Effect of Thermomechanical Loading at Low Temperatures on Damage Development in Glass Fiber Epoxy Laminates
Abstract
:1. Introduction
2. Materials and Methods
2.1. Materials
- EPIDIAN 11M80 (Sarzyna Chemical, Nowa Sarzyna, Poland);
- YD-128 (Aditya Birla Chemicals, Rayong, Thailand);
- YDPN 638A80 (Kukdo, Seoul, Republic of Korea).
2.2. Composite Manufacturing
- (1)
- Resin composition preparation;
- (2)
- Supersaturation of the carrier with the resin composition;
- (3)
- Formation of the board/sheet product using a pressing process.
2.3. Characterization
3. Experimental Results
3.1. Tensile Properties
3.2. Microscope Observation
4. Conclusions
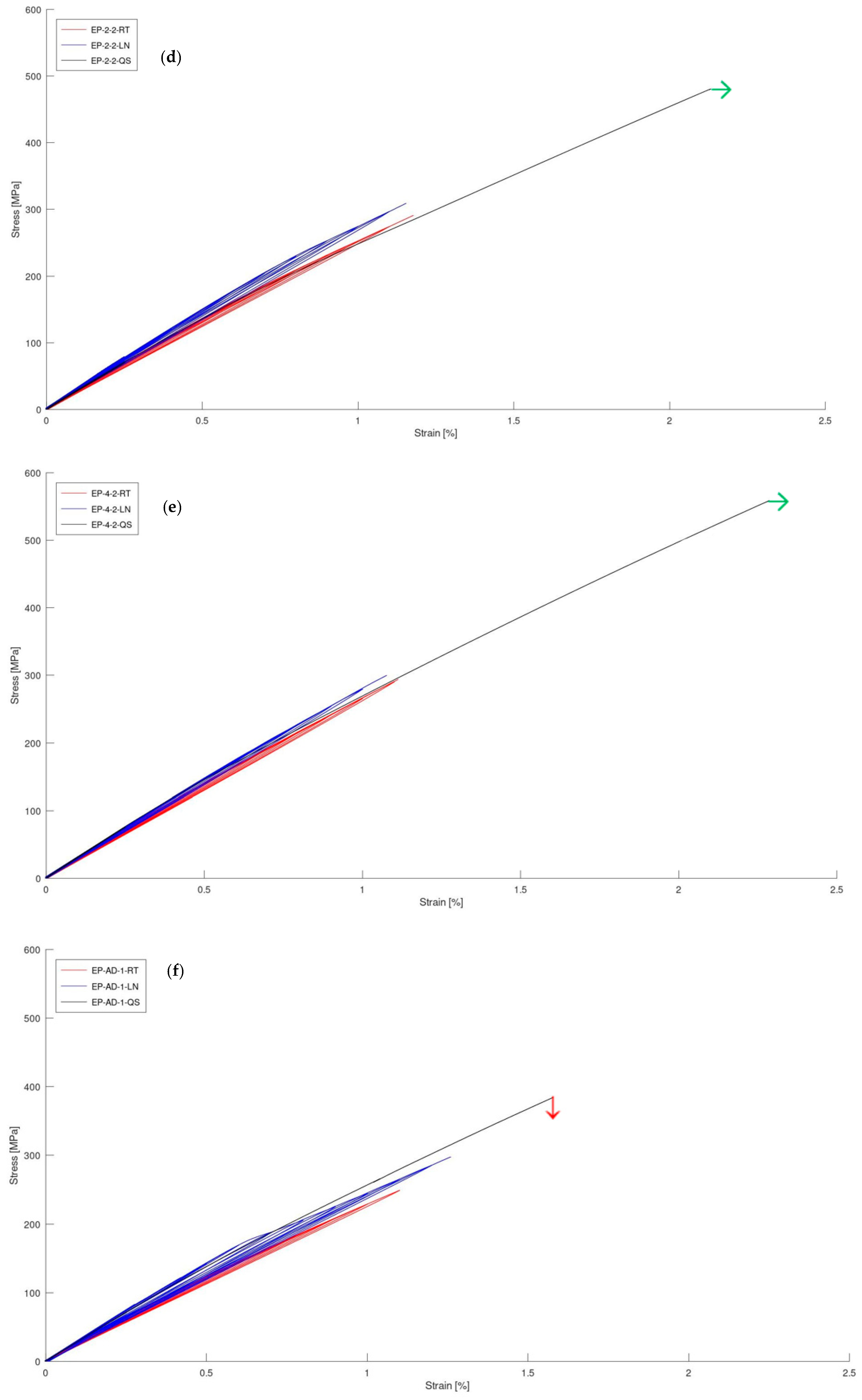
- The decrease in stiffness in EP_1_1 was approximately ≈10% at RT and ≈17% at −50 °C, which indicated that significant damage was induced in these laminates. The rest of the materials exhibited a lesser degree of stiffness degradation (<10%).
