.57 | 96.99 | 209.51 | 302.36 | ||
| 1473 | 56.20 | 74.16 | 90.42 | 149.39 | 1473 | 55.75 | 72.15 | 89.75 | 145.00 | ||
| 0.613 | 1123 | 556.92 | 690.43 | 828.31 | 937.26 | 0.709 | 1123 | 553.40 | 691.31 | 824.04 | 914.55 |
| 1173 | 347.41 | 535.40 | 653.25 | 724.84 | 1173 | 347.55 | 534.05 | 647.91 | 717.05 | ||
| 1223 | 229.25 | 333.24 | 517.59 | 611.25 | 1223 | 225.70 | 332.08 | 517.82 | 594.71 | ||
| 1273 | 155.64 | 243.71 | 421.21 | 480.04 | 1273 | 154.43 | 238.08 | 408.95 | 460.30 | ||
| 1323 | 99.15 | 189.49 | 346.01 | 396.89 | 1323 | 98.12 | 182.26 | 336.02 | 390.01 | ||
| 1373 | 79.07 | 148.59 | 277.92 | 342.63 | 1373 | 79.04 | 145.97 | 266.15 | 331.84 | ||
| 1423 | 69.35 | 93.93 | 203.68 | 295.81 | 1423 | 70.28 | 92.53 | 198.67 | 289.72 | ||
| 1473 | 55.83 | 67.84 | 89.87 | 143.58 | 1473 | 55.66 | 65.27 | 88.54 | 140.72 | ||
| 0.804 | 1123 | 554.37 | 693.29 | 828.06 | 892.76 | 0.900 | 1123 | 553.02 | 694.59 | 833.01 | 872.51 |
| 1173 | 346.81 | 535.06 | 645.02 | 709.41 | 1173 | 345.84 | 538.56 | 643.09 | 700.38 | ||
| 1223 | 220.45 | 338.24 | 515.93 | 583.53 | 1223 | 215.21 | 342.81 | 511.41 | 578.20 | ||
| 1273 | 153.77 | 238.56 | 399.79 | 450.98 | 1273 | 153.13 | 236.39 | 394.46 | 434.66 | ||
| 1323 | 98.48 | 177.45 | 326.81 | 383.13 | 1323 | 100.20 | 175.78 | 320.35 | 377.00 | ||
| 1373 | 80.11 | 146.23 | 255.73 | 324.92 | 1373 | 82.24 | 145.82 | 248.03 | 320.53 | ||
| 1423 | 69.47 | 91.28 | 195.26 | 280.98 | 1423 | 70.77 | 89.87 | 193.09 | 263.27 | ||
| 1473 | 56.46 | 64.85 | 86.52 | 138.22 | 1473 | 56.25 | 64.82 | 83.14 | 131.11 | ||
| A | ||||||||
|---|---|---|---|---|---|---|---|---|
| 7.2 × 10−12 | −0.0085 | 0.1208 | −0.3011 | −0.0235 | −0.0021 | 1.5387 | 0.00029 | 6.1773 |
| Coefficient | Constant | |||||||
|---|---|---|---|---|---|---|---|---|
| 8447.5693 | −31,591.8841 | 48,563.8604 | −39,422.1289 | 17,971.4331 | −4461.1277 | 519.3204 | −14.9232 | |
| −7703.123 | 25,570.9945 | −35,539.5158 | 27,469.5274 | −13,189.5779 | 3967.6566 | −646.6637 | 43.8671 | |
| −11.7467 | 43.9205 | −67.4752 | 54.6848 | −24.8232 | 6.0934 | −0.6870 | 0.0310 | |
| 240.6360 | −703.7447 | 734.6171 | −265.6618 | −67.2296 | 82.7236 | −22.5587 | 2.5885 | |
| 16.6749 | −54.3765 | 74.0737 | −56.2616 | 26.8401 | −8.1358 | 1.3378 | −0.0932 | |
| 0.0042 | −0.0156 | 0.0239 | −0.0193 | 0.0087 | −0.0021 | 0.0002 | −1.21 × 10−5 | |
| 7.4868 | −17.3932 | 8.3725 | 10.4795 | −14.4872 | 6.8895 | −1.3889 | 0.088 | |
| −0.4570 | 1.4129 | −1.6479 | 0.8405 | −0.1024 | −0.0720 | 0.0273 | −0.0037 | |
| −0.0122 | 0.0391 | −0.0520 | 0.0385 | −0.0181 | 0.0055 | −0.0009 | 6.49 × 10−5 | |
| −0.0092 | 0.0253 | −0.0234 | 0.0046 | 0.0059 | −0.0041 | 0.0009 | −6.05 × 10−5 | |
| 3.07 × 10−6 | −9.65 × 10−6 | 1.25 × 10−5 | −9.01 × 10−6 | 4.13 × 10−6 | −1.24 × 10−6 | 2.03 × 10−7 | −1.48 × 10−8 | |
| 0.0002 | −0.0006 | 0.0008 | −0.0005 | 0.0001 | 7.28 × 10−6 | −7.67 × 10−6 | 1.31 × 10−6 |
| Indicator | Arrhenius Model | HS Model | New Model |
|---|---|---|---|
| R | 0.9888 | 0.9827 | 0.9948 |
| RMSE | 44.1020 | 44.0915 | 22.5 |
| SSE | 19,450 | 38,881 | 16,356 |
| SAE (MPa) | 8832 | 10,877 | 5561 |
Disclaimer/Publisher’s Note: The statements, opinions and data contained in all publications are solely those of the individual author(s) and contributor(s) and not of MDPI and/or the editor(s). MDPI and/or the editor(s) disclaim responsibility for any injury to people or property resulting from any ideas, methods, instructions or products referred to in the content. |
© 2024 by the authors. Licensee MDPI, Basel, Switzerland. This article is an open access article distributed under the terms and conditions of the Creative Commons Attribution (CC BY) license (https://creativecommons.org/licenses/by/4.0/).
Share and Cite
Deng, H.; Wang, X.; Yang, J.; Gongye, F.; Li, S.; Peng, S.; Zhang, J.; Xiao, G.; Zhou, J. A New Constitutive Model Based on Taylor Series and Partial Derivatives for Predicting High-Temperature Flow Behavior of a Nickel-Based Superalloy. Materials 2024, 17, 3424. https://doi.org/10.3390/ma17143424
Deng H, Wang X, Yang J, Gongye F, Li S, Peng S, Zhang J, Xiao G, Zhou J. A New Constitutive Model Based on Taylor Series and Partial Derivatives for Predicting High-Temperature Flow Behavior of a Nickel-Based Superalloy. Materials. 2024; 17(14):3424. https://doi.org/10.3390/ma17143424
Chicago/Turabian StyleDeng, Heping, Xiaolong Wang, Jingyun Yang, Fanjiao Gongye, Shishan Li, Shixin Peng, Jiansheng Zhang, Guiqian Xiao, and Jie Zhou. 2024. "A New Constitutive Model Based on Taylor Series and Partial Derivatives for Predicting High-Temperature Flow Behavior of a Nickel-Based Superalloy" Materials 17, no. 14: 3424. https://doi.org/10.3390/ma17143424
APA StyleDeng, H., Wang, X., Yang, J., Gongye, F., Li, S., Peng, S., Zhang, J., Xiao, G., & Zhou, J. (2024). A New Constitutive Model Based on Taylor Series and Partial Derivatives for Predicting High-Temperature Flow Behavior of a Nickel-Based Superalloy. Materials, 17(14), 3424. https://doi.org/10.3390/ma17143424

