Research and Progress on Organic Semiconductor Power Devices
Abstract
1. Introduction
2. The Structure of Organic Semiconductor Power Devices
2.1. Top-Gate Device Structure
2.2. Bottom-Gate Device Structure
3. Materials for Organic Semiconductor Power Devices
3.1. Polymers
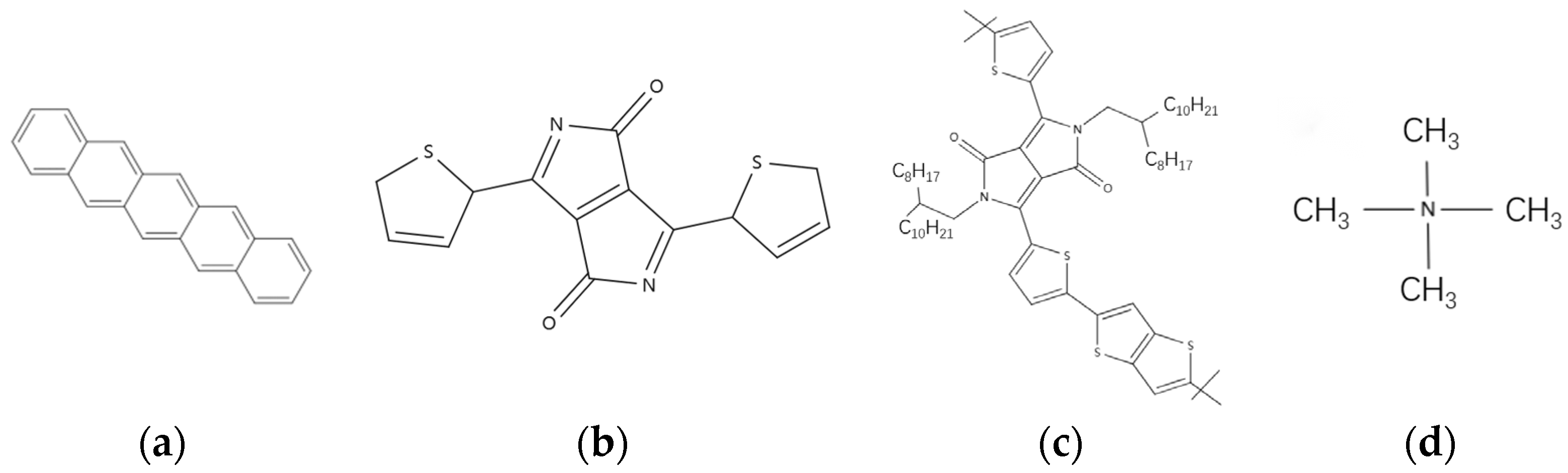
3.2. Organic Small Molecule Compound
3.3. Factors Affecting Organic Materials
4. Preparation Methods of Organic Semiconductor Power Devices
4.1. Preparation by Solution Method
4.2. Thermal Evaporation Method
4.3. Inkjet Printing Method
4.4. Self-Assembly Technology
5. Summary and Outlook
Funding
Data Availability Statement
Conflicts of Interest
References
- Tsumura, A.; Koezuka, H.; Ando, T. Macromolecular electronic device: Field-effect transistor with a polythiophene thin film. Appl. Phys. Lett. 1986, 49, 1210–1212. [Google Scholar] [CrossRef]
- Coropceanu, V.; Cornil, J.; da Silva Filho, D.A.; Olivier, Y.; Silbey, R.; Brédas, J.L. Charge Transport in Organic Semiconductors. Chem. Rev. 2007, 107, 926–952. [Google Scholar] [CrossRef]
- Wang, S.; Xu, J.; Wang, W.; Wang, G.; Rastak, R.; Molina-Lopez, F.; Chung, J.; Niu, S.; Feig, V.; Lopez, J.; et al. Skin Electronics from Scalable Fabrication of an Intrinsically Stretchable Transistor Array. Nature 2018, 555, 83–87. [Google Scholar] [CrossRef]
- Stephen, R. Forrest. The path to ubiquitous and low-cost organic electronic appliances on plastic. Nature 2004, 428, 911–918. [Google Scholar]
- Shih, A.; Schell, E.; Akinwande, A.I. Flexible solution-processed high-voltage organic thin film transistor. J. Mater. Res. 2018, 33, 149–160. [Google Scholar] [CrossRef]
- Xu, Y.; Sun, H.; Li, W.; Lin, Y.; Balestra, F.; Ghibaudo, G.; Noh, Y. Exploring the Charge Transport in conjugated polymers. Adv. Mater. 2017, 29, 1702729. [Google Scholar] [CrossRef] [PubMed]
- Cornil, J.; Verlaak, S.; Martinelli, N.; Mityashin, A.; Olivier, Y.; Regemorter, T.; D’avino, G.; Muccioli, L.; Zannoni, C.; Castet, F.; et al. Exploring the energy landscape of the charge transport levels in organic semiconductors at the molecular scale. Acc. Chem. Res. 2013, 46, 434–443. [Google Scholar] [CrossRef] [PubMed]
- Smits, E.C.P.; Mathijssen, S.G.J.; van Hal, P.A.; Setayesh, S.; Geuns, T.C.T.; Mutsaers, K.A.H.A.; Cantatore, E.; Wondergem, H.J.; Werzer, O.; Resel, R.; et al. Bottom-up organic integrated circuits. Nature 2008, 455, 956–959. [Google Scholar] [CrossRef]
- Huang, W.; Facchetti, A. Organic circuits reach new heights. Nat. Electron. 2021, 4, 544–545. [Google Scholar] [CrossRef]
- Zhang, Q.; Hu, W.; Sirringhaus, H.; Müllen, K. Recent Progress in Emerging Organic Semiconductors. Adv. Mater. 2022, 34, 2108701. [Google Scholar] [CrossRef]
- Park, T.; Kim, M.; Lee, E.K.; Hur, J.; Yoo, H. Overcoming Downscaling Limitations in Organic Semiconductors: Strategies and Progress. Small 2024, 20, 2306468. [Google Scholar] [CrossRef] [PubMed]
- Wang, C.; Zhang, X.; Dong, H.; Chen, X.; Hu, W. Challenges and emerging opportunities in high-mobility and low-energy-consumption organic field-effect transistors. Adv. Energy Mater. 2020, 10, 2000955. [Google Scholar] [CrossRef]
- Zhu, H.H.; Shin, E.S.; Liu, A.; Ji, D.S.; Xu, Y.; Noh, N.Y.Y. Printable semiconductors for backplane TFTs of flexible OLED displays. Adv. Funct. Mater. 2019, 30, 1904588. [Google Scholar] [CrossRef]
- Wang, C.; Dong, H.; Jiang, L.; Hu, W. Organic semiconductor crystals. Chemical Society Reviews. R. Soc. Chem. 2018, 47, 422–500. [Google Scholar] [CrossRef]
