Synergistic Thermal and Electron Wind Force-Assisted Annealing for Extremely High-Density Defect Mitigation
Abstract
1. Introduction
2. Materials and Methods
3. Results
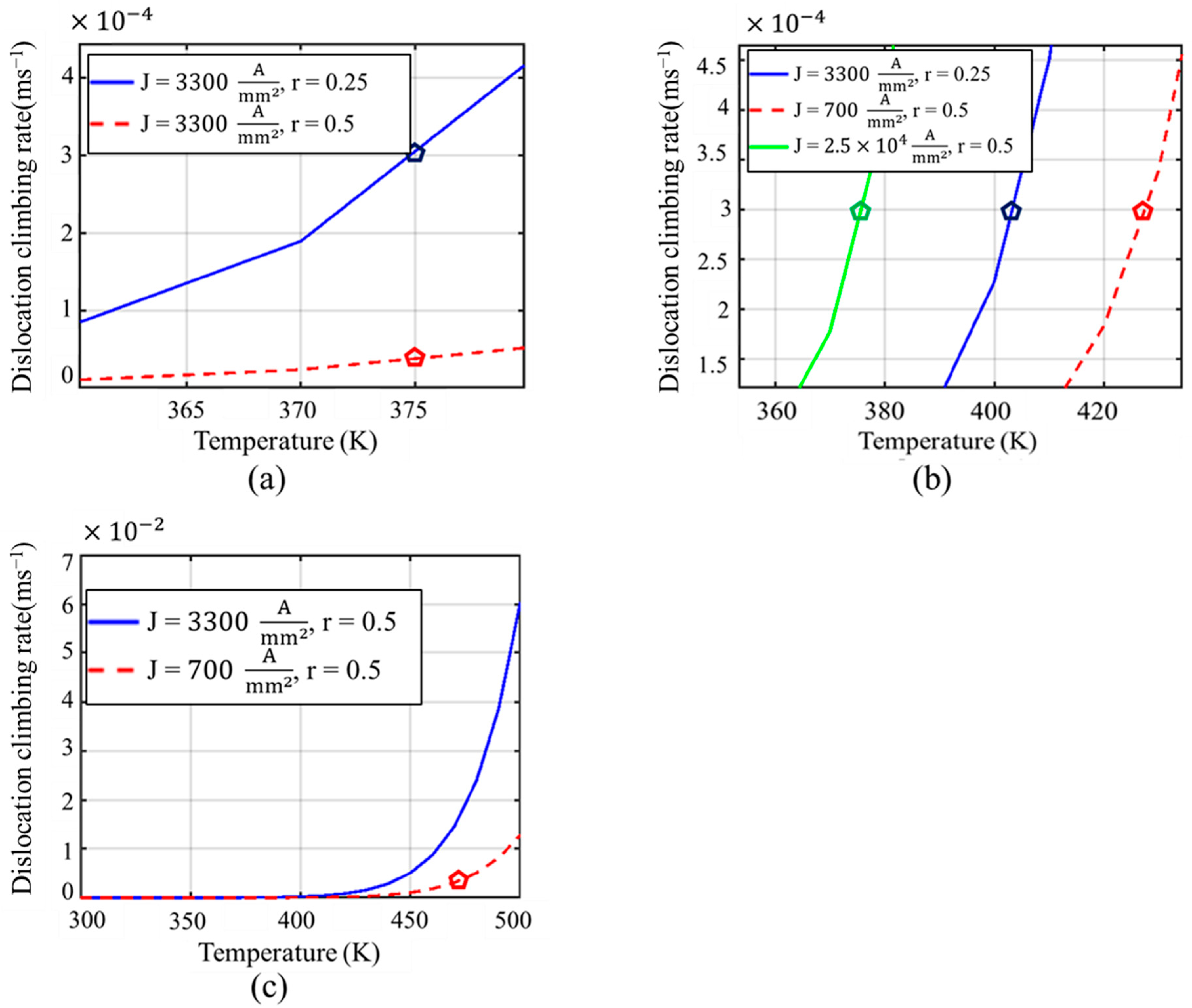
3.1. Synergistic Thermal and Athermal Effects in Dislocation Density Mitigation
3.2. Thermal Annealing and EWF-Assisted Annealing Performance Comparison
3.3. X-ray Diffraction Analysis
3.4. Grain Coarsening Due to EWF Annealing
4. Conclusions
Author Contributions
Funding
Institutional Review Board Statement
Informed Consent Statement
Data Availability Statement
Conflicts of Interest
References
- Yin, W.; Liu, Y.; He, X.; Li, H. Effects of Different Materials on Residual Stress Fields of Blade Damaged by Foreign Objects. Materials 2023, 16, 3662. [Google Scholar] [CrossRef] [PubMed]
- Kendall, O.; Paradowska, A.; Abrahams, R.; Reid, M.; Qiu, C.; Mutton, P.; Yan, W. Residual Stress Measurement Techniques for Metal Joints, Metallic Coatings and Components in the Railway Industry: A Review. Materials 2023, 16, 232. [Google Scholar] [CrossRef] [PubMed]
- Yuan, J.; Ji, H.; Zhong, Y.; Cui, G.; Xu, L.; Wang, X. Effects of Different Pre-Heating Welding Methods on the Temperature Field, Residual Stress and Deformation of a Q345C Steel Butt-Welded Joint. Materials 2023, 16, 4782. [Google Scholar] [CrossRef] [PubMed]
- He, B.B.; Hu, B.; Yen, H.W.; Cheng, G.J.; Wang, Z.K.; Luo, H.W.; Huang, M.X. High Dislocation Density-Induced Large Ductility in Deformed and Partitioned Steels. Science 2017, 357, 1029–1032. [Google Scholar] [CrossRef]
- Cruise, R.B.; Gardner, L. Residual Stress Analysis of Structural Stainless Steel Sections. J. Constr. Steel Res. 2008, 64, 352–366. [Google Scholar] [CrossRef]
- Launey, M.E.; Ritchie, R.O. On the Fracture Toughness of Advanced Materials. Adv. Mater. 2009, 21, 2103–2110. [Google Scholar] [CrossRef]
- Nazari, F.; Honarpisheh, M.; Zhao, H. Effect of Stress Relief Annealing on Microstructure, Mechanical Properties, and Residual Stress of a Copper Sheet in the Constrained Groove Pressing Process. Int. J. Adv. Manuf. Technol. 2019, 102, 4361–4370. [Google Scholar] [CrossRef]
- Szala, M.; Winiarski, G.; Wójcik, Ł.; Bulzak, T. Effect of Annealing Time and Temperature Parameters on the Microstructure, Hardness, and Strain-Hardening Coefficients of 42CrMo4 Steel. Materials 2020, 13, 2022. [Google Scholar] [CrossRef] [PubMed]
- Zha, X.-Q.; Xiong, Y.; Gao, L.-Q.; Zhang, X.-Y.; Ren, F.-Z.; Wang, G.-X.; Cao, W. Effect of Annealing on Microstructure and Mechanical Properties of Cryo-Rolled 316LN Austenite Stainless Steel. Mater. Res. Express 2019, 6, 96506. [Google Scholar] [CrossRef]
