Enhancing Pavement Durability: Comparative Rheological Evaluation of Conventional and Rejuvenated Reclaimed Binders under Aging Conditions
Abstract
1. Introduction
2. Materials and Methods
2.1. Materials
2.2. Sample Preparation
2.2.1. Preparation of the Reclaimed Binder
2.2.2. Preparation of the Rejuvenated Binder
2.2.3. Preparation of the Short- and Long-Term Aged Binders
2.3. Test Methods
2.3.1. Physical Properties of Bitumen Samples by Conventional Tests
- An absolute error of less than 2 for penetration values below 50 × 0.1 mm or a percentage error of less than 4% for values above this penetration threshold.
- An absolute error of less than 1 for the softening point test.
- A percentage error of less than 3.5% for the dynamic viscosity test.
2.3.2. Complex Modulus and Phase Angle Master Curves under Small Strain Amplitude Rheological Tests
2.3.3. Crossover Temperatures under Small Strain Amplitude Rheological Tests
2.3.4. Aging Ratio Assessment under Small Strain Amplitude Rheological Tests
2.3.5. Rutting and Fatigue Performance Parameters of Bitumen Samples
2.3.6. Large Amplitude Rheological Properties at High Temperatures
3. Results and Discussion
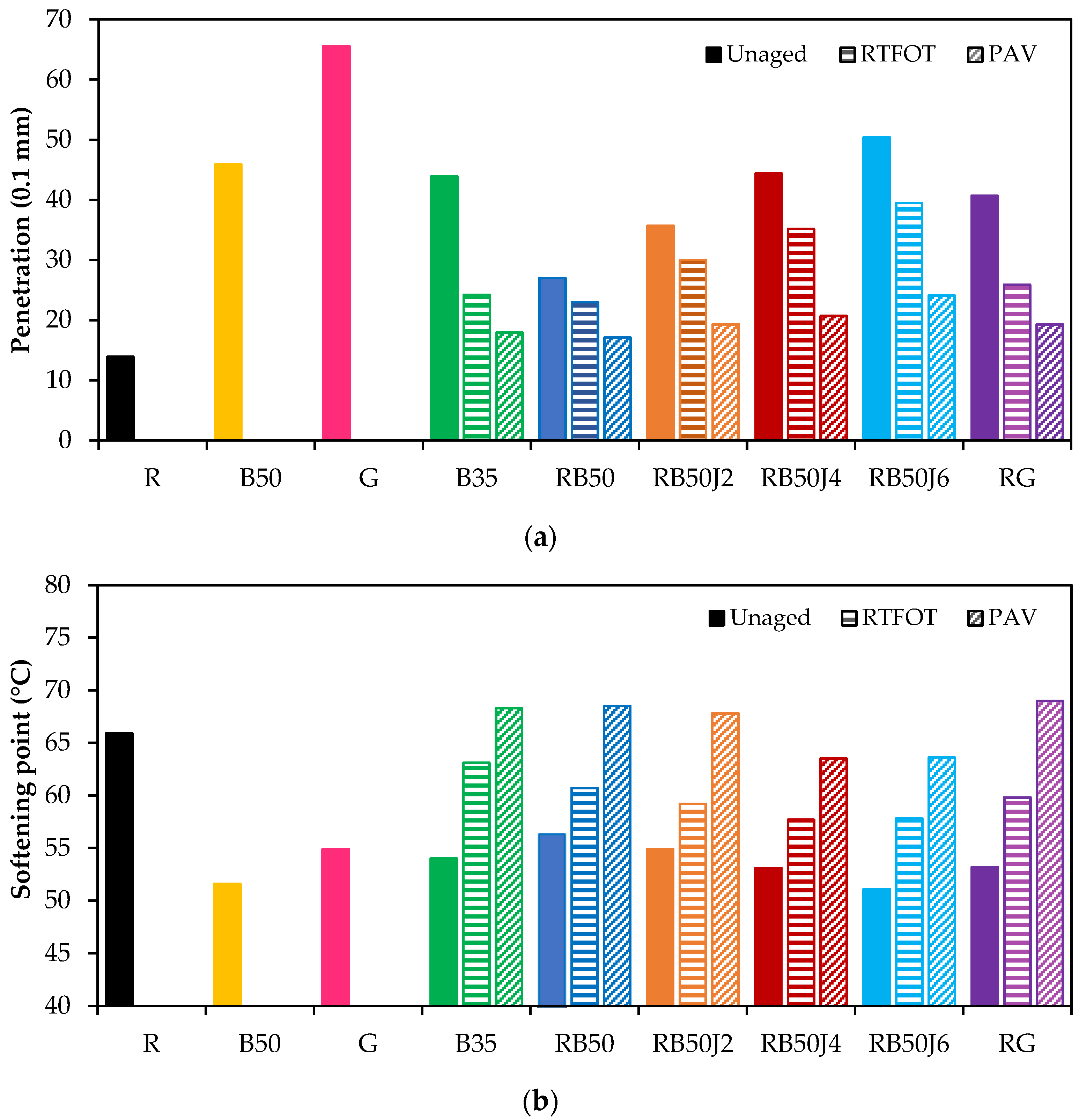
3.1. Physical Properties of Bitumen Samples by Conventional Tests
3.2. Small Strain Amplitude Rheological Properties of Unaged Bitumen Samples
3.2.1. Complex Modulus and Phase Angle Master Curves
3.2.2. Crossover Temperatures
3.3. Small Strain Amplitude Rheological Properties of Aged Bitumen Samples
