Synthesis and Characterization of Sol–Gelled Barium Zirconate as Novel MTA Radiopacifiers
Abstract
1. Introduction
2. Materials and Methods
2.1. Preparation and Characterization of Barium Zirconate
2.2. Preparation and Evaluation of MTA-Like Cements
3. Results and Discussion
3.1. Preliminary Evaluation of Commercial Barium Ziconate Powder as Radiopacifier
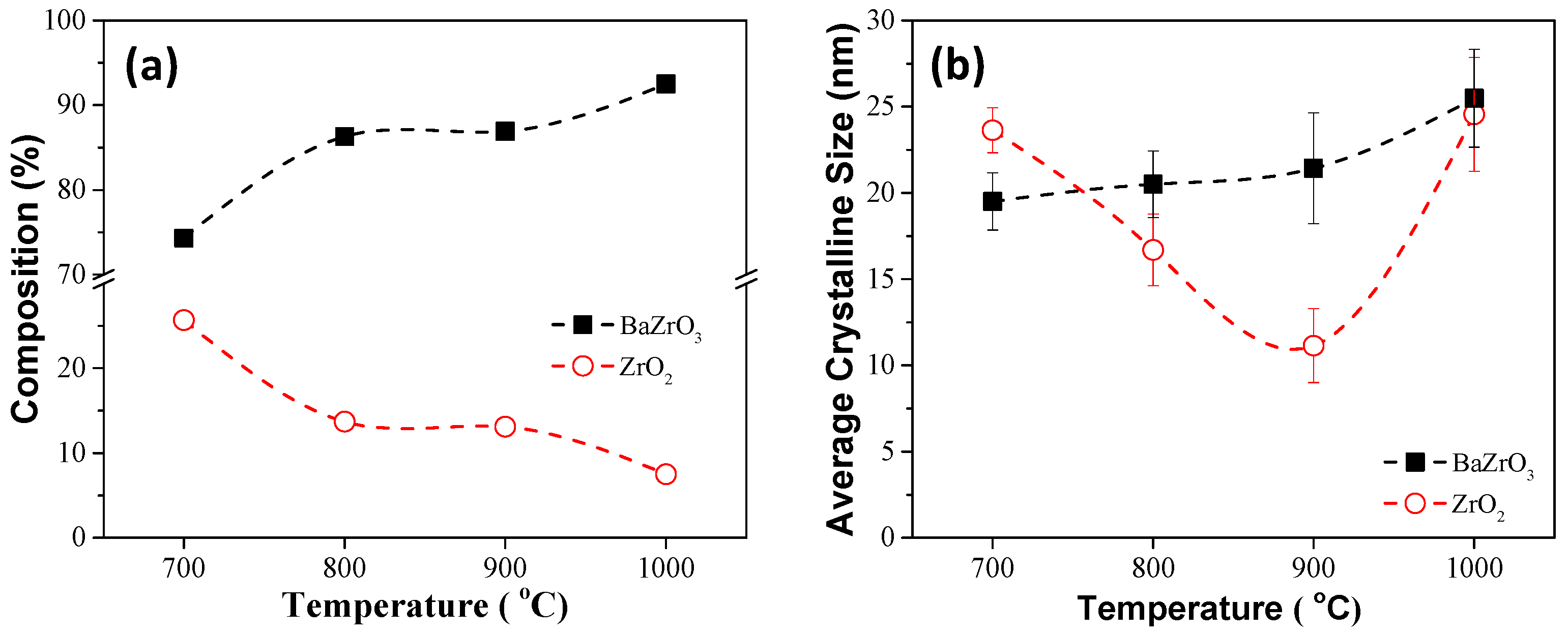
3.2. Synthesis and Characterization of Sol–Gelled BaZrO3
3.3. Calcined BaZrO3 as Radiopacifier for MTAs
4. Conclusions
Supplementary Materials
Author Contributions
Funding
Institutional Review Board Statement
Informed Consent Statement
Data Availability Statement
Conflicts of Interest
References
- Zhang, L.; Mei, L.; Wang, K.; Lv, Y.; Zhang, S.; Lian, Y.; Liu, X.; Ma, Z.; Xiao, G.; Liu, Q. Advances in the application of perovskite materials. Nano-Micro Lett. 2023, 15, 177. [Google Scholar] [CrossRef]
- Rohan, S.; Gaur, M.S.; Raghav, R.K. Study of structural, thermal and piezoelectric properties of polyvinylidene fluoride–BaZrO3 nanocomposites. J. Therm. Anal. Calorim. 2022, 147, 10371–10381. [Google Scholar]
- Braham, Z.C.; Kermad, A.; El Korso, S.; Ramdani, M.R.; Boudjemaa, A.; Bachari, K.; Braham, A.C. Enhancing structural properties of simple perovskite materials based on zirconate and titanate prepared by sol-gel method. Mater. Chem. Phys. 2023, 310, 128460. [Google Scholar] [CrossRef]
- Shellaiah, M.; Sun, K.W. Review on sensing applications of perovskite nanomaterials. Chemosensors 2020, 8, 55. [Google Scholar] [CrossRef]
- Borland, H.; Llivina, L.; Colominas, S.; Abellà, J. Proton conducting ceramics for potentiometric hydrogen sensors for molten metals. Fusion Eng. Des. 2013, 88, 2431–2435. [Google Scholar] [CrossRef]
- Hossain, M.K.; Hasan, S.K.; Hossain, M.I.; Das, R.C.; Bencherif, H.; Rubel, M.; Rahman, M.F.; Emrose, T.; Hashizume, K. A review of applications, prospects, and challenges of proton-conducting zirconates in electrochemical hydrogen devices. Nanomaterials 2022, 12, 3581. [Google Scholar] [CrossRef]
- Fakharuddin, A.; Gangishetty, M.K.; Abdi-Jalebi, M.; Chin, S.-H.; bin Mohd Yusoff, A.R.; Congreve, D.N.; Tress, W.; Deschler, F.; Vasilopoulou, M.; Bolink, H.J. Perovskite light-emitting diodes. Nat. Electron. 2022, 5, 203–216. [Google Scholar] [CrossRef]
- Wei, K.; Faraj, Y.; Yao, G.; Xie, R.; Lai, B. Strategies for improving perovskite photocatalysts reactivity for organic pollutants degradation: A review on recent progress. Chem. Eng. J. 2021, 414, 128783. [Google Scholar] [CrossRef]
- Wu, T.; Qin, Z.; Wang, Y.; Wu, Y.; Chen, W.; Zhang, S.; Cai, M.; Dai, S.; Zhang, J.; Liu, J. The main progress of perovskite solar cells in 2020–2021. Nano-Micro Lett. 2021, 13, 152. [Google Scholar] [CrossRef]
- Hossain, M.K.; Chanda, R.; El-Denglawey, A.; Emrose, T.; Rahman, M.T.; Biswas, M.C.; Hashizume, K. Recent progress in barium zirconate proton conductors for electrochemical hydrogen device applications: A review. Ceram. Int. 2021, 47, 23725–23748. [Google Scholar] [CrossRef]
