Modulating Electron Density of Boron–Oxygen Groups in Borate via Metal Electronegativity for Propane Oxidative Dehydrogenation
Abstract
1. Introduction
2. Materials and Methods
2.1. Catalyst Preparation
2.2. Characterization
2.3. Catalytic Performance Evaluation
3. Results and Discussion
3.1. Design and Synthesis of Borate Catalyst
3.2. Characterization of Borate Structure
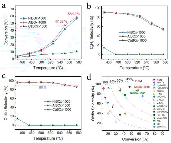
3.3. Catalytic Performance
3.4. Exploration of Active Sites
3.5. Reaction Mechanism
4. Conclusions
Supplementary Materials
Author Contributions
Funding
Institutional Review Board Statement
Informed Consent Statement
Data Availability Statement
Conflicts of Interest
References
- Grant, J.T.; Carrero, C.A.; Goeltl, F.; Venegas, J.; Mueller, P.; Burt, S.P.; Specht, S.E.; McDermott, W.P.; Chieregato, A.; Hermans, I. Selective oxidative dehydrogenation of propane to propene using boron nitride catalysts. Science 2016, 354, 1570–1573. [Google Scholar] [CrossRef] [PubMed]
- Wang, T.-C.; Yin, J.-L.; Guo, X.-J.; Chen, Y.; Lang, W.-Z.; Guo, Y.-J. Modulating the crystallinity of boron nitride for propane oxidative dehydrogenation. J. Catal. 2021, 393, 149–158. [Google Scholar] [CrossRef]
- Venegas, J.M.; Zhang, Z.; Agbi, T.O.; McDermott, W.P.; Alexandrova, A.; Hermans, I. Why Boron Nitride is such a Selective Catalyst for the Oxidative Dehydrogenation of Propane. Angew. Chem. Int. Ed. 2020, 59, 16527–16535. [Google Scholar] [CrossRef]
- Zhou, H.; Yi, X.; Hui, Y.; Wang, L.; Chen, W.; Qin, Y.; Wang, M.; Ma, J.; Chu, X.; Wang, Y.; et al. Isolated boron in zeolite for oxidative dehydrogenation of propane. Science 2021, 372, 76–80. [Google Scholar] [CrossRef] [PubMed]
- Li, P.; Zhang, X.; Wang, J.; Xue, Y.; Yao, Y.; Chai, S.; Zhou, B.; Wang, X.; Zheng, N.; Yao, J. Engineering O-O Species in Boron Nitrous Nanotubes Increases Olefins for Propane Oxidative Dehydrogenation. J. Am. Chem. Soc. 2022, 144, 5930–5936. [Google Scholar] [CrossRef] [PubMed]
- Love, A.M.; Thomas, B.; Specht, S.E.; Hanrahan, M.P.; Venegas, J.M.; Burt, S.P.; Grant, J.T.; Cendejas, M.C.; McDermott, W.P.; Rossini, A.J.; et al. Probing the Transformation of Boron Nitride Catalysts under Oxidative Dehydrogenation Conditions. J. Am. Chem. Soc. 2018, 141, 182–190. [Google Scholar] [CrossRef] [PubMed]
- Cheng, M.; Hou, X.; Yang, Z.; Pan, S. Recent progress in borate-based short-wavelength nonlinear optical crystals with boron–oxygen skeleton modification. Mater. Chem. Front. 2023, 7, 4683–4692. [Google Scholar] [CrossRef]
- Chi, Y.; Xue, H.-G.; Guo, S.-P. Designing Sulfide Borate as a Novel Type of Second-Order Nonlinear-Optical Material. Inorg. Chem. 2020, 59, 1547–1555. [Google Scholar] [CrossRef] [PubMed]
- Cox, J.R.; Keszler, D.A.; Huang, J. The Layered Borates Ba3M(BO3)3 (M = Dy, Ho, Y, Er, Tm, Yb, Lu, and Sc). Chem. Mater. 1994, 6, 2008–2013. [Google Scholar] [CrossRef]
- Mutailipu, M.; Poeppelmeier, K.R.; Pan, S. Borates: A Rich Source for Optical Materials. Chem. Rev. 2020, 121, 1130–1202. [Google Scholar] [CrossRef]
