An Algorithm for Modeling Thermoplastic Spherulite Growth Using Crystallization Kinetics
Abstract
1. Introduction
2. Materials and Methods
2.1. Spherulite Crystallization Growth Simulation
2.2. Local Crystallinity Distribution
3. Results and Discussion
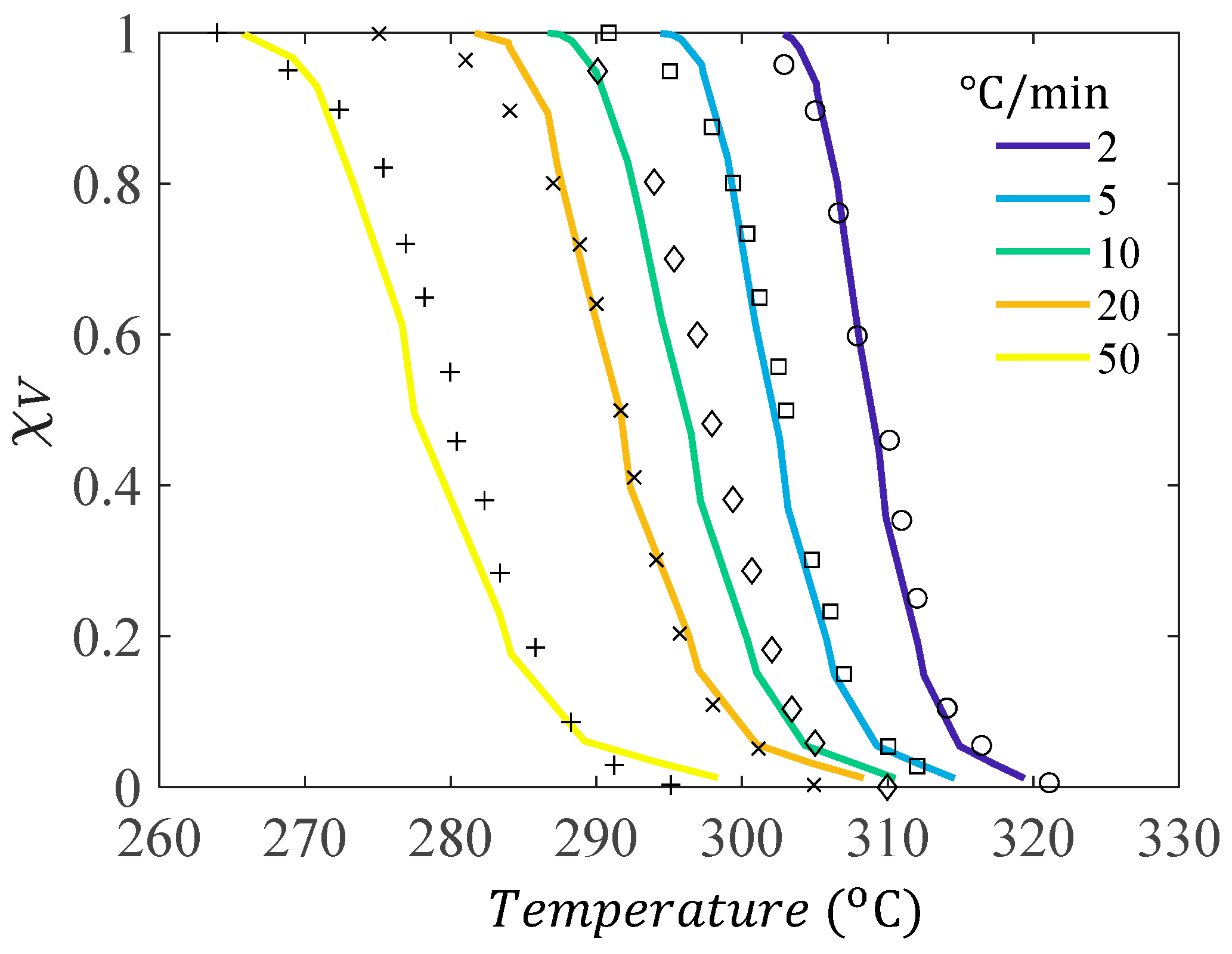
3.1. Parameter Sensitivity and Validation
3.2. Spherulite Morphology Validation
4. Conclusions
Author Contributions
Funding
Institutional Review Board Statement
Informed Consent Statement
Data Availability Statement
Acknowledgments
Conflicts of Interest
References
- Chu, J.-N.; Schultz, J.M. The Influence of Microstructure on the Failure Behaviour of PEEK. J. Mater. Sci. 1990, 25, 3746–3752. [Google Scholar] [CrossRef]
- Marinosci, V.; Chen, K.; Helthuis, N.G.J.; Grouve, W.J.B.; de Vries, E.G.; Bao, N.; Akkerman, R.; de Rooij, M.B.; Chu, L. Direct Observation of the Fracture Behavior of the Polyether Ketone Ketone (PEKK) Spherulites. J. Appl. Polym. Sci. 2024, 141, e54764. [Google Scholar] [CrossRef]
- Barocio, E.; Brenken, B.; Favaloro, A.; Pipes, R.B. Interlayer Fusion Bonding of Semi-Crystalline Polymer Composites in Extrusion Deposition Additive Manufacturing. Compos. Sci. Technol. 2022, 230, 109334. [Google Scholar] [CrossRef]
- Bhudolia, S.K.; Gohel, G.; Leong, K.F.; Islam, A. Advances in Ultrasonic Welding of Thermoplastic Composites: A Review. Materials 2020, 13, 1284. [Google Scholar] [CrossRef] [PubMed]
- Lee, A.; Wynn, M.; Quigley, L.; Salviato, M.; Zobeiry, N. Effect of Temperature History during Additive Manufacturing on Crystalline Morphology of PEEK. Adv. Ind. Manuf. Eng. 2022, 4, 100085. [Google Scholar] [CrossRef]
- Oromiehie, E.; Gain, A.K.; Donough, M.J.; Prusty, B.G. Fracture Toughness Assessment of CF-PEEK Composites Consolidated Using Hot Gas Torch Assisted Automated Fibre Placement. Compos. Struct. 2022, 279, 114762. [Google Scholar] [CrossRef]