- Sharma, R.; Sharma, A.; Agarwal, S.; Dhaka, M.S. Stability and efficiency issues, solutions and advancements in perovskite solar cells: A review. Sol. Energy 2022, 244, 516–535. [Google Scholar] [CrossRef]
- Duan, C.; Tong, J.; Shang, M.; Nikodemski, S.; Sanders, M.; Ricote, S.; Almansoori, A.; OHayre, R. Readily processed protonic ceramic fuel cells with high performance at low temperatures. Science 2015, 349, 1321–1326. [Google Scholar] [CrossRef]
- Primus, C.M.; Tay, F.R.; Niu, L.-N. Bioactive tri/dicalcium silicate cements for treatment of pulpal and periapical tissues. Acta Biomater. 2019, 96, 35–54. [Google Scholar] [CrossRef]
- Oh, S.; Cho, S.-I.; Perinpanayagam, H.; You, J.; Hong, S.-H.; Yoo, Y.-J.; Chang, S.W.; Shon, W.-J.; Yoo, J.-S.; Baek, S.-H. Novel calcium zirconate silicate cement biomineralize and seal root canals. Materials 2018, 11, 588. [Google Scholar] [CrossRef]
- Camilleri, J. Hydration characteristics of Biodentine and Theracal used as pulp capping materials. Dent. Mater. 2014, 30, 709–715. [Google Scholar] [CrossRef]
- Camilleri, J. Tricalcium silicate cements with resins and alternative radiopacifiers. J. Endod. 2014, 40, 2030–2035. [Google Scholar] [CrossRef]
- Mureddu, M.; Bartolomé, J.F.; Lopez-Esteban, S.; Dore, M.; Enzo, S.; García, Á.; Garroni, S.; Pardo, L. Solid State Processing of BCZT Piezoceramics Using Ultra Low Synthesis and Sintering Temperatures. Materials 2023, 16, 945. [Google Scholar] [CrossRef]
- Bach, M.; Schemmel, T.; Hubálková, J.; Bühringer, M.; Jansen, H.; Aneziris, C.G. Effect of thermal treatment conditions on the solid-state synthesis of barium zirconate from barium carbonate and monoclinic zirconia. Ceram. Int. 2021, 47, 25839–25845. [Google Scholar] [CrossRef]
- Nayak, A.K.; Sasmal, A. Recent advance on fundamental properties and synthesis of barium zirconate for proton conducting ceramic fuel cell. J. Clean. Prod. 2023, 386, 135827. [Google Scholar] [CrossRef]
- Antončík, F.; Lojka, M.; Hlásek, T.; Sedmidubský, D.; Jankovský, O.; Bartůněk, V. The effective synthesis of large volumes of the ultrafine BaZrO3 nanoparticles. Mater. Chem. Phys. 2021, 259, 124047. [Google Scholar] [CrossRef]
- Guo, X.Z.; Wang, Z.C.; Song, J.; Yang, H. Sol gel synthesis of macroporous barium zirconate monoliths from ionic precursors via a phase separation route. J. Phys. Chem. Solids 2017, 102, 105–109. [Google Scholar] [CrossRef]
- Manju, P.; Ajith, M.R.; Jaiswal-Nagar, D. Synthesis and characterization of BaZrO3 nanoparticles by citrate-nitrate sol-gel auto-combustion technique: Systematic study for the formation of dense BaZrO3 ceramics. J. Eur. Ceram. Soc. 2019, 39, 3756–3767. [Google Scholar] [CrossRef]