- Huang, C.; Mutailipu, M.; Zhang, F.; Griffith, K.J.; Hu, C.; Yang, Z.; Griffin, J.M.; Poeppelmeier, K.R.; Pan, S. Expanding the chemistry of borates with functional [BO2]− anions. Nat. Commun. 2021, 21, 2597. [Google Scholar] [CrossRef] [PubMed]
- Xia, M.; Li, R. Structure and optical properties of a noncentrosymmetric borate RbSr4(BO3)3. J. Solid State Chem. 2012, 197, 366–369. [Google Scholar] [CrossRef]
- Jun, L.; Shuping, X.; Shiyang, G. FT-IR and Raman spectroscopic study of hydrated borates. Spectrochim. Acta Part A Mol. Biomol. Spectrosc. 1995, 51, 519–532. [Google Scholar] [CrossRef]
- Qian, H.; Sun, F.; Zhang, W.; Huang, C.; Wang, Y.; Fang, K. Efficient metal borate catalysts for oxidative dehydrogenation of propane. Catal. Sci. Technol. 2022, 12, 1996–2005. [Google Scholar] [CrossRef]
- Yang, Y.; Pan, S.; Hou, X.; Wang, C.; Poeppelmeier, K.R.; Chen, Z.; Wu, H.; Zhou, Z. A congruently melting and deep UV nonlinear optical material: Li3Cs2B5O10. J. Mater. Chem. 2011, 21, 2890–2894. [Google Scholar] [CrossRef]
- Huang, H.; He, Y.; Lin, Z.; Kang, L.; Zhang, Y. Two Novel Bi-Based Borate Photocatalysts: Crystal Structure, Electronic Structure, Photoelectrochemical Properties, and Photocatalytic Activity under Simulated Solar Light Irradiation. J. Phys. Chem. C 2013, 117, 22986–22994. [Google Scholar] [CrossRef]
- Lu, X.; Pine, T.S.; Mumm, D.R.; Brouwer, J. Modified Pechini synthesis and characterization of Y-doped strontium titanate perovskite. Solid State Ionics 2007, 178, 1195–1199. [Google Scholar] [CrossRef]
- Huízar-Félix, A.; Hernández, T.; de la Parra, S.; Ibarra, J.; Kharisov, B. Sol–gel based Pechini method synthesis and characterization of Sm1−xCaxFeO3 perovskite 0.1 < x < 0.5. Powder Technol. 2012, 229, 290–293. [Google Scholar] [CrossRef]
- Kumari, V.; Singh, T.; Devi, S.; Tandon, H.; Labarca, M.; Chakraborty, T. Atomic electronegativity based on hardness and floating spherical gaussian orbital approach. J. Math. Chem. 2021, 60, 360–372. [Google Scholar] [CrossRef]
- Onoda, J.; Ondráček, M.; Jelínek, P.; Sugimoto, Y. Electronegativity determination of individual surface atoms by atomic force microscopy. Nat. Commun. 2017, 8, 15155. [Google Scholar] [CrossRef]
- Pang, H.; Lu, Q.; Chen, C.; Liu, X.; Gao, F. Facile synthesis of Ni3(BO3)2 nanoribbons and their antimicrobial, electrochemical and electrical properties. J. Mater. Chem. 2011, 21, 13889–13894. [Google Scholar] [CrossRef]
- Kenawy, S.H.; Hamzawy, E.M.A. Negative Thermal Expansion Occurs in a Bauxite-Based Aluminum Borate Ceramic Whisker with a Nanofiber Microstructure. Met. Mater. Trans. A 2018, 49, 4980–4985. [Google Scholar] [CrossRef]
- Kouhbanani, M.A.J.; Sadeghipour, Y.; Sarani, M.; Sefidgar, E.; Ilkhani, S.; Amani, A.M.; Beheshtkhoo, N. The inhibitory role of synthesized Nickel oxide nanoparticles against Hep-G2, MCF-7, and HT-29 cell lines: The inhibitory role of NiO NPs against Hep-G2, MCF-7, and HT-29 cell lines. Green Chem. Lett. Rev. 2021, 14, 444–454. [Google Scholar] [CrossRef]