- Composites, such as EP_4_2 and the newly developed material EP_AD_1, exhibited the lowest decrease in Young’s modulus at room temperature and at −50 °C. These materials are being considered for further research at −196 °C and are potentially the best candidates for composites suitable for use under cryogenic conditions.
Supplementary Materials
Author Contributions
Funding
Institutional Review Board Statement
Informed Consent Statement
Data Availability Statement
Acknowledgments
Conflicts of Interest
References
- Montesano, J.; McCleave, B.; Singh, C.V. Prediction of ply crack evolution and stiffness degradation in multidirectional symmetric laminates under multiaxial stress states. Compos. Part B Eng. 2018, 133, 53–67. [Google Scholar] [CrossRef]
- Karataş, M.A.; Gökkaya, H. A review on machinability of carbon fiber reinforced polymer (CFRP) and glass fiber reinforced polymer (GFRP) composite materials. Def. Technol. 2018, 14, 318–326. [Google Scholar] [CrossRef]
- Shokrieh, M.M.; Torabizadeh, M.A.; Fereidoon, A. Progressive Failure Analysis of Glass/Epoxy Composites at Low Tem-peratures. Strength Mater. 2012, 44, 314–324. [Google Scholar] [CrossRef]
- Hohe, J.; Neubrand, A.; Fliegener, S.; Beckmann, C.; Schober, M.; Weiss, K.P.; Appel, S. Performance of fiber reinforced materials under cryogenic conditions—A review. Compos. Part A Appl. Sci. Manuf. 2021, 14, 106226. [Google Scholar] [CrossRef]
- Sápi, Z.; Butler, R. Properties of Cryogenic and Low Temperature Composite Materials—A Review. Cryogenics 2020, 111, 103190. [Google Scholar] [CrossRef]
- Chen, D.; Li, J.; Yuan, Y.; Gao, C.; Cui, Y.; Li, S.; Liu, X.; Wang, H.; Peng, C.; Wu, Z. A Review of the Polymer for Cryogenic Application: Methods. Mechanisms and Perspectives. Polymers 2021, 13, 320. [Google Scholar] [CrossRef]
- Torabizadeh, M.A. Tensile. Compressive and Shear Properties of Unidirectional Glass/Epoxy Composites Subjected to Mechanical Loading and Low Temperature Services. Indian J. Eng. Mater. Sci. (IJEMS) 2013, 20, 299–309. [Google Scholar]
- Li, Y.; Wei, Y.; Meng, J.; Zhang, L.; Wang, P.; Zheng, H.; Lei, H. Damage Evolution Characterization of Glass Fabric Com-posites at Cryogenic Temperatures via In-Situ Tensile X-Ray Computed Tomography Tests. Compos. Commun. 2022, 35, 101326. [Google Scholar] [CrossRef]
- Salmeron Perez, N.; Shaw, R.M.; Gower, M.R.L. Mechanical Testing of Fibre-Reinforced Polymer Matrix Composites at Cryogenic Temperatures (−165 °C); NPL: Teddington, UK, 2022. [Google Scholar]
- Kumarasamy, S.; Zainol Abidin, M.S.; Abu Bakar, M.N.; Nazida, M.S.; Mustafa, Z.; Anjang, A. Effects of High and Low Temperature on the Tensile Strength of Glass Fiber Reinforced Polymer Composites. IOP Conf. Ser. Mater. Sci. Eng. 2018, 370, 012021. [Google Scholar] [CrossRef]
- Anjaneyulu, J.; Moizuddin, M.d.; Chandra Kumar, P. Evaluation of Mechanical Behaviour of Glass Fibre-Epoxy Composite Laminates. Mater. Today Proc. 2020, 22, 2899–2905. [Google Scholar] [CrossRef]