- Babu, A.; Tirumalarao, D.; Das, S.; Dixit, V.; Sruthy, S.; Vijayan, V.; Jaiswal-Nagar, D. Effect of pH variation on citrate nitrate sol-gels obtained from auto-combustion method: Synthesis, calculations and characterisations of extremely dense BaZrO3 ceramic. Open Ceram. 2022, 12, 100303. [Google Scholar] [CrossRef]
- Zenou, V.Y.; Bakardjieva, S. Microstructural analysis of undoped and moderately sc-doped tio2 anatase nanoparticles using scherrer equation and debye function analysis. Mater. Charact. 2018, 144, 287–296. [Google Scholar] [CrossRef]
- Schneider, C.A.; Rasband, W.S.; Eliceiri, K.W. NIH Image to ImageJ: 25 years of image analysis. Nat. Methods 2012, 9, 671–675. [Google Scholar] [CrossRef]
- ISO 6876; Dental Root Canal Sealing Materials. ISO International Organization for Standardization: Geneva, Switzerland, 2001.
- Yu, P.; Cui, B.; Shi, Q. Preparation and characterization of BaTiO3 powders and ceramics by sol–gel process using oleic acid as surfactant. Mater. Sci. Eng. A 2008, 473, 34–41. [Google Scholar] [CrossRef]
- Rietveld, H. Line profiles of neutron powder-diffraction peaks for structure refinement. Acta Crystallogr. 1967, 22, 151–152. [Google Scholar] [CrossRef]
- Bruker AXS. Topas V2. 0. Profile and Structure Analysis Software for Powder Diffraction Data; User AMnula, Bruker AXS: Karlsruhe, Germany, 2000. [Google Scholar]











Disclaimer/Publisher’s Note: The statements, opinions and data contained in all publications are solely those of the individual author(s) and contributor(s) and not of MDPI and/or the editor(s). MDPI and/or the editor(s) disclaim responsibility for any injury to people or property resulting from any ideas, methods, instructions or products referred to in the content. |
© 2024 by the authors. Licensee MDPI, Basel, Switzerland. This article is an open access article distributed under the terms and conditions of the Creative Commons Attribution (CC BY) license (https://creativecommons.org/licenses/by/4.0/).
Share and Cite
Lin, H.-N.; Chen, M.-S.; Chang, P.-J.; Lee, Y.-C.; Chen, C.-Y.; Chiou, Y.-J.; Lin, C.-K. Synthesis and Characterization of Sol–Gelled Barium Zirconate as Novel MTA Radiopacifiers. Materials 2024, 17, 3015. https://doi.org/10.3390/ma17123015
Lin H-N, Chen M-S, Chang P-J, Lee Y-C, Chen C-Y, Chiou Y-J, Lin C-K. Synthesis and Characterization of Sol–Gelled Barium Zirconate as Novel MTA Radiopacifiers. Materials. 2024; 17(12):3015. https://doi.org/10.3390/ma17123015
Chicago/Turabian StyleLin, Hsiu-Na, May-Show Chen, Pei-Jung Chang, Yao-Chi Lee, Chin-Yi Chen, Yuh-Jing Chiou, and Chung-Kwei Lin. 2024. "Synthesis and Characterization of Sol–Gelled Barium Zirconate as Novel MTA Radiopacifiers" Materials 17, no. 12: 3015. https://doi.org/10.3390/ma17123015
APA StyleLin, H.-N., Chen, M.-S., Chang, P.-J., Lee, Y.-C., Chen, C.-Y., Chiou, Y.-J., & Lin, C.-K. (2024). Synthesis and Characterization of Sol–Gelled Barium Zirconate as Novel MTA Radiopacifiers. Materials, 17(12), 3015. https://doi.org/10.3390/ma17123015