- Hiraishi, N.; Sayed, M.; Hill, R.; Tagami, J.; Hayashi, F. Interactions of boron released from surface pre-reacted glass ionomer with enamel/dentin and its effect on pH. Sci. Rep. 2021, 11, 15734. [Google Scholar] [CrossRef] [PubMed]
- Khraisheh, M.; AlMomani, F.; Al-Ghouti, M. Electrospun Al2O3 hydrophobic functionalized membranes for heavy metal recovery using direct contact membrane distillation. Int. J. Energy Res. 2020, 45, 8151–8167. [Google Scholar] [CrossRef]
- Kolar, T.; Mušič, B.; Korošec, R.C.; Kokol, V. Addition of Al(OH)3 versus AlO(OH) nanoparticles on the optical, thermo-mechanical and heat/oxygen transmission properties of microfibrillated cellulose films. Cellulose 2021, 28, 9441–9460. [Google Scholar] [CrossRef]
- Dwivedi, A.; Srivastava, M.; Srivastava, A.; Upadhyay, C.; Srivastava, S.K. Tunable photoluminescence and energy transfer of Eu3+,Ho3+-doped Ca0.05Y1.93-xO2 nanophosphors for warm white LEDs applications. Sci. Rep. 2022, 12, 5824. [Google Scholar] [CrossRef] [PubMed]
- Ajala, E.; Ajala, M.; Ajao, A.; Saka, H.; Oladipo, A. Calcium-carbide residue: A precursor for the synthesis of CaO–Al2O3–SiO2–CaSO4 solid acid catalyst for biodiesel production using waste lard. Chem. Eng. J. Adv. 2020, 4, 100033. [Google Scholar] [CrossRef]
- Hamzehniya, M.; Mobinikhaledi, A.; Ahadi, N.; Sameri, F. Zn complexed on CaO coated with walnut husk extract as an efficient and reusable catalyst for the green synthesis of benzylpyrazolyl coumarin derivatives. React. Kinet. Catal. Lett. 2022, 135, 897–914. [Google Scholar] [CrossRef]
- Shen, Z.; Zhuang, Y.; Li, W.; Huang, X.; Oropeza, F.E.; Hensen, E.J.M.; Hofmann, J.P.; Cui, M.; Tadich, A.; Qi, D.; et al. Increased activity in the oxygen evolution reaction by Fe4+-induced hole states in perovskite La1−xSrxFeO3. J. Mater. Chem. A 2020, 8, 4407–4415. [Google Scholar] [CrossRef]
- Cheng, X.; Zhang, Y.; Wang, J.; Zhang, X.; Sun, C.; Yang, Y.; Wang, X. B-O Oligomers or Ring Species in AlB2: Which is More Selective for Propane Oxidative Dehydrogenation? ACS Catal. 2023, 13, 1630–1637. [Google Scholar] [CrossRef]
- Seemakurthi, R.R.; Canning, G.; Wu, Z.; Miller, J.T.; Datye, A.K.; Greeley, J. Identification of a Selectivity Descriptor for Propane Dehydrogenation through Density Functional and Microkinetic Analysis on Pure Pd and Pd Alloys. ACS Catal. 2021, 11, 9588–9604. [Google Scholar] [CrossRef]
- Ma, R.; Gao, J.; Kou, J.; Dean, D.P.; Breckner, C.J.; Liang, K.; Zhou, B.; Miller, J.T.; Zou, G. Insights into the Nature of Selective Nickel Sites on Ni/Al2O3 Catalysts for Propane Dehydrogenation. ACS Catal. 2022, 12, 12607–12616. [Google Scholar] [CrossRef]
- Robbins, J.P.; Ezeonu, L.; Tang, Z.; Yang, X.; Koel, B.E.; Podkolzin, S.G. Propane Dehydrogenation to Propylene and Propylene Adsorption on Ni and Ni-Sn Catalysts. ChemCatChem 2022, 14, e202101546. [Google Scholar] [CrossRef]