- LeBlanc, J.; Cavallaro, P.; Torres, J.; Ponte, D.; Warner, E.; Saenger, R.; Mforsoh, I.N.; Shukla, A. Low Temperature Effects on the Mechanical. Fracture. and Dynamic Behavior of Carbon and E-Glass Epoxy Laminates. Int. J. Lightweight Mater. Manuf. 2020, 3, 344–356. [Google Scholar] [CrossRef]
- Bhavya, S.; Velmurugan, R.; Arunachalam, K. Evaluation of E Glass Epoxy Composite Laminate as an Electromagnetically Transparent Aerospace Material. Mater. Today Proc. 2021, 46, 4825–4834. [Google Scholar] [CrossRef]
- Takeda, T.; Shindo, Y.; Narita, F.; Kumagai, S. Thermoelastic Analysis of Cracked Woven GFRP Laminates at Cryogenic Temperatures. Cryogenics 2002, 42, 451–462. [Google Scholar] [CrossRef]
- Shindo, Y.; Tokairin, H.; Sanada, K.; Horiguchi, K.; Kudo, H. Compression Behavior of Glass-Cloth/Epoxy Laminates at Cryogenic Temperatures. Cryogenics 1999, 39, 821–827. [Google Scholar] [CrossRef]
- Shindo, Y.; Inamoto, A.; Narita, F.; Horiguchi, K. Mode I Fatigue Delamination Growth in GFRP Woven Laminates at Low Temperatures. Eng. Fract. Mech. 2006, 73, 2080–2090. [Google Scholar] [CrossRef]
- Kanno, T.; Kurita, H.; Suzuki, M.; Tamura, H.; Narita, F. Numerical and Experimental Investigation of the Through-Thickness Strength Properties of Woven Glass Fiber Reinforced Polymer Composite Laminates under Combined Tensile and Shear Loading. J. Compos. Sci. 2020, 4, 112. [Google Scholar] [CrossRef]
- Tefera, G.; Adali, S.; Bright, G. Mechanical Behavior of GFRP Laminates Exposed to Thermal and Moist Environmental Conditions: Experimental and Model Assessment. Polymers 2022, 14, 1523. [Google Scholar] [CrossRef]
- Ueki, T.; Nishijima, S.; Izumi, Y. Designing of Epoxy Resin Systems for Cryogenic Use. Cryogenics 2005, 45, 141–148. [Google Scholar] [CrossRef]
- Guo, F.-L.; Tan, D.; Wu, T.; Huang, P.; Li, Y.-Q.; Hu, N.; Fu, S.-Y. Experimental Characterization and Molecular Dynamics Simulation of Thermal Stability. Mechanical Properties and Liquid Oxygen Compatibility of Multiple Epoxy Systems for Cryotank Applications. Extrem. Mech. Lett. 2021, 44, 101227. [Google Scholar] [CrossRef]
- Brem, A.; Gold, B.J.; Auchmann, B.; Tommasini, D.; Tervoort, T.A. Elasticity. Plasticity and Fracture Toughness at Ambient and Cryogenic Temperatures of Epoxy Systems Used for the Impregnation of High-Field Superconducting Magnets. Cryogenics 2021, 115, 103260. [Google Scholar] [CrossRef]
- Suma Sindhu, P.; Ghindani, D.; Mitra, N.; Prabhu, S.S. Morphological Changes in Epoxy Resin (DGEBA/TETA) Exposed to Low Temperatures. J. Adhes. Sci. Technol. 2020, 34, 2262–2273. [Google Scholar] [CrossRef]
- Zhou, Z.; Qian, J.; Zhang, J.; Cui, Y.; Li, Y.; Tan, D.; Long, J.; Wu, H.; Liu, Q.; Guo, F.; et al. Phosphorus and Bromine Modified Epoxy Resin with Enhanced Cryogenic Mechanical Properties and Liquid Oxygen Compatibility Simultaneously. Polym. Test. 2021, 94, 107051. [Google Scholar] [CrossRef]
- Haight, A.E.; Fabian, P.E.; Haynes, M.M. Microcrack Resistant Matrix Materials for Out-of-Autoclave Processing of Composite Cryogenic Tanks. In Proceedings of the SAMPE neXus 2021, Virtual, 29 July 2021; p. 15. [Google Scholar]
