Influence of Different Types of Fillers on the Performance of PMMA-Based Low-Temperature Rapid Repair Mortar
Abstract
1. Introduction
2. Materials and Experiments
2.1. Raw Materials
2.2. Specimen Preparation
2.2.1. Preparation of MMA Prepolymers
2.2.2. Preparation of PMMA Repair Mortar
2.3. Testing Method
2.3.1. Mechanical Strength of Repair Mortars
2.3.2. Fluidity
2.3.3. Setting Time
- (1)
- The setting time of the polymer PMMA was determined by filling the test tube with the polymer solution. Start timing from the MMA prepolymer add curing agent mixing, pour the solution into the test tube, tilt the test tube from time to time. When the liquid no longer flows while the test tube is placed flat, which means that the liquid in the test tube loses its fluidity, the timing is stopped. And this time is the setting time of PMMA.
- (2)
- Determination of setting time of PMMA repair mortar with reference to JGJ/T 70-2009 [40]. Fill and smooth the fresh repair mortar mix into a slurry container with an inner diameter of 140 mm and a height of 75 mm, and place it in a maintenance box at −10 °C for maintenance. It was taken out every 10 min and tested using ZKS-100 mortar setting time tester (Tianjin Beichen Testing Instrument Factory, Tianjin, China). The penetration resistance method was used to determine the setting time of the PMMA repair mortar by the resistance generated by the mortar to the penetrating test needle, which was measured every 2 min as it approached the setting time.
2.3.4. Bonding Strength
2.3.5. Abrasion Resistance
2.3.6. Water Absorption Capability
2.3.7. Salt Scaling Resistance
2.3.8. Volumetric Deformation
2.3.9. Pore Size Distribution
- (1)
- Use a firm hammer to knock the PMMA repair mortar specimen into 3~5 mm size granular sample;
- (2)
- Put it into a constant temperature blower drying oven to dry the moisture;
- (3)
- Put the sample into the Quantachrome PoreMaster 60 mercury pore analyzer for testing.
2.3.10. Scanning Electron Microscopy
- (1)
- Crack the PMMA repair mortar and select the particles of which the diameter is about 10 mm;