- Pan, L.; He, W.; Gu, B. Effects of Electric Current Pulses on Mechanical Properties and Microstructures of As-Quenched Medium Carbon Steel. Mater. Sci. Eng. A 2016, 662, 404–411. [Google Scholar] [CrossRef]
- Yi, K.; Xiang, S.; Zhou, M.; Zhang, X.; Du, F. Altering the Residual Stress in High-Carbon Steel through Promoted Dislocation Movement and Accelerated Carbon Diffusion by Pulsed Electric Current. Acta Metall. Sin. (Engl. Lett.) 2023, 36, 1511–1522. [Google Scholar] [CrossRef]
- Long, P. Influence of Electropulsing Treatment on Residual Stresses and Tensile Strength of As-Quenched Medium Carbon Steel. J. Phys. Conf. Ser. 2019, 1187, 32054. [Google Scholar] [CrossRef]
- Lienig, J.; Thiele, M. Fundamentals of Electromigration-Aware Integrated Circuit Design; Springer: Cham, Switzerland, 2018; ISBN 978-3-319-73557-3. [Google Scholar]
- Sheng, Y.; Hua, Y.; Wang, X.; Zhao, X.; Chen, L.; Zhou, H.; Wang, J.; Berndt, C.C.; Li, W. Application of High-Density Electropulsing to Improve the Performance of Metallic Materials: Mechanisms, Microstructure and Properties. Materials 2018, 11, 185. [Google Scholar] [CrossRef]
- Haque, A.; Sherbondy, J.; Warywoba, D.; Hsu, P.; Roy, S. Room-Temperature Stress Reduction in Welded Joints through Electropulsing. J. Mater. Process. Technol. 2022, 299, 117391. [Google Scholar] [CrossRef]
- Rahman, M.H.; Oh, H.; Waryoba, D.; Haque, A. Room Temperature Control of Grain Orientation via Directionally Modulated Current Pulses. Mater. Res. Express 2023, 10, 116521. [Google Scholar] [CrossRef]
- Xiang, S.; Zhang, X. Residual Stress Removal Under Pulsed Electric Current. Acta Metall. Sin. (Engl. Lett.) 2020, 33, 281–289. [Google Scholar] [CrossRef]
- Klöwer, J. High Temperature Corrosion Behaviour of Iron Aluminides and Iron-Aluminium-Chromium Alloys. Mater. Corros. 1996, 47, 685–694. [Google Scholar] [CrossRef]
- Pint, B.A.; Terrani, K.A.; Brady, M.P.; Cheng, T.; Keiser, J.R. High Temperature Oxidation of Fuel Cladding Candidate Materials in Steam–Hydrogen Environments. J. Nucl. Mater. 2013, 440, 420–427. [Google Scholar] [CrossRef]
- Pan, D.; Zhang, R.; Wang, H.; Lu, C.; Liu, Y. Formation and Stability of Oxide Layer in FeCrAl Fuel Cladding Material under High-Temperature Steam. J. Alloys Compd. 2016, 684, 549–555. [Google Scholar] [CrossRef]
- Stott, F.H.; Wood, G.C.; Stringer, J. The Influence of Alloying Elements on the Development and Maintenance of Protective Scales. Oxid. Met. 1995, 44, 113–145. [Google Scholar] [CrossRef]
- Bachhav, M.; Robert Odette, G.; Marquis, E.A. Microstructural Changes in a Neutron-Irradiated Fe–15at.%Cr Alloy. J. Nucl. Mater. 2014, 454, 381–386. [Google Scholar] [CrossRef]