3.3.1. Complex Modulus and Phase Angle Master Curves
3.3.2. Crossover Temperatures
3.4. Aging Ratio Assessment under Small Strain Amplitude Rheological Tests
3.5. Rutting and Fatigue Performance Parameters of Bitumen Samples
3.6. Large Amplitude Rheological Properties at High Temperatures
4. Conclusions
- The RB50J4 sample, containing 0.4% rejuvenator, exhibited similar penetration grade, softening point, and viscosity to pure 35/50 bitumen, with reduced susceptibility to aging.
- A 30:70 blend of reclaimed binder to pure 50/70 bitumen without a rejuvenating agent failed to match the rheological properties of pure 35/50 bitumen.
- The type and amount of rejuvenator significantly influenced the rheological parameters. The RB50J4 sample showed a stiffness reduction of between 20% and 55% compared to the sample without a rejuvenator. Higher percentages of rejuvenators decreased the complex modulus and increased the phase angle, yielding softer bitumen.
- The rejuvenators effectively reduced the crossover temperature, with RB50J4 showing the lowest crossover temperature and enhanced aging resistance.
- The RB50J4 sample exhibited decreased rutting resistance compared to pure 35/50 bitumen. However, using 0.2% to 0.4% rejuvenator can achieve suitable rutting performance levels while maintaining flexibility.
- Properly controlling the rejuvenator quantity in recycled mixtures is essential for balancing stiffness, aging resistance, and rutting performance.