- Yao, Y.; Zhang, L.; Leydecker, T.; Samorì, P. Direct photolithography on molecular crystals for high performance organic optoelectronic devices. J. Am. Chem. Soc. 2018, 140, 6984–6990. [Google Scholar] [CrossRef] [PubMed]
- Troisi, A. Charge transport in high mobility molecular semiconductors: Classical models and new theories. Chem. Soc. Rev. R. Soc. Chem. 2011, 40, 2347–2358. [Google Scholar] [CrossRef] [PubMed]
- Kim, C.-H.; Sung, S.; Yoon, M.-H. Synaptic organic transistors with a vacuum-deposited charge-trapping nanosheet. Sci. Rep. 2016, 6, 33355. [Google Scholar] [CrossRef] [PubMed]
- Gao, Y.; Shao, Y.; Yan, L.; Li, H.; Su, Y.; Meng, H.; Wang, X. Efficient Charge Injection in Organic Field-Effect Transistors Enabled by Low-Temperature Atomic Layer Deposition of Ultrathin VOx Interlayer. Adv. Funct. Mater. 2016, 26, 4456–4463. [Google Scholar] [CrossRef]
- Tang, Q.; Tong, Y.; Li, H.; Ji, Z.; Li, L.; Hu, W.; Liu, Y.; Zhu, D. High-Performance Air-Stable Bipolar Field-Effect Transistors of Organic Single-Crystalline Ribbons with an Air-Gap Dielectric. Adv. Mater. 2008, 20, 1511–1515. [Google Scholar] [CrossRef]
- Wu, F.; Liu, Y.; Zhang, J.; Duan, S.; Ji, D.; Yang, H. Recent advances in high-mobility and high-stretchability organic field-effect transistors: From materials, devices to applications. Small Methods 2021, 5, 2100676. [Google Scholar] [CrossRef]
- Ji, D.; Xu, X.; Jiang, L.; Amirjalayer, S.; Jiang, L.; Zhen, Y.; Zou, Y.; Yao, Y.; Dong, H.; Yu, Y. Surface polarity and self-structured nanogrooves collaboratively oriented molecular packing for high crystallinity toward efficient charge transport. J. Am. Chem. Soc. 2017, 139, 2734–2740. [Google Scholar] [CrossRef] [PubMed]
- Huang, F.M.; Li, M.J.; Xu, Y.; Cui, A.Y.; Li, W.W.; Xu, Y.; Chu, J.H.; Noh, Y.Y. Understanding Thickness-Dependent Electrical Characteristics in Conjugated Polymer Transistors With Top-Gate Staggered Structure. IEEE Trans. Electron Devices 2019, 66, 2723–2728. [Google Scholar] [CrossRef]
- Kumar, M.J.; Sithanandam, R. Extended-p+ Stepped Gate LDMOS for Improved Performance. IEEE Trans. Electron Devices 2010, 57, 1719–1724. [Google Scholar] [CrossRef][Green Version]
- Hiroki, M.; Maeda, Y.; Ohmi, S. Top-gate pentacene-based organic field-effect transistor with amorphous rubrene gate insulator. Jpn. J. Appl. Phys. 2018, 57, 02CA08. [Google Scholar] [CrossRef]
- Zhang, J.; Zhou, J.; Wang, Y.; Li, M.; Du, L.; Chen, J.; Zhang, M.; Yao, J.; Zhang, G.; Sun, H. A 2.2kV Organic Semiconductor Based Lateral Power Device. IEEE Electron. Device Lett. 2022, 43, 276–279. [Google Scholar] [CrossRef]
- Shih, A.; Akinwande, A.I. Solution-processed and self-assembled monolayer-treated high-voltage organic thin film transistors for flexible mems integration. MRS Adv. 2018, 3, 1877–1882. [Google Scholar] [CrossRef]
- Smith, M.A.; Gowers, R.P.; Shih, A.; Akinwande, A.I. High-voltage organic thin-film transistors on flexible and curved surfaces. IEEE Trans. Electron Devices 2015, 62, 4213–4219. [Google Scholar] [CrossRef]
- Chen, Y.; Liu, Y.; Hu, Y. Selective Doping of a Single Ambipolar Organic Semiconductor for Device Fabrication. In Proceedings of the 2022 IEEE International Flexible Electronics Technology Conference (IFETC), Qingdao, China, 21–24 August 2022. [Google Scholar] [CrossRef]
- Horowitz, G. Organic field-effect transistors. Adv. Mater. 1998, 10, 365–377. [Google Scholar] [CrossRef]