- (2)
- Place the selected mortar particles in a constant temperature blast drying oven to dry the moisture;
- (3)
- Use conductive adhesive to fix the sample to be tested in the sample stage, to be coated and processed into the scanning electron microscope observation.
3. Results and Discussions
3.1. Working Performance
3.2. Mechanical Performance
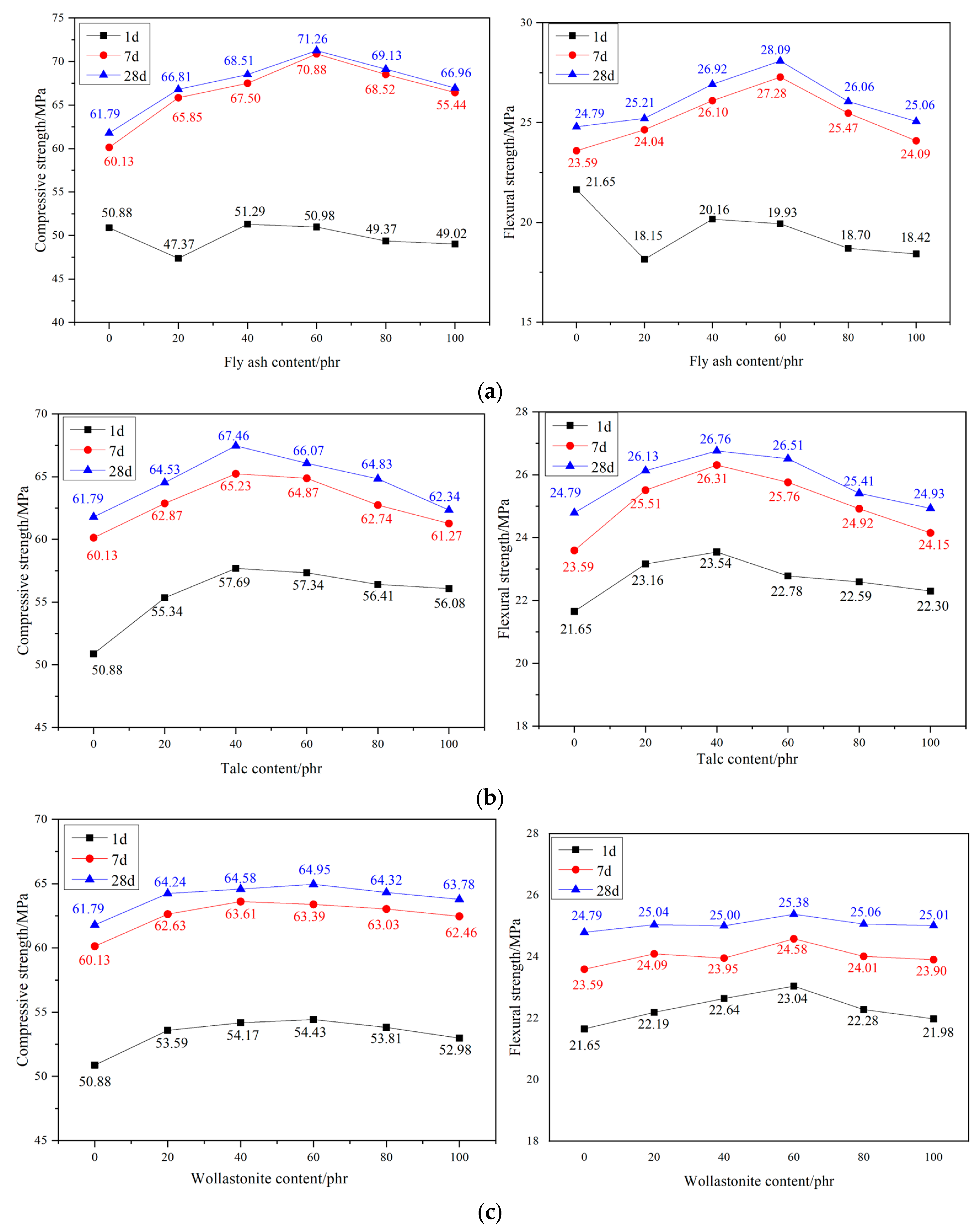
3.2.1. Flexural and Compressive Strength
3.2.2. Bond Strength
3.2.3. Abrasion Performance
3.3. Anti Salt Freezing Performance
3.4. Shrinkage
3.5. Discussion
4. Conclusions
- (1)
- 60 phr of fly ash has the greatest effect on the overall performance of PMMA repair mortar.
- (2)
- All three fillers prolonged the setting time of the PMMA repair mortar. Wollastonite powder had the least negative effect on the setting time of the repair mortar. The larger the dosage of talc and fly ash, the lower the fluidity of the mortar. With the increase in the amount of fly ash, the fluidity of the mortar tended to increase and then decrease.
- (3)
- All fillers improved the mechanical properties of the repair mortar itself to different degrees. Among them, fly ash had the most significant enhancement effect on the mechanical performance. The addition of fillers had no negative effect on the bond strength of the PMMA repair mortar to the reference mortar.
- (4)
- The filler effectively improved the anti-salt-freezing performance of PMMA repair mortar. Thanks to the unique overlapping layer structure of talcum powder, its comprehensive anti-salt freezing performance was the most excellent. Since the filler itself does not shrink, so the shrinkage of the PMMA repair mortar after the addition of the filler was also significantly reduced.
- (5)
- Fillers improve the densification of PMMA repair mortars. The inclusion of fillers greatly improves the thermal compatibility between the PMMA repair mortar and the cement concrete pavement, reducing damage at the bond interface due to temperature stress fatigue.