- Lim, J.; Hwang, I.S.; Kim, J.H. Design of Alumina Forming FeCrAl Steels for Lead or Lead–Bismuth Cooled Fast Reactors. J. Nucl. Mater. 2013, 441, 650–660. [Google Scholar] [CrossRef]
- Zhang, Y.; Wang, H.; Sun, H.; Chen, G. Effects of Annealing Temperature on the Microstructure, Textures and Tensile Properties of Cold-Rolled Fe–13Cr–4Al Alloys with Different Nb Contents. Mater. Sci. Eng. A 2020, 798, 140236. [Google Scholar] [CrossRef]
- Sajuri, Z.; Mohamad Selamat, N.F.; Baghdadi, A.H.; Rajabi, A.; Omar, M.Z.; Kokabi, A.H.; Syarif, J. Cold-Rolling Strain Hardening Effect on the Microstructure, Serration-Flow Behaviour and Dislocation Density of Friction Stir Welded AA5083. Metals 2020, 10, 70. [Google Scholar] [CrossRef]
- Sarmadi, M.A.; Atapour, M.; Alizadeh, M. Influence of Cold Rolling on the Microstructure and Mechanical Properties of FeCoCrNiMn High-Entropy Alloy. Metallogr. Microstruct. Anal. 2024, 13, 220–230. [Google Scholar] [CrossRef]
- Pande, C.S.; Goswami, R. Dislocation Emission and Crack Dislocation Interactions. Metals 2020, 10, 473. [Google Scholar] [CrossRef]
- Deng, L.; Xia, J.; Wang, B.; Xiang, H. Effect of Cold Rolling and Subsequent Annealing on the Corrosion Resistance of Ag-Containing CD4MCu Duplex Stainless Steels. J. Mater. Eng. Perform. 2023, 32, 1645–1659. [Google Scholar] [CrossRef]
- Panagopoulos, C.N.; Georgiou, E.P. The Effect of Cold Rolling on the Corrosion Behaviour of 5083 Aluminium Alloys. Metals 2024, 14, 159. [Google Scholar] [CrossRef]
- Rahman, M.H.; Todaro, S.; Warner, L.; Waryoba, D.; Haque, A. Elimination of Low-Angle Grain Boundary Networks in FeCrAl Alloys with the Electron Wind Force at a Low Temperature. Metals 2024, 14, 331. [Google Scholar] [CrossRef]
- Tao, J.; Chen, J.F.; Cheung, N.W.; Hu, C. Modeling and Characterization of Electromigration Failures under Bidirectional Current Stress. IEEE Trans. Electron Devices 1996, 43, 800–808. [Google Scholar] [CrossRef]
- Young, D.; Christou, A. Failure Mechanism Models for Electromigration. IEEE Trans. Reliab. 1994, 43, 186–192. [Google Scholar] [CrossRef]
- Trimby, P.; Anderson, I.; Larsen, K.; Hjelmstad, M.; Thomsen, K.; Mehnert, K. Advanced Classification of Microstructures in EBSD Datasets Using AZtecCrystal. Microsc. Microanal. 2020, 26, 112–113. [Google Scholar] [CrossRef]
- Čížek, J.; Janeček, M.; Vlasák, T.; Smola, B.; Melikhova, O.; Islamgaliev, R.K.; Dobatkin, S.V. The Development of Vacancies during Severe Plastic Deformation. Mater. Trans. 2019, 60, 1533–1542. [Google Scholar] [CrossRef]
- Masuda, T.; Takaki, Y.; Sakurai, T.; Hirosawa, S. Combined Effect of Pre-Straining and Pre-Aging on Bake-Hardening Behavior of an Al-0.6 Mass%Mg-1.0 Mass%Si Alloy. Mater. Trans. 2010, 51, 325–332. [Google Scholar] [CrossRef]