- Bulumulla, C.; Gunawardhana, R.; Gamage, P.L.; Miller, J.T.; Kularatne, R.N.; Biewer, M.C.; Stefan, M.C. Pyrrole-containing semiconducting materials: Synthesis and applications in organic photovoltaics and organic field-effect transistors. ACS Appl. Mater. Interfaces 2020, 12, 32209–32232. [Google Scholar] [CrossRef]
- Kniepert, J.; Lange, I.; Heidbrink, J.; Kurpiers, J.; Brenner, T.J.K.; Koster, L.J.A.; Neher, D. Effect of solvent additive on generation, recombination, and extraction in PTB7:PCBM solar cells: A conclusive experimental and numerical simulation Study. J. Phys. Chem. C Am. Chem. Soc. 2015, 119, 8310–8320. [Google Scholar] [CrossRef]
- Kanjilal, A.; Betti, M.G.; Mariani, C. Defect-induced states in the electronic structure of a Cu(100)-benzenethiolate-pentacene heterostructure. J. Appl. Phys. 2008, 104, 063720. [Google Scholar] [CrossRef]
- Makita, T.; Yamamura, A.; Tsurumi, J.; Kumagai, S.; Kurosawa, T.; Okamoto, T.; Sasaki, M.; Watanabe, S.; Takeya, J. Damage-free metal electrode transfer to monolayer organic single crystalline thin films. Sci. Rep. 2020, 10, 4702. [Google Scholar] [CrossRef] [PubMed]
- Wang, J.T.; Takshima, S.; Wu, H.C.; Shih, C.; Isono, T.; Kakuchi, T.; Satoh, T.; Chen, W. Stretchable conjugated rod–coil poly(3-hexylthiophene)-block-poly(butyl acrylate) thin films for field effect transistor applications. Macromolecules 2017, 50, 1442–1452. [Google Scholar] [CrossRef]
- Zheng, Y.; Wang, G.-J.N.; Kang, J.; Nikolka, M.; Wu, H.; Tran, H.; Zhang, S.; Yan, H.; Chen, H.; Yuen, P.Y. An intrinsically stretchable high-performance polymer semiconductor with low crystallinity. Adv. Funct. Mater. 2019, 29, 1905340. [Google Scholar] [CrossRef]
- Mittal, P.; Yadav, S.; Negi, S. Advancements for organic thin film transistors: Structures, materials, performance parameters, influencing factors, models, fabrication, reliability and applications. Mater. Sci. Semicond. Process. 2021, 133, 105975. [Google Scholar] [CrossRef]
- Guo, X.; Han, L.; Hou, X. Insights into the device structure, processing and material design for an organic thin-film transistor towards functional circuit integration. Mater. Chem. Front. 2021, 5, 6760–6778. [Google Scholar] [CrossRef]
- Ren, X.; Yang, F.; Gao, X.; Cheng, S.; Zhang, X.; Dong, H.; Hu, W. Organic field-effect transistor for energy-related applications: Low-power-consumption devices, near-infrared phototransistors, and organic thermoelectric devices. Adv. Energy Mater. 2018, 8, 1801003. [Google Scholar] [CrossRef]
- Bansal, S.; Jain, P. Simulation of Organic Thin-Film Transistor (OTFT) having High Carrier Mobility. In Proceedings of the 2nd International Conference on Advance Computing and Innovative Technologies in Engineering (ICACITE), Greater Noida, India, 28–29 April 2022. [Google Scholar]
- Lewis, J. Material challenge for flexible organic devices. Mater. Today 2006, 9, 38–45. [Google Scholar] [CrossRef]
- Qiu, D.; Adil, M.A.; Lu, K.; Wei, Z. The crystallinity control of polymer donor materials for high-performance organic solar cells. Front. Chem. 2020, 8, 603134. [Google Scholar] [CrossRef]
- Katsuhara, M.; Aoyagi, I.; Nakajima, H.; Mori, T.; Kambayashi, T.; Ofuji, M.; Takanishi, Y.; Ishikawa, K.; Takezoe, H.; Hosono, H. Organic field-effect transistors based on new TTF-based liquid crystalline materials. Synth. Met. 2005, 149, 219–223. [Google Scholar] [CrossRef]
- Yang, J.; Zhao, Z.; Wang, S.; Guo, Y.; Liu, Y. Insight into high-performance conjugated polymers for organic field-effect transistors. Chem 2018, 4, 2748–2785. [Google Scholar] [CrossRef]