Author Contributions
Funding
Institutional Review Board Statement
Informed Consent Statement
Data Availability Statement
Acknowledgments
Conflicts of Interest
References
- Zhang, J.; Sun, C.; Li, P.; Jiang, H.; Liang, M.; Yao, Z.; Zhang, X.; Airey, G. Effect of different viscous rejuvenators on chemical and mechanical behavior of aged and recovered bitumen from RAP. Constr. Build. Mater. 2020, 239, 117755. [Google Scholar] [CrossRef]
- Alimohammadi, H.; Zheng, J.; Buss, A.; Schaefer, V.R.; Williams, C.; Zheng, G. Field and simulated rutting behavior of hot mix and warm mix asphalt overlays. Constr. Build. Mater. 2020, 265, 120366. [Google Scholar] [CrossRef]
- Naskar, M.; Reddy, K.S.; Chaki, T.K.; Divya, M.K.; Deshpande, A.P. Effect of ageing on different modified bituminous binders: Comparison between RTFOT and radiation ageing. Mater. Struct. 2013, 46, 1227–1241. [Google Scholar] [CrossRef]
- European Asphalt Pavement Association. Asphalt the 100% Recyclable Construction Product; European Asphalt Pavement Association: Brussels, Belgium, 2014; 21p. [Google Scholar]
- Williams, B.A.; Willis, J.R.; Ross, T.C. Asphalt Pavement Industry Survey on Recycled Materials and Warm-Mix Asphalt Usage: 2018; National Asphalt Pavement Association: Greenbelt, MD, USA, 2019; 59p. [Google Scholar]
- Elkashef, M.; Podolsky, J.; Williams, R.C.; Cochran, E. Preliminary examination of soybean oil derived material as a potential rejuvenator through Superpave criteria and asphalt bitumen rheology. Constr. Build. Mater. 2017, 149, 826–836. [Google Scholar] [CrossRef]
- Williams, B.A.; Willis, J.R.; Shacat, J. Asphalt Pavement Industry Survey on Recycled Materials and Warm-Mix Asphalt Usage: 2022; National Asphalt Pavement Association Greenbelt: Greenbelt, MD, USA, 2024. [Google Scholar]
- EAPA. Asphalt in Figures 2022; European Asphalt Pavement Association: Brussels, Belgium, 2024. [Google Scholar]
- Moura, C.; Nascimento, L.; Loureiro, C.; Rodrigues, M.; Oliveira, J.; Silva, H. Viability of Using High Amounts of Steel Slag Aggregates to Improve the Circularity and Performance of Asphalt Mixtures. Appl. Sci. 2022, 12, 490. [Google Scholar] [CrossRef]
- Loureiro, C.D.A.; Moura, C.F.N.; Rodrigues, M.; Martinho, F.C.G.; Silva, H.M.R.D.; Oliveira, J.R.M. Steel Slag and Recycled Concrete Aggregates: Replacing Quarries to Supply Sustainable Materials for the Asphalt Paving Industry. Sustainability 2022, 14, 5022. [Google Scholar] [CrossRef]
- Zaumanis, M.; Mallick, R.B.; Frank, R. 100% recycled hot mix asphalt: A review and analysis. Resour. Conserv. Recycl. 2014, 92, 230–245. [Google Scholar] [CrossRef]
- Zaumanis, M.; Mallick, R.B.; Frank, R. 100% Hot Mix Asphalt Recycling: Challenges and Benefits. Transp. Res. Procedia 2016, 14, 3493–3502. [Google Scholar] [CrossRef]
- European Commission. A Resource-Efficient Europe—Flagship Initiative under the Europe 2020 Strategy (Communication COM 21); European Commission: Brussels, Belgium, 2011; 16p.
- European Commission. A New Circular Economy Action Plan for a Cleaner and More Competitive Europe (Communication 98); European Commission: Brussels, Belgium, 2020; 19p.
- Antunes, V.; Freire, A.C.; Neves, J. A review on the effect of RAP recycling on bituminous mixtures properties and the viability of multi-recycling. Constr. Build. Mater. 2019, 211, 453–469. [Google Scholar] [CrossRef]
- Ayub, A.; Sheikh, N.A.; Tariq, R.; Khan, M.M.; Invernizzi, C.M. Exergetic optimization and comparison of combined gas turbine supercritical CO2 power cycles. J. Renew. Sustain. Energy 2018, 10, 044703. [Google Scholar] [CrossRef]
- Ma, Y.; Hu, W.; Polaczyk, P.A.; Han, B.; Xiao, R.; Zhang, M.; Huang, B. Rheological and aging characteristics of the recycled asphalt binders with different rejuvenator incorporation methods. J. Clean. Prod. 2020, 262, 121249. [Google Scholar] [CrossRef]
- Yu, X.; Zaumanis, M.; Dos Santos, S.; Poulikakos, L.D. Rheological, microscopic, and chemical characterization of the rejuvenating effect on asphalt binders. Fuel 2014, 135, 162–171. [Google Scholar] [CrossRef]
- Copeland, A. High Reclaimed Asphalt Pavement Use: Information Brief; Federal Highway Administration: Washington, DC, USA, 2011; 2p.
- Copeland, A. Reclaimed Asphalt Pavement in Asphalt Mixtures: State of the Practice; Federal Highway Administration: McLean, VA, USA, 2011; 55p.
