Refined Dual-Phase-Lag Theory for the 1D Behavior of Skin Tissue under Ramp-Type Heating
Abstract
1. Introduction
2. Basic Equations
3. Analytical Solution
4. Laplace Transforms
5. Numerical Results and Discussion
5.1. Refined DPL, Simple DPL, L–S, G–N II, and Classical Models
5.2. Effect of Ramp-Type Heat
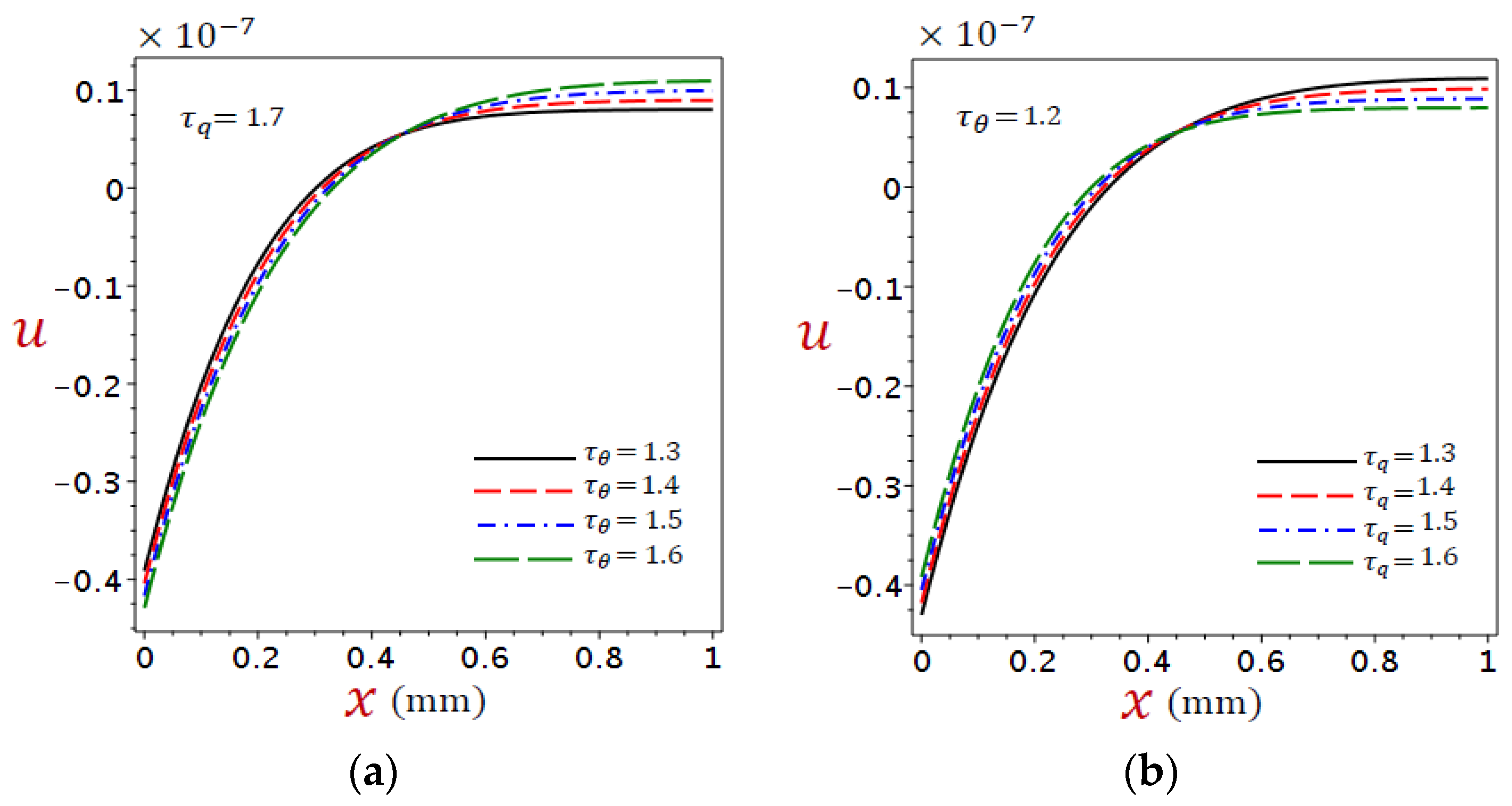
5.3. Impact of the Thermal Relaxation Times
5.4. Impact of Blood Perfusion Rate
5.5. Impact of Heat Conductivity
6. Conclusions
Author Contributions
Funding
Institutional Review Board Statement
Informed Consent Statement
Data Availability Statement
Acknowledgments
Conflicts of Interest
References
- Lau, C.P.; Tai, Y.T.; Lee, P.W. The effects of radiofrequency ablation versus medical therapy on the quality-of-life and exercise capacity in patients with accessory pathway-mediated supraventricular tachycardia: A treatment comparison study. Pacing Clin. Electrophysiol. 1995, 18, 424–432. [Google Scholar] [CrossRef] [PubMed]
- Pennes, H.H. Analysis of tissue and arterial blood temperatures in the resting human forearm. J. Appl. Physiol. 1948, 1, 93–122. [Google Scholar] [CrossRef] [PubMed]
- Biot, M.A. Thermoelasticity and irreversible thermodynamics. J. Appl. Phys. 1956, 27, 240–253. [Google Scholar] [CrossRef]
- Lord, H.W.; Shulman, Y. A generalized dynamical theory of thermoelasticity. J. Mech. Phys. Solids 1967, 15, 299–309. [Google Scholar] [CrossRef]
- Green, A.E.; Lindsay, K.A. Thermoelasticity. J. Elast. 1972, 2, 1–7. [Google Scholar] [CrossRef]
- Tzou, D.Y. A unified field approach for heat conduction from macro-to-microscales. J. Heat Transf. 1995, 117, 8–16. [Google Scholar] [CrossRef]
- Chandrasekharaiah, D.S. Hyperbolic thermoelasticity: A review of recent literature. Appl. Mech. Rev. 1998, 51, 705–729. [Google Scholar] [CrossRef]
- Xu, F.; Lu, T.J.; Seffen, K.A. Biothermomechanical behavior of skin tissue. Acta Mech. Sin. 2008, 24, 1–23. [Google Scholar] [CrossRef]
- Singh, S.; Melnik, R. Thermal ablation of biological tissues in disease treatment: A review of computational models and future directions. Electromagn. Biol. Med. 2020, 39, 49–88. [Google Scholar] [CrossRef] [PubMed]
- Andreozzi, A.; Brunese, L.; Iasiello, M.; Tucci, C.; Vanoli, G.P. Modeling heat transfer in tumors: A review of thermal therapies. Ann. Biomed. Eng. 2019, 47, 676–693. [Google Scholar] [CrossRef]
- Khiavi, N.M.; Maerefat, M.; Zolfaghari, S.A. A new local thermal bioheat model for predicting the temperature of skin thermoreceptors of individual body tissues. J. Therm. Biol. 2018, 74, 290–302. [Google Scholar] [CrossRef] [PubMed]