- Pourahmadi, E.; Ganesan, R.; Shadmehri, F. Micromechanical Characterization of Carbon/PEEK Thermoplastic Composite Material in-Situ Consolidated by Automated Fiber Placement: Stiffness Prediction. Compos. Sci. Technol. 2024, 246, 110390. [Google Scholar] [CrossRef]
- Yarlagadda, S.; Advani, S.; Deitzel, J.; Heider, D.; Molligan, D.; Roseman, D.; Simacek, P.; Tierney, J.; Gillespie, J., Jr. Formability of TUFF Composite Blanks. In Proceedings of the SAMPE 2019, Charlotte, NC, USA, 20–23 May 2019. [Google Scholar]
- Avrami, M. Kinetics of Phase Change. I General Theory. J. Chem. Phys. 1939, 7, 1103–1112. [Google Scholar] [CrossRef]
- Choe, C.R.; Lee, K.H. Nonisothermal Crystallization Kinetics of Poly(Etheretherketone) (PEEK). Polym. Eng. Sci. 1989, 29, 801–805. [Google Scholar] [CrossRef]
- Malkin, A.Y.; Beghishev, V.P.; Keapin, I.A.; Bolgov, S.A. General Treatment of Polymer Crystallization Kinetics—Part 1. A New Macrokinetic Equation and Its Experimental Verification. Polym. Eng. Sci. 1984, 24, 1396–1401. [Google Scholar] [CrossRef]
- Tobin, M.C. Theory of Phase Transition Kinetics with Growth Site Impingement. I. Homogeneous Nucleation. J. Polym. Sci. Polym. Phys. Ed. 1974, 12, 399–406. [Google Scholar] [CrossRef]
- Kelly, C.A.; Jenkins, M.J. Modeling the Crystallization Kinetics of Polymers Displaying High Levels of Secondary Crystallization. Polym. J. 2022, 54, 249–257. [Google Scholar] [CrossRef]
- Treatise on Solid State Chemistry. Available online: https://www.springer.com/series/10833 (accessed on 7 March 2024).
- Fundamentals of Polymer Science: An Introductory Text [Second Edition] 9780203755211, 0203755219, 9781351446396, 1351446398. Available online: https://dokumen.pub/fundamentals-of-polymer-science-an-introductory-text-second-edition-9780203755211-0203755219-9781351446396-1351446398.html (accessed on 7 March 2024).