- Limón-Covarrubias, P.; Ochoa-Ambriz, L.A.; Avalos-Cueva, D.; Galaviz-González, J.R.; Pérez-Rea, M.d.l.L.; Gallardo-Sánchez, M.A. Influence of Compaction Energy on the Mechanical Performance of Hot Mix Asphalt with a Reclaimed Asphalt Pavement (RAP) and Rejuvenating Additive. Infrastructures 2023, 8, 166. [Google Scholar] [CrossRef]
- Prosperi, E.; Bocci, E. A review on bitumen aging and rejuvenation chemistry: Processes, materials and analyses. Sustainability 2021, 13, 6523. [Google Scholar] [CrossRef]
- Asli, H.; Ahmadinia, E.; Zargar, M.; Karim, M.R. Investigation on physical properties of waste cooking oil—Rejuvenated bitumen binder. Constr. Build. Mater. 2012, 37, 398–405. [Google Scholar] [CrossRef]
- Ingrassia, L.P.; Lu, X.; Ferrotti, G.; Canestrari, F. Renewable materials in bituminous binders and mixtures: Speculative pretext or reliable opportunity? Resour. Conserv. Recycl. 2019, 144, 209–222. [Google Scholar] [CrossRef]
- Wang, Y.; Wang, W.; Wang, L. Understanding the relationships between rheology and chemistry of asphalt binders: A review. Constr. Build. Mater. 2022, 329, 127161. [Google Scholar] [CrossRef]
- Asif, S.A.; Ahmad, N.; Asif, S.U.; Zaidi, S.B.A.; Amin, S. Effect of Aging on Physical, Chemical, and Thermal Properties of Bitumen. J. Transp. Eng. Part B Pavements 2023, 149, 04023006. [Google Scholar] [CrossRef]
- Chen, A.; Liu, G.; Zhao, Y.; Li, J.; Pan, Y.; Zhou, J. Research on the aging and rejuvenation mechanisms of asphalt using atomic force microscopy. Constr. Build Mater 2018, 167, 177–184. [Google Scholar] [CrossRef]
- Cong, P.; Hao, H.; Zhang, Y.; Luo, W.; Yao, D. Investigation of diffusion of rejuvenator in aged asphalt. Int. J. Pavement Res. Technol. 2016, 9, 280–288. [Google Scholar] [CrossRef]
- Liu, J.; Liu, Q.; Wang, S.; Zhang, X.; Xiao, C.; Yu, B. Molecular dynamics evaluation of activation mechanism of rejuvenator in reclaimed asphalt pavement (RAP) binder. Constr. Build. Mater. 2021, 298, 123898. [Google Scholar] [CrossRef]
- Cavalli, M.C.; Zaumanis, M.; Mazza, E.; Partl, M.N.; Poulikakos, L.D. Effect of ageing on the mechanical and chemical properties of binder from RAP treated with bio-based rejuvenators. Compos. Part B Eng. 2018, 141, 174–181. [Google Scholar] [CrossRef]
- Pradhan, S.K. Short-term and long-term aging effect of the rejuvenation on RAP binder and mixes for sustainable pavement construction. Int. J. Trans. Sci. Tech. 2023, 12, 937–954. [Google Scholar] [CrossRef]
- Singh, D.; Sawant, D. Understanding effects of RAP on rheological performance and chemical composition of SBS modified binder using series of laboratory tests. Int. J. Pavement Res. Technol. 2016, 9, 178–189. [Google Scholar] [CrossRef]
- Wu, Z.; Ge, D.; Ju, Z.; Xue, Y. The performance evaluation of extracted asphalt binder from dry process produced rubber modified asphalt mixture. Constr. Build. Mater. 2023, 401, 131864. [Google Scholar] [CrossRef]