- He, Y.X.; Li, Q.; Kuila, T.; Kim, N.H.; Jiang, T.; Lau, K.T.; Lee, J.H. Micro-crack behavior of carbon fiber reinforced thermoplastic modified epoxy composites for cryogenic applications. Compos. Part B Eng. 2013, 44, 533–539. [Google Scholar] [CrossRef]
- Qu, C.-B.; Wu, T.; Huang, G.-W.; Li, N.; Li, M.; Ma, J.-L.; Liu, Y.; Xiao, H.-M. Improving cryogenic mechanical properties of carbon fiber reinforced composites based on epoxy resin toughened by hydroxyl-terminated polyurethane. Compos. Part B Eng. 2021, 210, 108569. [Google Scholar] [CrossRef]
- Fotouhi, M.; Damghani, M.; Leong, M.C.; Fotouhi, S.; Jalalvand, M.; Wisnom, M.R. A comparative study on glass and carbon fibre reinforced laminated composites in scaled quasi-static indentation tests. Compos. Struct. 2020, 245, 112327. [Google Scholar] [CrossRef]
- Krzak, A.; Al-Maqdasi, Z.; Matula, G.; Nowak, A.J.; Joffe, R. Mechanical Properties and Damage Development in GlassFiber Epoxy Laminates Subjected to Tensile Loading at Sub-Zero Temperatures. In Proceedings of the Cryogenic Engineering Conference and International Cryogenic Materials Conference (CEC/ICMC), Honolulu, HI, USA, 9–13 July 2023. [Google Scholar]
- The Joint Stock Company, “7628 Type E Glass Fabric” Technical Data Sheet November 2016.
- Kukdo Chemical, “YDPN638A80” Technical Data Sheet, May 2018.
- Sarzyna Chemical, “Epidian 11M80”, AT/E/472 Technical Data Sheet, November 2021.
- Aditya Birla Chemicals, “EPOTEC YD 128” Technical Data Sheet, March 2016.
- Krzak, A.; Nowak, A.J. Mechanical analysis of multilayer composite materials with duroplastic matrix after exposure to low temperatures. Arch. Mater. Sci. Eng. 2023, 122, 49–57. [Google Scholar] [CrossRef]
- ASTM D3039; Standard Test Method for Tensile Testing of Composite Laminates. ASTM International: West Conshohocken, PA, USA, 2014.
- Rubenis, O.; Spārniņš, E.; Andersons, J.; Joffe, R. The Effect of Crack Spacing Distribution on Stiffness Reduction of Cross-Ply Laminates. Appl. Compos. Mater. 2007, 14, 59–66. [Google Scholar] [CrossRef]
- Joffe, R. Analytical Modeling of Stiffness Reduction in Symmetric and Balanced Laminates Due to Cracks in 90° Layers. Compos. Sci. Technol. 1999, 59, 1641–1652. [Google Scholar] [CrossRef]
- Liu, N.; Ma, B.; Liu, F.; Huang, W.; Xu, B.; Qu, L.; Yang, Y. Progress in research on composite cryogenic propel-lant tank for large aerospace vehicles. Compos. Part A Appl. Sci. Manuf. 2021, 143, 106297. [Google Scholar] [CrossRef]
- Sethi, S.; Rathore, D.K.; Ray, B.C. Effects of temperature and loading speed on interface-dominated strength in fi-bre/polymer composites: An evaluation for in-situ environment. Mater. Des. 2015, 65, 617–626. [Google Scholar] [CrossRef]








| Parameter | Value |
|---|---|
| Weight | 205 g/m2 |
| Weave type | Plain weave |
| Glass type | “E” |
| Fiber volume fraction | 55–60% |
| Symbol | Epoxy Resin Type | Viscosity [Pa × s] | Epoxy Weight Equivalent (EEW) [g/eq] | Hardener (Y) | Fluidity [%] | Resin Content wt/wt [%] |