- Havinga, E.; Hoeve, W.T.; Wynberg, H. A new class of small band gap organic polymer conductors. Polym. Bull. 1992, 29, 119–126. [Google Scholar] [CrossRef]
- Zhang, X.; Bronstein, H.; Kronemeijer, A.J.; Smith, J.; Kim, Y.; Kline, R.J.; Richter, L.J.; Anthopoulos, T.D.; Sirringhaus, H.; Song, K.; et al. Molecular origin of high field-effect mobility in an indacenodithiophene-benzothiadiazole copolymer. Nat. Commun. 2013, 4, 2238. [Google Scholar] [CrossRef]
- Noriega, R.; Rivnay, J.; Vandewal, K.; Koch, F.P.V.; Stingelin, N.; Smith, P.; Toney, M.F.; Salleo, A. A general relationship between disorder, aggregation and charge transport in conjugated polymers. Nat. Mater. 2013, 12, 1038–1044. [Google Scholar] [CrossRef] [PubMed]
- Anders, K.; Jusza, A.; Bieniek, A.; Mergo, P.; Łyszczek, R.; Piramidowicz, R. Erbium doped nanocrystalline and PMMA-based composite materials. In Proceedings of the Conference on Lasers and Electro-Optics Europe & European Quantum Electronics Conference, Munich, Germany, 26–30 June 2023. [Google Scholar] [CrossRef]
- Verma, A.; Mishra, V.N.; Prakash, R. A Self-Aligned, Solution-Processed Low-Voltage Operated Organic Thin-Film Transistor for Ammonia Gas Sensing at Room Temperature. IEEE Sens. J. 2023, 23, 5561–5568. [Google Scholar] [CrossRef]
- Chen, Q.; Zhu, R.; Zhao, X.; Hao, B.; Li, B.; Yu, Z.; Sun, H.; Wu, J.; Tan, C.L.; Xu, Y. Enhanced environmental stability of n-type polymer transistors with nickel contacts. Appl. Phys. Lett. 2022, 121. [Google Scholar] [CrossRef]
- Kanimozhi, C.; Yaacobi-Gross, N.; Chou, K.W.; Amassian, A.; Anthopoulos, T.D.; Patil, S. Diketopyrrolopyrrole–diketopyrrolopyrrole-based conjugated copolymer for high-Mobility organic field-effect transistors. J. Am. Chem. Soc. Am. Chem. Soc. 2012, 134, 16532–16535. [Google Scholar] [CrossRef] [PubMed]
- Park, J.H.; Jung, E.H.; Jung, J.W.; Jo, W.H. A fluorinated phenylene unit as a building block for high-performance n-type semiconducting polymer. Adv. Mater. 2013, 25, 2583–2588. [Google Scholar] [CrossRef] [PubMed]
- Luo, H.; Yu, C.; Liu, Z.; Zhang, G.; Geng, H.; Yi, Y.; Broch, K.; Hu, Y.; Sadhanala, A.; Jiang, L.; et al. Remarkable enhancement of charge carrier mobility of conjugated polymer field-effect transistors upon incorporating an ionic additive. Sci. Adv. 2016, 2, e1600076. [Google Scholar] [CrossRef]
- Song, X.; Gasparini, N.; Nahid, M.M.; Chen, H.; Macphee, S.M.; Zhang, W.; Norman, V.; Zhu, C.; Bryant, D.; Ade, H.; et al. A Highly Crystalline Fused-Ring n-Type Small Molecule for Non-Fullerene Acceptor Based Organic Solar Cells and Field-Effect Transistors. Adv. Funct. Mater. 2018, 28, 1802895. [Google Scholar] [CrossRef]
- Chen, J.; Zhang, W.; Wang, L.; Yu, G. Recent research progress of organic small-molecule semiconductors with high electron mobilities. Adv. Mater. 2022, 35, 2210772. [Google Scholar] [CrossRef] [PubMed]
- Kolesov, V.A.; Fuentes-Hernandez, C.; Chou, W.-F. Solution-based electrical doping of semiconducting polymer films over a limited depth. Nat. Mater. 2017, 16, 474–480. [Google Scholar] [CrossRef]
- Feng, L.; Jiang, C.; Ma, H.; Guo, X.; Nathan, A. All ink-jet printed low-voltage organic field-effect transistors on flexible substrate. Org. Electron. 2016, 38, 186–192. [Google Scholar] [CrossRef]
- Chen, X.-K.; Guo, J.-F.; Zou, L.-Y.; Ren, A.-M.; Fan, J.-X. A promising approach to obtain excellent n -Type organic field-effect transistors: Introducing pyrazine ring. J. Phys. Chem. C 2011, 115, 21416–21428. [Google Scholar] [CrossRef]