- Du, K.; Hao, M.; Li, Z.; Hong, W.; Liu, J.; Xiao, L.; Zou, S.; Kobayashi, H.; Fan, J. Tuning catalytic selectivity of propane oxidative dehydrogenation via surface polymeric phosphate modification on nickel oxide nanoparticles. Chin. J. Catal. 2019, 40, 1057–1062. [Google Scholar] [CrossRef]
- Heracleous, E.; Lemonidou, A. Ni–Me–O mixed metal oxides for the effective oxidative dehydrogenation of ethane to ethylene—Effect of promoting metal Me. J. Catal. 2010, 270, 67–75. [Google Scholar] [CrossRef]
- Zhu, H.; Rosenfeld, D.C.; Harb, M.; Anjum, D.H.; Hedhili, M.N.; Ould-Chikh, S.; Basset, J.-M. Ni–M–O (M = Sn, Ti, W) Catalysts Prepared by a Dry Mixing Method for Oxidative Dehydrogenation of Ethane. ACS Catal. 2016, 6, 2852–2866. [Google Scholar] [CrossRef]
- Zhang, Z.; Tian, J.; Wu, X.; Surin, I.; Pérez-Ramírez, J.; Hemberger, P.; Bodi, A. Unraveling Radical and Oxygenate Routes in the Oxidative Dehydrogenation of Propane over Boron Nitride. J. Am. Chem. Soc. 2023, 145, 7910–7917. [Google Scholar] [CrossRef]
- Hosono, Y.; Saito, H.; Higo, T.; Watanabe, K.; Ito, K.; Tsuneki, H.; Maeda, S.; Hashimoto, K.; Sekine, Y. Co–CeO2 Interaction Induces the Mars–van Krevelen Mechanism in Dehydrogenation of Ethane. J. Phys. Chem. C 2021, 125, 11411–11418. [Google Scholar] [CrossRef]





Disclaimer/Publisher’s Note: The statements, opinions and data contained in all publications are solely those of the individual author(s) and contributor(s) and not of MDPI and/or the editor(s). MDPI and/or the editor(s) disclaim responsibility for any injury to people or property resulting from any ideas, methods, instructions or products referred to in the content. |
© 2024 by the authors. Licensee MDPI, Basel, Switzerland. This article is an open access article distributed under the terms and conditions of the Creative Commons Attribution (CC BY) license (https://creativecommons.org/licenses/by/4.0/).
Share and Cite
Li, P.; Yao, Y.; Chai, S.; Li, Z.; Xue, F.; Wang, X. Modulating Electron Density of Boron–Oxygen Groups in Borate via Metal Electronegativity for Propane Oxidative Dehydrogenation. Materials 2024, 17, 2868. https://doi.org/10.3390/ma17122868
Li P, Yao Y, Chai S, Li Z, Xue F, Wang X. Modulating Electron Density of Boron–Oxygen Groups in Borate via Metal Electronegativity for Propane Oxidative Dehydrogenation. Materials. 2024; 17(12):2868. https://doi.org/10.3390/ma17122868
Chicago/Turabian StyleLi, Panpan, Yongbin Yao, Shanshan Chai, Zhijian Li, Fan Xue, and Xi Wang. 2024. "Modulating Electron Density of Boron–Oxygen Groups in Borate via Metal Electronegativity for Propane Oxidative Dehydrogenation" Materials 17, no. 12: 2868. https://doi.org/10.3390/ma17122868
APA StyleLi, P., Yao, Y., Chai, S., Li, Z., Xue, F., & Wang, X. (2024). Modulating Electron Density of Boron–Oxygen Groups in Borate via Metal Electronegativity for Propane Oxidative Dehydrogenation. Materials, 17(12), 2868. https://doi.org/10.3390/ma17122868