- Li, X.; Qin, Q.H.; Tin, X. Thermomechanical response of porous biological tissue based on local thermal non-equilibrium. J. Therm. Stress. 2019, 42, 1481–1498. [Google Scholar] [CrossRef]
- Fan, Z.; Zhai, X.; Zhou, L.; Xu, F.; Lu, T. Thermal shock resistance of skin tissue. J. Med. Syst. 2011, 35, 863–867. [Google Scholar] [CrossRef]
- Shen, W.; Zhang, J.; Yang, F. Modeling and numerical simulation of bioheat transfer and biomechanics in soft tissue. Math. Comput. Model. 2005, 41, 1251–1265. [Google Scholar] [CrossRef]
- Afrin, N.; Zhang, Y.; Chen, J.K. Thermal lagging in living biological tissue based on nonequilibrium heat transfer between tissue, arterial and venous bloods. Int. J. Heat Mass Transf. 2011, 54, 2419–2426. [Google Scholar] [CrossRef]
- Youssef, H.M.; Alghamdi, N.A. The exact analytical solution of the dual-phase-lag two-temperature bioheat transfer of a skin tissue subjected to constant heat flux. Sci. Rep. 2020, 10, 15946. [Google Scholar] [CrossRef] [PubMed]
- Kumar, P.; Kumar, D.; Rai, K.N. Numerical simulation of dual-phase-lag bioheat transfer model during thermal therapy. Math. Biosci. 2016, 281, 82–91. [Google Scholar] [CrossRef]
- Xu, F.; Seffen, K.A.; Lu, T.J. Non-Fourier analysis of skin biothermomechanics. Int. J. Heat Mass Transf. 2008, 51, 2237–2259. [Google Scholar] [CrossRef]
- Liu, K.C.; Chen, H.T. Investigation for the dual phase lag behavior of bio-heat transfer. Int. J. Therm. Sci. 2010, 49, 1138–1146. [Google Scholar] [CrossRef]
- Liu, K.C.; Wang, Y.N.; Chen, Y.S. Investigation on the bio-heat transfer with the dual-phase-lag effect. Int. J. Therm. Sci. 2012, 58, 29–35. [Google Scholar] [CrossRef]
- Askarizadeh, H.; Ahmadikia, H. Analytical analysis of the dual-phase-lag model of bioheat transfer equation during transient heating of skin tissue. Heat Mass Transf. 2014, 50, 1673–1684. [Google Scholar] [CrossRef]
- Kumar, D.; Kumar, P.; Rai, K.N. Numerical solution of non-linear dual-phase-lag bioheat transfer equation within skin tissues. Math. Biosci. 2017, 293, 56–63. [Google Scholar] [CrossRef]
- Youssef, H.M.; Alghamdi, N.A. Modeling of one-dimensional thermoelastic dual-phase-lag skin tissue subjected to different types of thermal loading. Sci. Rep. 2020, 10, 3399. [Google Scholar] [CrossRef]
- Li, X.; Li, C.; Xue, Z.; Tian, X. Analytical study of transient thermo-mechanical responses of dual-layer skin tissue with variable thermal material properties. Int. J. Therm. Sci. 2018, 124, 459–466. [Google Scholar] [CrossRef]