- Serizawa, A.; Sato, T.; Miller, M.K. Effect of Cold Rolling on the Formation and Distribution of Nanoclusters during Pre-Aging in an Al–Mg–Si Alloy. Mater. Sci. Eng. A 2013, 561, 492–497. [Google Scholar] [CrossRef]
- Kirekawa, N.; Saito, K.; O, M.; Kobayashi, E. Effect of Cold Rolling on Cluster(1) Dissolvability during Artificial Aging and Formability during Natural Aging in Al-0.6Mg-1.0Si-0.5Cu Alloy. Metals 2022, 12, 92. [Google Scholar] [CrossRef]
- Hou, M.; Li, K.; Li, X.; Zhang, X.; Rui, S.; Wu, Y.; Cai, Z. Effects of Pulsed Magnetic Fields of Different Intensities on Dislocation Density, Residual Stress, and Hardness of Cr4Mo4V Steel. Crystals 2020, 10, 115. [Google Scholar] [CrossRef]
- Li, H.; Hsu, E.; Szpunar, J.; Utsunomiya, H.; Sakai, T. Deformation Mechanism and Texture and Microstructure Evolution during High-Speed Rolling of AZ31B Mg Sheets. J. Mater. Sci. 2008, 43, 7148–7156. [Google Scholar] [CrossRef]
- Liu, J.Y.; Zhang, K.F. Influence of Electric Current on Superplastic Deformation Mechanism of 5083 Aluminium Alloy. Mater. Sci. Technol. 2016, 32, 540–546. [Google Scholar] [CrossRef]
- Roshchupkin, A.M.; Miloshenko, V.E.; Kalinin, V.E. Effect of Electrons on the Motion of Dislocations in Metals. Sov. J. Exp. Theor. Phys. Lett. 1979, 29, 435. [Google Scholar]
- Lu, B.; Tang, K.; Wu, M.; Yang, Y.; Yang, G. Mechanism of Electropulsing Treatment Technology for Flow Stress of Metal Material: A Review. Alloys 2024, 3, 96–125. [Google Scholar] [CrossRef]
- Sun, Z.; Yamamoto, Y.; Chen, X. Impact Toughness of Commercial and Model FeCrAl Alloys. Mater. Sci. Eng. A 2018, 734, 93–101. [Google Scholar] [CrossRef]
- Qin, X.; Zhang, R.; Du, P.; Pei, J.; Pan, Q.; Cao, Y.; Liu, H. Recrystallization and Texture Evolution of Cold Pilgered FeCrAl Cladding Tube during Annealing at 700 °C~1000 °C. J. Nucl. Mater. 2023, 577, 154303. [Google Scholar] [CrossRef]
- Liang, X.; Wang, H.; Pan, Q.; Zheng, J.; Liu, H.; Zhang, R.; Xu, Y.; Xu, Y.; Yi, D. Recrystallization and Mechanical Properties of Cold-Rolled FeCrAl Alloy during Annealing. J. Iron Steel Res. Int. 2020, 27, 549–565. [Google Scholar] [CrossRef]
- Ungár, T. Dislocation Densities, Arrangements and Character from X-Ray Diffraction Experiments. Mater. Sci. Eng. A 2001, 309–310, 14–22. [Google Scholar] [CrossRef]
- Krawczyk, B.; Cook, P.; Hobbs, J.; Engelberg, D.L. Corrosion Behavior of Cold Rolled Type 316L Stainless Steel in HCl-Containing Environments. Corrosion 2017, 73, 1346–1358. [Google Scholar] [CrossRef]