Author Contributions
Funding
Institutional Review Board Statement
Informed Consent Statement
Data Availability Statement
Conflicts of Interest
References
- Yin, F.; Mei, S. Statistical Bulletin of Transportation Industry Development in 2022. Waterw. Ports 2023, 44, 1002–1006. [Google Scholar]
- Shi, J.; Liu, B.; Qin, J.; Jiang, J.; Wu, X.; Tan, J. Experimental study of performance of repair mortar: Evaluation of in-situ tests and correlation analysis. J. Build. Eng. 2020, 31, 101325. [Google Scholar] [CrossRef]
- Yu, H.; Lu, L.; Qiao, P. Localization and size quantification of surface crack of concrete based on Rayleigh wave attenuation model. Constr. Build. Mater. 2021, 280, 122437. [Google Scholar] [CrossRef]
- Zailani, W.W.A.; Abdullah, M.M.A.B.; Arshad, M.F.; Razak, R.A.; Tahir, M.F.M.; Zainol, R.R.M.A.; Nabialek, M.; Sandu, A.V.; Wysłocki, J.J.; Błoch, K. Characterisation at the Bonding Zone between Fly Ash Based Geopolymer Repair Materials (GRM) and Ordinary Portland Cement Concrete (OPCC). Materials 2020, 14, 56. [Google Scholar] [CrossRef] [PubMed]
- Li, Y.R. Discussion on the Construction Technology of Cement Concrete Pavement Repaired by Thin Layer of Highway. Value Eng. 2016, 35, 151–153. [Google Scholar]
- Song, X.; Song, X.; Liu, H.; Huang, H.; Anvarovna, K.G.; Ugli, N.A.D.; Huang, Y.; Hu, J.; Wei, J.; Yu, Q. Cement-Based Repair Materials and the Interface with Concrete Substrates: Characterization, Evaluation and Improvement. Polymers 2022, 14, 1485. [Google Scholar] [CrossRef]
- Xu, S.; Mu, F.; Wang, J.; Li, W. Experimental study on the interfacial bonding behaviors between sprayed UHTCC and concrete substrate. Constr. Build. Mater. 2018, 195, 638–649. [Google Scholar] [CrossRef]
- Javed, A.; Gillani, S.A.A.; Abbass, W.; Riaz, M.R.; Hameed, R.; Abbas, S.; Salmi, A.; Deifalla, A.F. Mechanical Performance of Amorphous Metallic Fiber-Reinforced and Rubberized Thin Bonded Cement-Based Overlays. Sustainability 2022, 14, 8226. [Google Scholar] [CrossRef]
- Yucel, H.E.; Jashami, H.; Sahmaran, M.; Guler, M.; Yaman, I.O. Thin ECC overlay systems for rehabilitation of rigid concrete pavements. Mag. Concr. Res. 2013, 65, 108–120. [Google Scholar] [CrossRef]
- Gillani, S.A.A.; Shahzad, S.; Abbass, W.; Abbas, S.; Toumi, A.; Turatsinze, A.; Mohamed, A.M.; Sayed, M.M. Debonding of Thin Bonded Rubberised Fibre-Reinforced Cement-Based Repairs under Monotonic Loading: Experimental and Numerical Investigation. Materials 2022, 15, 3886. [Google Scholar] [CrossRef]
- Beßling, M.; Groh, M.; Koch, V.; Auras, M.; Orlowsky, J.; Middendorf, B. Repair and Protection of Existing Steel-Reinforced Concrete Structures with High-Strength, Textile-Reinforced Mortars. Buildings 2022, 12, 1615. [Google Scholar] [CrossRef]
- Liu, F.; Pan, B.; Zhou, C. Experimental Study on a Novel Modified Magnesium Phosphate Cement Mortar Used for Rapid Repair of Portland Cement Concrete Pavement in Seasonally Frozen Areas. J. Mater. Civ. Eng. 2022, 34, 04021483. [Google Scholar] [CrossRef]
- Liu, Y.; Jia, M.; Song, C.; Lu, S.; Wang, H.; Zhang, G.; Yang, Y. Enhancing ultra-early strength of sulphoaluminate cement-based materials by incorporating graphene oxide. Nanotechnol. Rev. 2020, 9, 17–27. [Google Scholar] [CrossRef]
- Xu, L.; Li, X.; Jiang, F.; Yu, X.; Wang, J.; Xiao, F. Thermosetting characteristics and performances of polyurethane material on airport thin-overlay. Constr. Build. Mater. 2022, 344, 128252. [Google Scholar] [CrossRef]
- Knight, M.L.; Wilson, G.S.; Seger, W.J.; Mahadevan, S. Overlay Types Used as Preventive Maintenance on Tennessee Bridge Decks. Transp. Res. Rec. J. Transp. Res. Board 2004, 1866, 79–84. [Google Scholar] [CrossRef]
- Genedy, M.; Matteo, E.N.; Stenko, M.; Stormont, J.C.; Taha, M.R. Nanomodified Methyl Methacrylate Polymer for Sealing of Microscale Defects in Wellbore Systems. J. Mater. Civ. Eng. 2019, 31, 04019118. [Google Scholar] [CrossRef]
- Tomić, N.Z.; Marinković, A.D.; Veljović, D.; Trifković, K.; Lević, S.; Radojević, V.; Heinemann, R.J. A new approach to compatibilization study of EVA/PMMA polymer blend used as an optical fibers adhesive: Mechanical, morphological and thermal properties. Int. J. Adhes. Adhes. 2018, 81, 11–20. [Google Scholar] [CrossRef]