- Zhou, Z.; Gu, X.; Dong, Q.; Ni, F.; Jiang, Y. Rutting and fatigue cracking performance of SBS-RAP blended binders with a rejuvenator. Constr. Build. Mater. 2019, 203, 294–303. [Google Scholar] [CrossRef]
- Ochoa-Ambriz, L.; Pérez-Rea, M.d.l.L.; Hernández-Padrón, G.; Limón-Covarrubias, P.; Galaviz-González, J.R.; Avalos-Cueva, D. Rheological Evaluation of Softened Binders Blended with Aged Asphalt Selected with a High-Temperature Mixing Chart. Materials 2022, 15, 1775. [Google Scholar] [CrossRef]
- Grilli, A.; Gnisci, M.I.; Bocci, M. Effect of ageing process on bitumen and rejuvenated bitumen. Constr. Build. Mater. 2017, 136, 474–481. [Google Scholar] [CrossRef]
- Hofko, B.; Eberhardsteiner, L.; Füssl, J.; Grothe, H.; Handle, F.; Hospodka, M.; Grossegger, D.; Nahar, S.N.; Schmets, A.J.M.; Scarpas, A. Impact of maltene and asphaltene fraction on mechanical behavior and microstructure of bitumen. Mater. Struct. 2016, 49, 829–841. [Google Scholar] [CrossRef]
- Menapace, I.; Garcia Cucalon, L.; Kaseer, F.; Arámbula-Mercado, E.; Epps Martin, A.; Masad, E.; King, G. Effect of recycling agents in recycled asphalt binders observed with microstructural and rheological tests. Constr. Build. Mater. 2018, 158, 61–74. [Google Scholar] [CrossRef]
- Mangiafico, S.; Di Benedetto, H.; Sauzéat, C.; Olard, F.; Pouget, S.; Planque, L. Effect of colloidal structure of bituminous binder blends on linear viscoelastic behaviour of mixtures containing Reclaimed Asphalt Pavement. Mater. Des. 2016, 111, 126–139. [Google Scholar] [CrossRef]
- Sun, Y.; Cannone Falchetto, A.; Zhang, F.; Wang, D.; Chen, W. Molecular Dynamics Simulation and the Regeneration and Diffusion Effects of Waste Engine Oil in Aged Asphalt Binder. Materials 2024, 17, 2212. [Google Scholar] [CrossRef]
- Daly, W.H.; Negulescu, I.; Balamurugan, S.S. Implementation of GPC Characterization of Asphalt Binders at Louisiana Materials Laboratory; Louisiana State University: Baton Rouge, LA, USA, 2013; 112p. [Google Scholar]
- Cao, Z.; Chen, M.; Liu, Z.; He, B.; Yu, J.; Xue, L. Effect of different rejuvenators on the rheological properties of aged SBS modified bitumen in long term aging. Constr. Build. Mater. 2019, 215, 709–717. [Google Scholar] [CrossRef]
- Ganter, D.; Mielke, T.; Maier, M.; Lupascu, D.C. Bitumen rheology and the impact of rejuvenators. Constr. Build. Mater. 2019, 222, 414–423. [Google Scholar] [CrossRef]
- Gökalp, İ.; Uz, V.E. Utilizing of Waste Vegetable Cooking Oil in bitumen: Zero tolerance aging approach. Constr. Build. Mater. 2019, 227, 116695. [Google Scholar] [CrossRef]
- Shen, J.; Ohne, Y. Determining Rejuvenator Content for Recycling Reclaimed Asphalt Pavement by SHRP Binder Specifications. Int. J. Pavement Eng. 2002, 3, 261–268. [Google Scholar] [CrossRef]
- Zeng, M.; Li, J.; Zhu, W.; Xia, Y. Laboratory evaluation on residue in castor oil production as rejuvenator for aged paving asphalt binder. Constr. Build Mater. 2018, 193, 276–285. [Google Scholar] [CrossRef]