- Müller, A.J.; Michell, R.M.; Lorenzo, A.T. Isothermal Crystallization Kinetics of Polymers. In Polymer Morphology; John Wiley & Sons, Ltd.: Hoboken, NJ, USA, 2016; pp. 181–203. ISBN 978-1-118-89275-6. [Google Scholar]
- Bessard, E.; De Almeida, O.; Bernhart, G. Unified Isothermal and Non-Isothermal Modelling of Neat PEEK Crystallization. J. Therm. Anal. Calorim. 2014, 115, 1669–1678. [Google Scholar] [CrossRef]
- Choupin, T.; Fayolle, B.; Régnier, G.; Paris, C.; Cinquin, J.; Brulé, B. Isothermal Crystallization Kinetic Modeling of Poly(Etherketoneketone) (PEKK) Copolymer. Polymer 2017, 111, 73–82. [Google Scholar] [CrossRef]
- Godara, A.; Raabe, D.; Green, S. The Influence of Sterilization Processes on the Micromechanical Properties of Carbon Fiber-Reinforced PEEK Composites for Bone Implant Applications. Acta Biomater. 2007, 3, 209–220. [Google Scholar] [CrossRef]
- Tierney, J.J.; Gillespie, J.W., Jr. Crystallization Kinetics Behavior of PEEK Based Composites Exposed to High Heating and Cooling Rates. Compos. Part A Appl. Sci. Manuf. 2004, 35, 547–558. [Google Scholar] [CrossRef]
- Velisaris, C.N.; Seferis, J.C. Crystallization Kinetics of Polyetheretherketone (Peek) Matrices. Polym. Eng. Sci. 1986, 26, 1574–1581. [Google Scholar] [CrossRef]
- Choupin, T. Mechanical Performances of PEKK Thermoplastic Composites Linked to Their Processing Parameters. Ph.D. Thesis, Ecole Nationale Supérieure D’arts et Métiers, Paris, France, 2017. [Google Scholar]
- Guan, X.; Pitchumani, R. Modeling of Spherulitic Crystallization in Thermoplastic Tow-Placement Process: Spherulitic Microstructure Evolution. Compos. Sci. Technol. 2004, 64, 1363–1374. [Google Scholar] [CrossRef]
- Saber, C. Fonctionnalisation de Composites C/PEKK Pour Application Aérospatiale: Caractérisation, Modélisation et Influence Sur Les Propriétés Du Composite. Doctoral Dissertation, Université Paul Sabatier-Toulouse III, Toulouse, France, 2018. [Google Scholar]
- Pisani, W.A.; Radue, M.S.; Chinkanjanarot, S.; Bednarcyk, B.A.; Pineda, E.J.; Waters, K.; Pandey, R.; King, J.A.; Odegard, G.M. Multiscale Modeling of PEEK Using Reactive Molecular Dynamics Modeling and Micromechanics. Polymer 2019, 163, 96–105. [Google Scholar] [CrossRef]
- Pisani, W.A.; Newman, J.K.; Shukla, M.K. Multiscale Modeling of Polyamide 6 Using Molecular Dynamics and Micromechanics. Ind. Eng. Chem. Res. 2021, 60, 13604–13613. [Google Scholar] [CrossRef]
- Pineda, E.J.; Husseini, J.; Kemppainen, J.; Odegard, G.M.; Bednarcyk, B.A.; Pisani, W.; Stapleton, S.E. Multiscale Modeling of Thermoplastics Using Atomistic-Informed Micromechanics. In Proceedings of the AIAA SCITECH 2023 Forum, National Harbor, MD, USA, 23–27 January 2023; p. 0140. [Google Scholar]
- Chan, C.-M.; Li, L. Direct Observation of the Growth of Lamellae and Spherulites by AFM. In Intrinsic Molecular Mobility and Toughness of Polymers II; Kausch, H.-H., Ed.; Springer: Berlin/Heidelberg, Germany, 2005; pp. 1–41. ISBN 978-3-540-31601-5. [Google Scholar]
- Gránásy, L.; Pusztai, T.; Tegze, G.; Warren, J.A.; Douglas, J.F. Growth and Form of Spherulites. Phys. Rev. E 2005, 72, 011605. [Google Scholar] [CrossRef]
- Doumeng, M.; Makhlouf, L.; Berthet, F.; Marsan, O.; Delbé, K.; Denape, J.; Chabert, F. A Comparative Study of the Crystallinity of Polyetheretherketone by Using Density, DSC, XRD, and Raman Spectroscopy Techniques. Polym. Test. 2021, 93, 106878. [Google Scholar] [CrossRef]
- Blundell, D.J.; Osborn, B.N. The Morphology of Poly(Aryl-Ether-Ether-Ketone). Polymer 1983, 24, 953–958. [Google Scholar] [CrossRef]
- Modeling of Heat Transfer and Crystallization in Thermoplastic Composite Tape Placement Process—Fazil, O. Sonmez, H. Thomas Hahn. 1997. Available online: https://journals.sagepub.com/doi/abs/10.1177/089270579701000301 (accessed on 5 June 2024).