- Kim, T.-K.; Park, J.-S. Comparative Analysis of Domestic and International Test Guidelines for Various Concrete Repair Materials. Materials 2022, 15, 3267. [Google Scholar] [CrossRef] [PubMed]
- Lakhiar, M.T.; Bai, Y.; Wong, L.S.; Paul, S.C.; Anggraini, V.; Kong, S.Y. Mechanical and durability properties of epoxy mortar incorporating coal bottom ash as filler. Constr. Build. Mater. 2022, 315, 125677. [Google Scholar] [CrossRef]
- Shi, C.; Wang, P.; Ma, C.; Zou, X.; Yang, L. Effects of SAE and SBR on properties of rapid hardening repair mortar. J. Build. Eng. 2020, 35, 102000. [Google Scholar] [CrossRef]
- Li, Z. Application of modified epoxy resin in concrete pavement repair works. China Highw. 2021, 12, 108–110. [Google Scholar] [CrossRef]
- Lu, G.; Renken, L.; Li, T.; Wang, D.; Li, H.; Oeser, M. Experimental study on the polyurethane-bound pervious mixtures in the application of permeable pavements. Constr. Build. Mater. 2019, 202, 838–850. [Google Scholar] [CrossRef]
- Leng, C.; Lu, G.; Gao, J.; Liu, P.; Xie, X.; Wang, D. Sustainable Green Pavement Using Bio-Based Polyurethane Binder in Tunnel. Materials 2019, 12, 1990. [Google Scholar] [CrossRef] [PubMed]
- Rebeiz, K.S.; Fowler, D.W.; Paul, D.R. Polymer concrete and polymer mortar using resins based on recycled poly(ethylene terephthalate). J. Appl. Polym. Sci. 1992, 44, 1649–1655. [Google Scholar] [CrossRef]
- Yeon, K.-S.; Cha, J.-Y.; Yeon, J.H. Effects of DMT and TMPTMA on Working Life of Acrylic Polymer Concrete Exposed to Low Curing Temperatures. Polymers 2015, 7, 1587–1598. [Google Scholar] [CrossRef]
- Yeon, K.-S.; Cha, J.-Y.; Yeon, J.H.; Seung, I.B. Effects of TMPTMA and silane on the compressive strength of low-temperature cured acrylic polymer concrete. J. Appl. Polym. Sci. 2014, 131, 40939. [Google Scholar] [CrossRef]
- Son, S.-W.; Yeon, J.H. Mechanical properties of acrylic polymer concrete containing methacrylic acid as an additive. Constr. Build. Mater. 2012, 37, 669–679. [Google Scholar] [CrossRef]
- Mirza, J.; Durand, B.; Bhutta, A.R.; Tahir, M.M. Preferred test methods to select suitable surface repair materials in severe climates. Constr. Build. Mater. 2014, 50, 692–698. [Google Scholar] [CrossRef]
- Liang, P.J. Application of phosphate cement thin-layer repair process in the disposal of surface-type lesions on airport pavements. Transp. Manag. World 2022, 18, 28–30. [Google Scholar]
- Yeon, J. Deformability of Bisphenol A-Type Epoxy Resin-Based Polymer Concrete with Different Hardeners and Fillers. Appl. Sci. 2020, 10, 1336. [Google Scholar] [CrossRef]
- Rebeiz, K.S.; Serhal, S.P.; Craft, A.P. Properties of Polymer Concrete Using Fly Ash. J. Mater. Civ. Eng. 2004, 16, 15–19. [Google Scholar] [CrossRef]
- Gorninski, J.; Molin, D.D.; Kazmierczak, C. Comparative assessment of isophtalic and orthophtalic polyester polymer concrete: Different costs, similar mechanical properties and durability. Constr. Build. Mater. 2007, 21, 546–555. [Google Scholar] [CrossRef]
- Khang, P.H.; Hiep, N.T. Experimental Research on performance of Polymer Concrete Used for Repairing Portland Cement Concrete Pavement of Airport. J. Mater. Eng. Struct. 2020, 7, 583–589. [Google Scholar]
- Li, G.J.; Luo, F. Influence of filler morphology on the performance of epoxy resin road repair mortar. Nonmet. Min. 2019, 42, 35–38. [Google Scholar]
- Chandrasekaran, K.; Srinivasan, L.P.; Meyappan, N. Characterisation of Fibre Reinforced Resin Concrete. Mater. Plast. 2022, 58, 158–170. [Google Scholar] [CrossRef]
- Yemam, D.M.; Kim, B.-J.; Moon, J.-Y.; Yi, C. Mechanical Properties of Epoxy Resin Mortar with Sand Washing Waste as Filler. Materials 2017, 10, 246. [Google Scholar] [CrossRef] [PubMed]
- Guo, Z.; Xu, L.; Lu, S.; Yan, L.; Zhu, Z.; Wang, Y. Study on the Effect of PVAc and Styrene on the Properties and Microstructure of MMA-Based Repair Material for Concrete. Materials 2023, 16, 3984. [Google Scholar] [CrossRef]
- GBT 17671-2021; Test Method for Strength of Cement Mastic Sand (IOS Method). China National Standards: Beijing, China, 2021.