- Liang, Z.; Tang, Q.; Xu, J.; Miao, Q. Soluble and stable n-heteropentacenes with high field-effect mobility. Adv. Mater. 2011, 23, 1535–1539. [Google Scholar] [CrossRef]
- Chu, M.; Fan, J.X.; Yang, S.; Liu, D.; Ng, C.F.; Dong, H.; Ren, A.-M.; Miao, Q. Halogenated tetraazapentacenes with electron mobility as high as 27.8 cm2V−1s−1 in solution-processed n-channel organic thin-film transistors. Adv. Mater. 2018, 30, 1803467.1–1803467.7. [Google Scholar] [CrossRef]
- Krupskaya, Y.; Gibertini, M.; Marzari, N.; Morpurgo, A.F. Band-like electron transport with record-high mobility in the TCNQ family. arXiv 2015, arXiv:1507.03424. [Google Scholar] [CrossRef]
- Shukla, D.; Nelson, S.F.; Freeman, D.C.; Rajeswaran, M.; Ahearn, W.G.; Meyer, D.M.; Carey, J.T. Thin-film morphology control in naphthalene-diimide-based semiconductors: High mobility n-type semiconductor for organic thin-film transistors. Chem. Mater. 2008, 20, 7486–7491. [Google Scholar] [CrossRef]
- Firdaus, Y.; Nursam, N.M.; Muliani, L.; Shobih. Efficient Organic Photovoltaics Enabled by Aqueous Ammonia-Based Doped Copper Thiocyanate Hole Transport Layer. In Proceedings of the International Conference on Radar, Antenna, Microwave, Electronics, and Telecommunications, Bandung, Indonesia, 23–24 November 2021. [Google Scholar] [CrossRef]
- Pareek, S.; Waheed, S.; Karak, S. Graphitic Carbon Nitride Nanostructures as Molecular Modifier for PEDOT:PSS Hole Transport Layer in Polymer Solar Cells. IEEE J. Photovolt. 2022, 12, 1453–1462. [Google Scholar] [CrossRef]
- Zhou, P.; Lan, W.; Gu, J.; Zhao, M.; Wang, Z.; Liao, Y.; Liu, Y.; Pu, H.; Ding, J.; Wei, B. High-Efficiency Organic Photovoltaic Cells With an Antimony Quantum Sheet Modified Hole Extraction Layer. IEEE J. Photovolt. 2021, 11, 111–117. [Google Scholar] [CrossRef]
- Luo, J.; Feng, Z.; Liu, X.; Li, Z. Improved Photovoltaic Characteristics of Inverted Polymer Solar Cells With Indium-Doped ZnO at Low-Temperature Annealing as Electron-Transport Layer. IEEE J. Photovolt. 2021, 11, 374–378. [Google Scholar] [CrossRef]
- Sasaki, T.; Oizumi, H.; Yoneyama, N.; Kobayashi, N.; Toyota, N. X-ray Irradiation-Induced Carrier Doping Effects in Organic Dimer–Mott Insulators. J. Phys. Soc. Jpn. 2007, 76, 123701. [Google Scholar] [CrossRef]
- Arumugam, K.; Chen, H.-M.; Dai, J.-H.; Gao, M.-F.; Goyal, A.; Lin, M.-K.; Nakayama, Y.; Pi, T.-W.; Metz, S.; Papadopoulos, T.A.; et al. Using irradiation effect to study the disparate anchoring stabilities of polar-organic molecules adsorbed on bulk and thin-film metal surfaces. Appl. Surf. Sci. 2019, 493, 1090–1097. [Google Scholar] [CrossRef]
- Banerjee, S.; Jurek, Z.; Abdullah, M.M.; Santra, R. Chemical effects on the dynamics of organic molecules irradiated with high intensity x rays. Struct. Dyn. 2022, 9, 054101. [Google Scholar] [CrossRef]
- Karbovnyk, I.; Kukhta, I.N.; Lugovskii, A.; Taoubi, M.; Turko, B.; Sadovyi, B.; Sarzynski, M.; Luchechko, A.; Klym, H.; Kukhta, A.V. Effect of non-resonant polarized laser irradiation on the formation of nanostructured organic thin films. Appl. Nanosci. 2019, 9, 809–814. [Google Scholar] [CrossRef]
- Yang, H.; Shin, T.J.; Yang, L.; Cho, K.; Ryu, C.Y.; Bao, Z. Effect of mesoscale crystalline structure on the field-effect mobility of regioregular poly(3-hexyl thiophene) in thin-film transistors. Adv. Funct. Mater. 2005, 15, 671–676. [Google Scholar] [CrossRef]