- Li, X.; Zhang, T.; Li, S.; Liu, H.; Zhao, Y.; Wang, K. The Effect of Cooling Rate on Resistance-Welded CF/PEEK Joints. J. Mater. Res. Technol. 2021, 12, 53–62. [Google Scholar] [CrossRef]
- Gao, S.-L.; Kim, J.-K. Cooling Rate Influences in Carbon Fibre/PEEK Composites. Part 1. Crystallinity and Interface Adhesion. Compos. Part A Appl. Sci. Manuf. 2000, 31, 517–530. [Google Scholar] [CrossRef]
- Kashmari, K.; Deshpande, P.; Patil, S.; Maiaru, M.; Odegard, G. A Multiscale Approach to Investigate the Effect of Temperature and Crystallinity on the Development of Residual Stresses in Semicrystalline PEEK. In Proceedings of the American Society for Composites—37th Technical Conference, ASC 2022, Tucson, AZ, USA, 19–21 September 2022. [Google Scholar] [CrossRef]
- Bednarcyk, B.A.; Aboudi, J.; Arnold, S.M. Micromechanics of Composite Materials Governed by Vector Constitutive Laws. Int. J. Solids Struct. 2017, 110–111, 137–151. [Google Scholar] [CrossRef]
- Pineda, E.J.; Bednarcyk, B.A.; Ricks, T.M.; Arnold, S.M.; Henson, G. Efficient multiscale recursive micromechanics of composites for engineering applications. Int. J. Multiscale Comput. Eng. 2021, 19, 77–105. [Google Scholar] [CrossRef]
- Schey, M.J.; Beke, T.; Appel, L.; Zabler, S.; Shah, S.; Hu, J.; Liu, F.; Maiaru, M.; Stapleton, S. Identification and Quantification of 3D Fiber Clusters in Fiber-Reinforced Composite Materials. JOM 2021, 73, 2129–2142. [Google Scholar] [CrossRef]











| Symbol | Value | Units |
|---|---|---|
| Cooldown (°C/min) | Minimum Volume (μm3) | Maximum Volume (μm3) | Average (μm3) | Standard Deviation |
|---|---|---|---|---|
| 20 | 4 | 767 | 221.31 | 212.91 |
| 200 | 1 | 213 | 32.88 | 35.61 |
| 500 | 1 | 106 | 8.60 | 12.81 |
Disclaimer/Publisher’s Note: The statements, opinions and data contained in all publications are solely those of the individual author(s) and contributor(s) and not of MDPI and/or the editor(s). MDPI and/or the editor(s) disclaim responsibility for any injury to people or property resulting from any ideas, methods, instructions or products referred to in the content. |
© 2024 by the authors. Licensee MDPI, Basel, Switzerland. This article is an open access article distributed under the terms and conditions of the Creative Commons Attribution (CC BY) license (https://creativecommons.org/licenses/by/4.0/).
Share and Cite
Husseini, J.F.; Pineda, E.J.; Stapleton, S.E. An Algorithm for Modeling Thermoplastic Spherulite Growth Using Crystallization Kinetics. Materials 2024, 17, 3411. https://doi.org/10.3390/ma17143411
Husseini JF, Pineda EJ, Stapleton SE. An Algorithm for Modeling Thermoplastic Spherulite Growth Using Crystallization Kinetics. Materials. 2024; 17(14):3411. https://doi.org/10.3390/ma17143411
Chicago/Turabian StyleHusseini, Jamal F., Evan J. Pineda, and Scott E. Stapleton. 2024. "An Algorithm for Modeling Thermoplastic Spherulite Growth Using Crystallization Kinetics" Materials 17, no. 14: 3411. https://doi.org/10.3390/ma17143411
APA StyleHusseini, J. F., Pineda, E. J., & Stapleton, S. E. (2024). An Algorithm for Modeling Thermoplastic Spherulite Growth Using Crystallization Kinetics. Materials, 17(14), 3411. https://doi.org/10.3390/ma17143411