- Kamachi Mudali, U.; Shankar, P.; Ningshen, S.; Dayal, R.K.; Khatak, H.S.; Raj, B. On the Pitting Corrosion Resistance of Nitrogen Alloyed Cold Worked Austenitic Stainless Steels. Corros. Sci. 2002, 44, 2183–2198. [Google Scholar] [CrossRef]









| Condition | LAGBs Concentration (%) |
|---|---|
| pristine | 54.8 |
| r = 0.25 | 82.4 |
| r = 0.25, J = , T = 100 °C | 47.5 |
| r = 0.5 | 85.2 |
| r = 0.5, J = , T = 100 °C | 78.5 |
| r = 0.5, J = , T = 200 °C | 10.1 |
| r = 0.5, thermal annealing at T = 200 °C | 81.4 |
| Peak | Pristine | r = 0.25 | , T = 100 °C | r = 0.5 | , T = 100 °C | , T = 200 °C | Thermal Annealing at T = 200 °C |
|---|---|---|---|---|---|---|---|
| A | 52.21 | 52.163 | 52.229 | 51.7 | 51.628 | 51.973 | 51.74 |
| B | 76.76 | 76.74 | 76.77 | 76.35 | 76.21 | 76.6 | 76.36 |
| C | 98.85 | 98.77 | 98.937 | 98.50 | 98.52 | 98.80 | 98.52 |
| Peak | Pristine | r = 0.25 | , T = 100 °C | r = 0.5 | , T = 100 °C | , T = 200 °C | Thermal Annealing at T = 200 °C |
|---|---|---|---|---|---|---|---|
| A | 0.2151 | 0.32 | 0.215 | 0.293 | 0.27 | 0.147 | 0.304 |
| B | 0.284 | 0.449 | 0.413 | 0.542 | 0.4 | 0.259 | 0.548 |
| C | 0.36 | 0.571 | 0.34 | 0.591 | 0.572 | 0.217 | 0.603 |
Disclaimer/Publisher’s Note: The statements, opinions and data contained in all publications are solely those of the individual author(s) and contributor(s) and not of MDPI and/or the editor(s). MDPI and/or the editor(s) disclaim responsibility for any injury to people or property resulting from any ideas, methods, instructions or products referred to in the content. |
© 2024 by the authors. Licensee MDPI, Basel, Switzerland. This article is an open access article distributed under the terms and conditions of the Creative Commons Attribution (CC BY) license (https://creativecommons.org/licenses/by/4.0/).
Share and Cite
Rahman, M.H.; Todaro, S.; Waryoba, D.; Haque, A. Synergistic Thermal and Electron Wind Force-Assisted Annealing for Extremely High-Density Defect Mitigation. Materials 2024, 17, 3188. https://doi.org/10.3390/ma17133188
Rahman MH, Todaro S, Waryoba D, Haque A. Synergistic Thermal and Electron Wind Force-Assisted Annealing for Extremely High-Density Defect Mitigation. Materials. 2024; 17(13):3188. https://doi.org/10.3390/ma17133188
Chicago/Turabian StyleRahman, Md Hafijur, Sarah Todaro, Daudi Waryoba, and Aman Haque. 2024. "Synergistic Thermal and Electron Wind Force-Assisted Annealing for Extremely High-Density Defect Mitigation" Materials 17, no. 13: 3188. https://doi.org/10.3390/ma17133188
APA StyleRahman, M. H., Todaro, S., Waryoba, D., & Haque, A. (2024). Synergistic Thermal and Electron Wind Force-Assisted Annealing for Extremely High-Density Defect Mitigation. Materials, 17(13), 3188. https://doi.org/10.3390/ma17133188