- Yuan, Y.; Giri, G.; Ayzner, A.; Zoombelt, A.P.; Mannsfeld, S.C.B.; Chen, J.; Nordlund, D.; Toney, M.F.; Huang, J.; Bao, Z. Ultra-high mobility transparent organic thin film transistors grown by an off-centre spin-coating method. Nat. Commun. 2014, 5, 3005. [Google Scholar] [CrossRef]
- Podzorov, V.; Pudalov, V.M.; Gershenson, M.E. Field-effect transistors on rubrene single crystals with parylene gate insulator. Appl. Phys. Lett. Am. Inst. Phys. 2003, 82, 1739–1741. [Google Scholar] [CrossRef]
- Dürr, A.C.; Schreiber, F.; Kelsch, M.; Carstanjen, H.D.; Dosch, H. Morphology and thermal stability of metal contacts on crystalline organic thin films. Adv. Mater. 2002, 14, 961–963. [Google Scholar] [CrossRef]
- Polino, G.; Abbel, R.; Shanmugam, S.; Bex, G.J.P.; Hendriks, R.; Brunetti, F.; Carlo, A.D.; Andriessen, R.; Galagan, Y. A benchmark study of commercially available copper nanoparticle inks for application in organic electronic devices. Org. Electron. 2016, 34, 130–138. [Google Scholar] [CrossRef]
- Xu, Y.; Liu, C.; Khim, D.; Noh, Y.-Y. Development of high-performance printed organic field-effect transistors and integrated circuits. Phys. Chem. Chem. Phys. 2015, 17, 26553–26574. [Google Scholar] [CrossRef] [PubMed]
- Wang, X.; Xu, J.-B.; Wang, C.; Du, J.; Xie, W. High-performance graphene devices on sio2/si substrate modified by highly ordered self-assembled monolayers. Adv. Mater. 2011, 23, 2464–2468. [Google Scholar] [CrossRef] [PubMed]
- Abulikemu, M.; Da’as, E.H.; Haverinen, H.; Cha, D.; Malik, M.A.; Jabbour, G.E. Inside back cover: In situ synthesis of self-assembled gold nanoparticles on glass or silicon substrates through reactive inkjet printing. Angew. Chem.—Int. Ed. 2014, 53, 420–423. [Google Scholar] [CrossRef]
- Eshkalak, S.K.; Chinnappan, A.; Jayathilaka WA, D.M.; Khatibzadeh, M.; Kowsari, E.; Ramakrishna, S. A review on inkjet printing of CNT composites for smart. Applications. Appl. Mater. Today 2017, 9, 372–386. [Google Scholar] [CrossRef]










| Inorganic Semiconductor Power Devices | Organic Semiconductor Power Devices | Advantages | |
|---|---|---|---|
| Material Structure | Usually single-crystal or polycrystalline structure of inorganic crystal materials | Composed of organic molecules, molecular-level structure can be freely designed and controlled | Organic semiconductor material structure can be precisely controlled through chemical design, facilitating performance tuning and application customization |
| Preparation Process | Usually requires complex processes under high-temperature and high-vacuum conditions | Can be prepared using simple and low-cost methods such as solution processing | Organic semiconductor material preparation processes are simple, cost-effective, suitable for large-scale production and flexible device requirements |
| Optoelectronic Properties | Have high charge carrier mobility and conductivity | Exhibit broad emission characteristics and low charge carrier mobility | Organic semiconductor materials have unique advantages in flexible displays [13], lighting, etc.; inorganic semiconductor materials perform better in high power, high frequency electronic devices |
| Sustainability and Environmental Friendliness | Many are rare metals or high-energy materials with significant ecological impacts | Natural organic molecular composition, easy to degrade and recycle | Organic semiconductor materials have better environmental friendliness, meeting sustainable development requirements |