- Majchrzak, E.; Stryczyński, M. Dual-phase lag model of heat transfer between blood vessel and biological tissue. Math. Biosci. Eng. 2021, 18, 1573–1589. [Google Scholar] [CrossRef]
- Kumar, R.; Tiwari, R.; Singhal, A.; Mondal, S. Characterization of thermal damage of skin tissue subjected to moving heat source in the purview of dual phase lag theory with memory-dependent derivative. Waves Random Complex Media, 2021; in press. [Google Scholar] [CrossRef]
- Sobhy, M.; Zenkour, A.M. Refined Lord–Shulman Theory for 1D Response of Skin Tissue under Ramp-Type Heat. Materials 2022, 15, 6292. [Google Scholar] [CrossRef]
- Liu, K.C.; Wang, J.C. Analysis of thermal damage to laser irradiated tissue based on the dual-phase-lag model. Int. J. Heat Mass Transf. 2014, 70, 621–628. [Google Scholar] [CrossRef]
- Hobiny, A.D.; Abbas, I.A. Nonlinear analysis of dual-phase lag bio-heat model in living tissues induced by laser irradiation. J. Therm. Stress. 2020, 43, 503–511. [Google Scholar] [CrossRef]
- Zhang, Q.; Sun, Y.; Yang, J. Thermoelastic behavior of skin tissue induced by laser irradiation based on the generalized dual-phase lag model. J. Therm. Biol. 2021, 100, 103038. [Google Scholar] [CrossRef]
- Alghamdi, N.A.; Youssef, H.M. The biothermal analysis of a human eye subjected to exponentially decaying laser radiation under the dual phase-lag heat conduction law. Case Stud. Therm. Eng. 2021, 25, 100863. [Google Scholar] [CrossRef]
- Zhou, J.; Chen, J.K.; Zhang, Y. Dual-phase lag effects on thermal damage to biological tissues caused by laser irradiation. Comput. Biol. Med. 2009, 39, 286–293. [Google Scholar] [CrossRef] [PubMed]
- Li, C.Y.; Lin, S.M.; Wan, Y.Y. Prediction of temperature field and thermal damage of multilayer skin tissues subjected to time-varying laser heating and fluid cooling by a semianalytical method. Math. Probl. Eng. 2020, 2020, 5074280. [Google Scholar] [CrossRef]
- Cattaneo, C. A form of heat conduction equation which eliminates the paradox of instantaneous propagation. Compte Rendus 1958, 247, 431–433. [Google Scholar]
- Vernotte, P. Les paradoxes de la théorie continue de l’équation de la chaleur. Compte Rendus 1958, 246, 3154–3155. [Google Scholar]
- Tzou, D.Y. Experimental support for the Lagging behavior in heat propagation. J. Thermophys. Heat Transf. 1995, 9, 686–693. [Google Scholar] [CrossRef]
- Tzou, D.Y. Lagging Behavior. Macro-to-Micro Scale Heat Transfer, 2nd ed.; John Wiley & Sons Ltd.: Washington, DC, USA, 2015; pp. 62–64. [Google Scholar] [CrossRef]
- Zenkour, A.M. Wave propagation of a gravitated piezo-thermoelastic half-space via a refined multi-phase-lags theory. Mech. Adv. Mater. Struct. 2020, 27, 1923–1934. [Google Scholar] [CrossRef]