- Li, M.; Ren, S.; Liu, X.; Wu, Z.; Zhang, H.; Fan, W.; Lin, P.; Xu, J. A Comprehensive Study on the Rejuvenation Efficiency of Compound Rejuvenators for the Characterization of the Bituminous Binder, Mortar, and Mixture. Materials 2022, 15, 5458. [Google Scholar] [CrossRef]
- He, Z.; Yu, L.; You, S.; Li, M.; Kong, L.; Wei, D. Regeneration Effect of a New Bio-Based Warm-Mix Rejuvenator on Performance and Micro-Morphology of Aged Asphalt. Materials 2024, 17, 2077. [Google Scholar] [CrossRef]
- Yaseen, G.; Jamal, A.; Almoshageh, M.; Alharbi, F.; Awan, H.H. Performance Evaluation of Aged Asphalt Pavement Binder through Rejuvenators. Sustainability 2022, 14, 14557. [Google Scholar] [CrossRef]
- Tang, W.; Yu, X.; Li, N.; Dong, F.; Wang, Z.; Zhang, Y. Effect of Rejuvenators on the Workability and Performances of Reclaimed Asphalt Mixtures. Materials 2021, 14, 6385. [Google Scholar] [CrossRef] [PubMed]
- Hashim, T.M.; Nasr, M.S.; Jebur, Y.M.; Kadhim, A.; Alkhafaji, Z.; Baig, M.G.; Adekunle, S.K.; Al-Osta, M.A.; Ahmad, S.; Yaseen, Z.M. Evaluating Rutting Resistance of Rejuvenated Recycled Hot-Mix Asphalt Mixtures Using Different Types of Recycling Agents. Materials 2022, 15, 8769. [Google Scholar] [CrossRef] [PubMed]
- Wang, F.; Zhang, L.; Yan, B.; Kong, D.; Li, Y.; Wu, S. Diffusion Mechanism of Rejuvenator and Its Effects on the Physical and Rheological Performance of Aged Asphalt Binder. Materials 2019, 12, 4130. [Google Scholar] [CrossRef] [PubMed]
- Al-Saffar, Z.H.; Yaacob, H.; Katman, H.Y.; Mohd Satar, M.K.I.; Bilema, M.; Putra Jaya, R.; Eltwati, A.S.; Radeef, H.R. A Review on the Durability of Recycled Asphalt Mixtures Embraced with Rejuvenators. Sustainability 2021, 13, 8970. [Google Scholar] [CrossRef]
- EN 12697-2:2015+A1:2019; Bituminous Mixtures—Test Methods—Part 2: Determination of Particle Size Distribution. CEN-CENELEC: Brussels, Belgium, 2019.
- EN 12697-39:2012; Bituminous Mixtures—Test Methods—Part 39: Binder Content by Ignition. CEN-CENELEC: Brussels, Belgium, 2012.
- EN 12697-3:2013; Bituminous Mixtures—Test Methods—Part 3: Bitumen Recovery: Rotary Evaporator. CEN-CENELEC: Brussels, Belgium, 2013.
- EN 12607-1:2014; Bitumen and Bituminous Binders—Determination of the Resistance to Hardening under the Influence of Heat and Air—Part 1: RTFOT Method. CEN-CENELEC: Brussels, Belgium, 2014.
- EN 14769:2012; Bitumen and Bituminous Binders—Accelerated Long-Term Ageing Conditioning by a Pressure Ageing Vessel (PAV). CEN-CENELEC: Brussels, Belgium, 2012.
- EN 1426:2015; Bitumen and Bituminous Binders—Determination of Needle Penetration. CEN-CENELEC: Brussels, Belgium, 2015.
- EN 1427:2015; Bitumen and Bituminous Binders—Determination of the Softening Point. Ring and Ball Method. CEN-CENELEC: Brussels, Belgium, 2015.
- EN 13302:2010; Bitumen and Bituminous Binders—Determination of Dynamic Viscosity of Bituminous Binder Using a Rotating Spindle Apparatus. CEN-CENELEC: Brussels, Belgium, 2010.
- EN 14770:2012; Bitumen and Bituminous Binders—Determination of Complex Shear Modulus and Phase Angle. Dynamic Shear Rheometer (DSR). CEN-CENELEC: Brussels, Belgium, 2012.