- GBT 2419-2005; Test Method for Flowability of Cementitious Sand. Chinese National Standards: Beijing, China, 2005.
- JGJT 70-2009; Building Mortar Basic Performance Test Method Standard. China Industry Standards: Beijing, China, 2009.
- GBT 3810.6-2016; Test Method for Ceramic Tiles Part 6: Determination of Abrasion Depth of Unglazed Tiles. Chinese National Standards: Beijing, China, 2016.
- DLT5126-2021; Test Procedure for Polymer Modified Cement Mortar. China Electric Power Industry Standards: Beijing, China, 2021.
- JCT 603-2004; Test Method for Drying Shrinkage of Cementitious Sand. China Building Materials Industry Standard: Beijing, China, 2004.
- Powers, T.C. A working hypothesis for further studies of frost resistance of concrete. J. Proc. 1945, 41, 245–272. [Google Scholar]
- Powers, T.C.; Helmuth, R.A. Theory of volume changes in hardened Portland cement paste during freezing. Highw. Res. Board Proc. 1953, 32, 285–297. [Google Scholar]
- Yang, K.; Tang, Z.; Cheng, Z.; Zhao, H.; Feng, R.; Long, G. Mechanical properties of ultra-high strength cement-based materials (UHSC) incorporating metal powders and steel fibers. Constr. Build. Mater. 2021, 318, 125926. [Google Scholar] [CrossRef]
- Wang, Y.; Ge, Y.; Wang, X.; Chen, X.; Li, Q. The effect of powder activated carbon on mechanical properties and pore structures of cement-based mortars. Constr. Build. Mater. 2022, 316, 125798. [Google Scholar] [CrossRef]
- Cai, R.; Qi, H.; Mao, J.; Lv, J.; Jin, D. Improved Crack Resistance and Pore Structure of Cement-Based Materials by Adding EVA Powder. J. Mater. Civ. Eng. 2022, 34, 04022012. [Google Scholar] [CrossRef]
- Wu, Z.W.; Lian, H.Z. High Performance Concrete; China Railway Press: Beijing, China, 1999. [Google Scholar]
- Perkins, P.H. Concrete Structures: Repair Waterproofing and Protection; Applied Science Publishers: Basel, Switzerland, 1997. [Google Scholar] [CrossRef]















| Materials | D10/μm | D50/μm | D90/μm | D (mean)/μm |
|---|---|---|---|---|
| fly ash | 1.06 | 11.55 | 47.21 | 21.44 |
| talc | 1.75 | 8.82 | 31.82 | 13.92 |
| wollastonite | 2.62 | 18.58 | 47.39 | 22.26 |
| MMA | BPO | DOP | PVAc | Styrene |
|---|---|---|---|---|
| 67.38 | 0.41 | 20.21 | 8.40 | 3.60 |
| Fluidity (mm) | Setting Time (min) | Flxural Strength (MPa) | Compressive Strength (MPa) | 28 d Bonding Condition | |||||
|---|---|---|---|---|---|---|---|---|---|
| 1 d | 7 d | 28 d | 1 d | 7 d | 28 d | Bonding Strength (MPa) | Fracture Surface | ||
| 220.00 | 65.00 | 21.65 | 23.59 | 24.79 | 50.88 | 60.13 | 61.79 | >6.25 | Reference mortar specimen |
| Dosage/phr | Fly Ash | Talc | Wollastonite | |||
|---|---|---|---|---|---|---|
| Flexural Bonding Strength/MPa | Fracture Surface | Flexural Bonding Strength/MPa | Fracture Surface | Flexural Bonding Strength/MPa | Fracture Surface | |