| Application Fields | Mainly used in high-power electronic devices, communications, etc. | Mainly used in flexible electronic devices, new optoelectronic devices, biomedical devices, etc. [14,15,16,17]. | Organic semiconductor materials are suitable for flexible electronics and biomedical fields, while inorganic semiconductors materials have advantages in high power, high frequency, etc. |
| TGTC [23,24] | TGBC [25,28] | BGTC [26] | BGBC [27] | |
|---|---|---|---|---|
| Structure Diagram | ![]() | ![]() | ![]() | ![]() |
| Gate and Organic Semiconductor Layer Position | Top Gate | Top Gate | Bottom Gate | Bottom Gate |
| Contact Position between Organic Semiconductor Layer and Source-Drain Electrodes | Top Contact | Bottom Contact | Top Contact | Bottom Contact |
| Process Complexity | High | High | Low [29] | Low |
| Packaging Requirement | No additional packaging layer required | No additional packaging layer required | Additional packaging required | Additional packaging required [30] |
| Suitability for Flexible or Transparent Devices | Suitable | Suitable | Not suitable for silicon-based substrates | Not suitable for silicon-based substrates |
| Substrate Deposition | Inconvenient for patterning | Inconvenient for patterning | Convenient for patterning | Convenient for patterning |
| Contact with Semiconductor Layer | Excellent | Excellent | Average | Average |
| Contact Resistance | No additional contact resistance | No additional contact resistance | Additional contact resistance incurred | Additional contact resistance incurred |
| Molecular Arrangement at Electrode-Channel Boundary | Molecular arrangement more advantageous [7,31] | Additional contact resistance, suppressing charge carrier mobility [32] | Relatively parallel | Additional contact resistance, suppressing charge carrier mobility |
| Photolithography Process | Immature | Immature | Mature | Mature |
| Advantages | Simple process, no additional packaging layer | No additional packaging layer, better contact | Simple process, gate dielectric layer acts as packaging | Simple process, source-drain electrodes can be patterned easily |
| Disadvantages | Complex process, packaging required | Complex process, additional contact resistance [33] | Additional packaging layer required, complex process [34,35] | Additional contact resistance, not suitable for flexible devices |
| OFET [23,24,25] | OTFT [26,27,39] | |
|---|---|---|
| mobility | lower | higher |
| PS: Organic thin-film materials are used, which have lower crystallinity and orderliness. | PS: Organic single-crystal materials or highly ordered organic thin-film structures are used. | |
| Electrode structure | Susceptible to contamination by metal impurities. | Insusceptible to contamination by metal impurities. |
| PS: The organic semiconductor layer is directly in contact with the metal source and drain electrodes. | PS: The organic semiconductor layer is positioned on top of an organic insulating layer between the two metal electrodes, | |
| Source-drain current | Higher source-drain current and power consumption | Lower source-drain current and power consumption |
| PS: Direct contact between metal and organic semiconductor | PS: The organic insulating layer serves as an isolation layer between the organic semiconductor layer and the metal electrodes. | |
| Fabrication process | Relatively simple and low cost | Relatively complex and high cost |