- Garcia Cucalon, L.; Kaseer, F.; Arámbula-Mercado, E.; Epps Martin, A.; Morian, N.; Pournoman, S.; Hajj, E. The crossover temperature: Significance and application towards engineering balanced recycled binder blends. Road Mater. Pavement Des. 2019, 20, 1391–1412. [Google Scholar] [CrossRef]
- Peralta, J.; Hilliou, L.; Silva, H.M.R.D.; Machado, A.V.; Pais, J.C.; Oliveira, J.R.M. Rheological quantification of bitumen aging: Definition of a new sensitive parameter. Appl. Rheol. 2010, 20, 63293. [Google Scholar] [CrossRef]
- Cominsky, R.J.; Huber, G.A.; Kennedy, T.W.; Anderson, M. The Superpave Mix Design Manual for New Construction and Overlays; National Research Council: Washington, DC, USA, 1994.
- EN 16659:2015; Bitumen and Bituminous Binders—Multiple Stress Creep and Recovery Test (MSCRT). CEN-CENELEC: Brussels, Belgium, 2015.














| Sieve Size (mm) | Percentage Passing (%) | |
|---|---|---|
| Sample without Bitumen | Sample with Bitumen | |
| 31.5 | 100 | 100 |
| 20 | 99 | 91 |
| 14 | 98 | 83 |
| 10 | 93 | 73 |
| 4 | 66 | 43 |
| 2 | 49 | 29 |
| 0.5 | 25 | 12 |
| 0.125 | 11 | 4 |
| 0.063 | 6 | 3 |
| Typical Properties | Unit | Value |
|---|---|---|
| Appearance | - | liquid |
| Color | - | brown |
| Viscosity at 25 °C | mPa·s | 50–150 |
| Density at 20 °C | g/cm3 | 0.85–0.95 |
| Flash point | °C | 200 |
| Bitumen Sample | Unaged | RTFOT | PAV | |||
|---|---|---|---|---|---|---|
| Jnr (kPa−1) | %R | Jnr (kPa−1) | %R | Jnr (kPa−1) | %R | |
| B35 | 1.38 | 2.5% | 0.43 | 11.8% | 0.08 | 33.1% |
| RB50J2 | 1.85 | 1.2% | 0.43 | 11.0% | 0.24 | 22.8% |
| RB50J4 | 2.74 | 0.2% | 0.64 | 7.3% | 0.33 | 16.4% |
| RG | 1.42 | 2.7% | 0.45 | 11.7% | 0.09 | 33.6% |
Disclaimer/Publisher’s Note: The statements, opinions and data contained in all publications are solely those of the individual author(s) and contributor(s) and not of MDPI and/or the editor(s). MDPI and/or the editor(s) disclaim responsibility for any injury to people or property resulting from any ideas, methods, instructions or products referred to in the content. |
© 2024 by the authors. Licensee MDPI, Basel, Switzerland. This article is an open access article distributed under the terms and conditions of the Creative Commons Attribution (CC BY) license (https://creativecommons.org/licenses/by/4.0/).
Share and Cite
Dabiri, A.; Silva, H.M.R.D.; Oliveira, J.R.M. Enhancing Pavement Durability: Comparative Rheological Evaluation of Conventional and Rejuvenated Reclaimed Binders under Aging Conditions. Materials 2024, 17, 3305. https://doi.org/10.3390/ma17133305
Dabiri A, Silva HMRD, Oliveira JRM. Enhancing Pavement Durability: Comparative Rheological Evaluation of Conventional and Rejuvenated Reclaimed Binders under Aging Conditions. Materials. 2024; 17(13):3305. https://doi.org/10.3390/ma17133305
Chicago/Turabian StyleDabiri, Asmasadat, Hugo M. R. D. Silva, and Joel R. M. Oliveira. 2024. "Enhancing Pavement Durability: Comparative Rheological Evaluation of Conventional and Rejuvenated Reclaimed Binders under Aging Conditions" Materials 17, no. 13: 3305. https://doi.org/10.3390/ma17133305
APA StyleDabiri, A., Silva, H. M. R. D., & Oliveira, J. R. M. (2024). Enhancing Pavement Durability: Comparative Rheological Evaluation of Conventional and Rejuvenated Reclaimed Binders under Aging Conditions. Materials, 17(13), 3305. https://doi.org/10.3390/ma17133305