| 20 | >5.97 | M | >6.32 | M | >5.99 | M |
| 40 | >5.88 | M | >5.92 | M | >5.81 | M |
| 60 | >6.13 | M | >6.04 | M | >6.04 | M |
| 80 | >5.98 | M | >6.19 | M | >6.17 | M |
| 100 | >6.01 | M | >6.23 | M | >5.92 | M |
| Sample | Dosage/phr | Chord Length of Abrasion Pit/mm | Abrasion Volume/mm3 | Abrasion Mass/g |
|---|---|---|---|---|
| A0 | 0 | 24.0 | 116 | 0.32 |
| F1 | 20 | 22.3 | 92 | 0.27 |
| F2 | 40 | 22.0 | 89 | 0.27 |
| F3 | 60 | 21.5 | 83 | 0.25 |
| F4 | 80 | 21.9 | 88 | 0.25 |
| F5 | 100 | 23.5 | 109 | 0.30 |
| T1 | 20 | 23.0 | 102 | 0.31 |
| T2 | 40 | 22.5 | 95 | 0.27 |
| T3 | 60 | 22.7 | 98 | 0.29 |
| T4 | 80 | 23.2 | 105 | 0.31 |
| T5 | 100 | 23.5 | 109 | 0.31 |
| W1 | 20 | 23.8 | 112 | 0.32 |
| W2 | 40 | 23.5 | 109 | 0.31 |
| W3 | 60 | 23.3 | 107 | 0.31 |
| W4 | 80 | 24.0 | 116 | 0.33 |
| W5 | 100 | 24.3 | 123 | 0.33 |
| Total Pore Volume/mL/g | Average Pore Size/nm | Porosity/% | |
|---|---|---|---|
| A0 | 0.05 | 18.41 | 9.39 |
| F3 | 0.02 | 10.67 | 6.03 |
| T2 | 0.02 | 10.15 | 5.75 |
| W3 | 0.03 | 12.07 | 6.84 |
Disclaimer/Publisher’s Note: The statements, opinions and data contained in all publications are solely those of the individual author(s) and contributor(s) and not of MDPI and/or the editor(s). MDPI and/or the editor(s) disclaim responsibility for any injury to people or property resulting from any ideas, methods, instructions or products referred to in the content. |
© 2024 by the authors. Licensee MDPI, Basel, Switzerland. This article is an open access article distributed under the terms and conditions of the Creative Commons Attribution (CC BY) license (https://creativecommons.org/licenses/by/4.0/).
Share and Cite
Zhu, Z.; Xu, L.; Deng, M.; Lu, S.; Guo, Z.; Yan, L.; Wang, Y. Influence of Different Types of Fillers on the Performance of PMMA-Based Low-Temperature Rapid Repair Mortar. Materials 2024, 17, 2871. https://doi.org/10.3390/ma17122871
Zhu Z, Xu L, Deng M, Lu S, Guo Z, Yan L, Wang Y. Influence of Different Types of Fillers on the Performance of PMMA-Based Low-Temperature Rapid Repair Mortar. Materials. 2024; 17(12):2871. https://doi.org/10.3390/ma17122871
Chicago/Turabian StyleZhu, Zhipeng, Lingling Xu, Min Deng, Shijian Lu, Zemeng Guo, Luchao Yan, and Yang Wang. 2024. "Influence of Different Types of Fillers on the Performance of PMMA-Based Low-Temperature Rapid Repair Mortar" Materials 17, no. 12: 2871. https://doi.org/10.3390/ma17122871
APA StyleZhu, Z., Xu, L., Deng, M., Lu, S., Guo, Z., Yan, L., & Wang, Y. (2024). Influence of Different Types of Fillers on the Performance of PMMA-Based Low-Temperature Rapid Repair Mortar. Materials, 17(12), 2871. https://doi.org/10.3390/ma17122871