| PS: The fabrication processcan be achieved on large-area substrates using simple methods such as solution casting. | PS: High-quality organic single crystals or highly ordered organic thin-film structures, resulting in complex fabrication processes, high fabrication costs and technical challenges. | |
| Application field | Suitable for low-cost, large-area applications | Suitable for high-performance, low-power microelectronic devices. |
| PS: Such as logic circuits, RF tags, and other fields. | PS: Such as flexible displays, sensors, and other fields. |
| Polymer | Organic Small Molecule Compounds | |
|---|---|---|
| Conductivity | High | High |
| Molecular Structure | Irregular and unordered, long-chain or branched structure | Regular and ordered, containing specific functional groups |
| Molecular Size | Large molecular weight | Small molecular weight |
| Physical Properties | Usually flexible and malleable | Usually have good crystallinity and solubility |
| Synthesis Method | Usually prepared through polymerization reactions | Usually prepared through organic synthesis chemical methods |
| High-Temperature Resistance | Normal | Normal |
| Research Focus | Improving main chain conjugation and coplanarity | Functional group substitution and chemical synthesis |
| Application Occasions | Flexible electronic devices, new optoelectronic devices, biomedical devices, etc. | Flexible electronic devices, new optoelectronic devices, biomedical devices, etc. |
| Preparation Method | Process Difficulty | Cost | Quality | Processing Time | Charge Transport Performance | Applicability | Factors Affecting |
|---|---|---|---|---|---|---|---|
| Solution Method | Low | Low | Moderate | Short | Poor | Large area, flexible | Spin-coating rate, concentration, annealing temperature |
| Vacuum Evaporation method | Medium | High | Excellent | Long | Excellent | High performance devices | Temperature, vacuum level, evaporation rate |
| Inkjet Printing method | Low | Low | Moderate | Short | Poor | Large area, low cost, flexible | Ink quality [77,78] |
| Self-assembly technique | High | Low | Excellent | Moderate | Excellent | Organic electronic devices | Surface treatment, solution concentration, temperature |
Disclaimer/Publisher’s Note: The statements, opinions and data contained in all publications are solely those of the individual author(s) and contributor(s) and not of MDPI and/or the editor(s). MDPI and/or the editor(s) disclaim responsibility for any injury to people or property resulting from any ideas, methods, instructions or products referred to in the content. |
© 2024 by the authors. Licensee MDPI, Basel, Switzerland. This article is an open access article distributed under the terms and conditions of the Creative Commons Attribution (CC BY) license (https://creativecommons.org/licenses/by/4.0/).
Share and Cite
Li, F.; Zhou, J.; Zhang, J.; Zhao, J. Research and Progress on Organic Semiconductor Power Devices. Materials 2024, 17, 3362. https://doi.org/10.3390/ma17133362
Li F, Zhou J, Zhang J, Zhao J. Research and Progress on Organic Semiconductor Power Devices. Materials. 2024; 17(13):3362. https://doi.org/10.3390/ma17133362
Chicago/Turabian StyleLi, Fangyi, Jiayi Zhou, Jun Zhang, and Jiang Zhao. 2024. "Research and Progress on Organic Semiconductor Power Devices" Materials 17, no. 13: 3362. https://doi.org/10.3390/ma17133362
APA StyleLi, F., Zhou, J., Zhang, J., & Zhao, J. (2024). Research and Progress on Organic Semiconductor Power Devices. Materials, 17(13), 3362. https://doi.org/10.3390/ma17133362