|---|---|---|---|---|---|---|
| EP_1_1 | YDPN 638 A 80 | 0.1–0.4 | 170–190 | Novolac | 24.6 | 38 |
| EP_2_2 | YD-128 | 0.011–0.013 | 182–192 | DICY | 13 | 33.6 |
| EP_2_1 | YD-128 | 0.011–0.013 | 182–192 | Novolac | 17.9 | 35.5 |
| EP_1_3 | YDPN 638 A 80 | 0.1–0.4 | 170–190 | DDS | 13.1 | 34.6 |
| EP_4_2 | EPIDIAN 11M80 | 1–5 | 200–215 | DICY | 21 | 34 |
| EP_AD_1 | YDPN 638 A 80 | 0.1–0.4 | 170–190 | AN 7030 | 28 | 32.7 |
| Symbol | E [GPa] | Maximum Stress [MPa] | Maximum Strain [%] |
|---|---|---|---|
| EP_1_1 | 27.5 | 422 | 2.01 |
| EP_2_1 | 29.9 | 503 * | 2.09 |
| EP_2_2 | 27.8 | 480 | 2.13 |
| EP_4_2 | 30.2 | 539 | 2.33 |
| EP_AD_1 | 38.2 | 398 * | 1.58 |
| Material | Maximum Stress at RT [MPa] | Maximum Stress at −50 °C [MPa] |
|---|---|---|
| EP_1_1 | 280.4 | 297.7 |
| EP_2_1 | 320.7 | 320.3 |
| EP_1_3 | 368.8 | 361.2 |
| EP_2_2 | 291.1 | 308.8 |
| EP_4_2 | 294.1 | 299.9 |
| EP_AD_1 | 275.3 | 305.6 |
| Material | Ei at RT [GPa] | E1.1% at RT [GPa] | ΔE at RT [%] | Ei at −50 °C [GPa] | E1.1% at −50 °C [GPa] | ΔE at −50 °C [%] |
|---|---|---|---|---|---|---|
| EP_1_1 | 27.4 | 24.5 | 10.6 | 29.8 | 24.8 | 16.8 |
| EP_2_1 | 29.8 | 27.3 | 8.4 | 30.9 | 28.4 | 8.1 |
| EP_1_3 | 35.6 | 32.8 | 7.9 | 37.8 | 34.3 | 9.3 |
| EP_2_2 | 27.9 | 26.3 | 5.7 | 30.6 | 28.4 | 7.2 |
| EP_4_2 | 29.9 | 29.3 | 2.0 | 30.1 | 29.3 | 2.7 |
| EP_AD_1 | 25.7 | 24.4 | 5.1 | 27.8 | 26.2 | 5.8 |
Disclaimer/Publisher’s Note: The statements, opinions and data contained in all publications are solely those of the individual author(s) and contributor(s) and not of MDPI and/or the editor(s). MDPI and/or the editor(s) disclaim responsibility for any injury to people or property resulting from any ideas, methods, instructions or products referred to in the content. |
© 2023 by the authors. Licensee MDPI, Basel, Switzerland. This article is an open access article distributed under the terms and conditions of the Creative Commons Attribution (CC BY) license (https://creativecommons.org/licenses/by/4.0/).
Share and Cite
Krzak, A.; Al-Maqdasi, Z.; Nowak, A.J.; Joffe, R. Effect of Thermomechanical Loading at Low Temperatures on Damage Development in Glass Fiber Epoxy Laminates. Materials 2024, 17, 16. https://doi.org/10.3390/ma17010016
Krzak A, Al-Maqdasi Z, Nowak AJ, Joffe R. Effect of Thermomechanical Loading at Low Temperatures on Damage Development in Glass Fiber Epoxy Laminates. Materials. 2024; 17(1):16. https://doi.org/10.3390/ma17010016
Chicago/Turabian StyleKrzak, Anna, Zainab Al-Maqdasi, Agnieszka J. Nowak, and Roberts Joffe. 2024. "Effect of Thermomechanical Loading at Low Temperatures on Damage Development in Glass Fiber Epoxy Laminates" Materials 17, no. 1: 16. https://doi.org/10.3390/ma17010016
APA StyleKrzak, A., Al-Maqdasi, Z., Nowak, A. J., & Joffe, R. (2024). Effect of Thermomechanical Loading at Low Temperatures on Damage Development in Glass Fiber Epoxy Laminates. Materials, 17(1), 16. https://doi.org/10.3390/ma17010016