- Zenkour, A.M. Thermo-diffusion of solid cylinders based upon refined dual-phase-lag models. Multidiscip. Model. Mater. Struct. 2020, 16, 1417–1434. [Google Scholar] [CrossRef]
- Kutbi, M.A.; Zenkour, A.M. Refined dual-phase-lag Green–Naghdi models for thermoelastic diffusion in an infinite medium. Waves Random Complex Media 2022, 32, 947–967. [Google Scholar] [CrossRef]
- Zenkour, A.M. Thermal diffusion of an unbounded solid with a spherical cavity via refined three-phase-lag Green–Naghdi models. Indian J. Phys. 2022, 96, 1087–1104. [Google Scholar] [CrossRef]
- Zenkour, A.M.; Mashat, D.S.; Allehaibi, A.M. Magneto-thermoelastic response in an unbounded medium containing a spherical hole via multi-time-derivative thermoelasticity theories. Materials 2022, 15, 2432. [Google Scholar] [CrossRef] [PubMed]
- Zenkour, A.M. On generalized three-phase-lag models in photo-thermoelasticity. Int. J. Appl. Mech. 2022, 14, 2250005. [Google Scholar] [CrossRef]
- Kutbi, M.A.; Zenkour, A.M. Modified couple stress model for thermoelastic microbeams due to temperature pulse heating. J. Comput. Appl. Mech. 2022, 53, 83–101. [Google Scholar] [CrossRef]
- Kutbi, M.A.; Zenkour, A.M. Thermoelastic interactions in an unbounded solid due to a continuous heat source using the modified TPL G–N model. Waves Random Complex Media 2022, 32, 1363–1384. [Google Scholar] [CrossRef]
- Allehaibi, A.M.; Zenkour, A.M. Magneto-thermoelastic response in an infinite medium with a spherical hole in the context of high order time-derivatives and triple-phase-lag model. Materials 2022, 15, 6256. [Google Scholar] [CrossRef]
- Youssef, H.M.; Alghamdi, N.A. The Characterization of thermal damage due to two-temperature high-order thermal lagging in a three-dimensional biological tissue subjected to a rectangular laser pulse. Polymers 2020, 12, 922. [Google Scholar] [CrossRef]
- Zhang, Q.; Sun, Y.; Yang, J. Bio-heat response of skin tissue based on three-phase-lag model. Sci. Rep. 2020, 10, 16421. [Google Scholar] [CrossRef]
- Chaudhary, R.K.; Rai, K.N.; Singh, J. A study for multi-layer skin burn injuries based on DPL bioheat model. J. Therm. Anal. Calorim. 2021, 146, 1171–1189. [Google Scholar] [CrossRef]
- Youssef, H.M.; Alghamdi, N.A. Three-dimensional biological tissue under high-order effect of two-temperature thermal lagging to thermal responses due to a laser irradiation. Sci. Rep. 2019, 22, 112–117. [Google Scholar] [CrossRef]
- Youssef, H.M.; Salem, R.A. The dual-phase-lag bioheat transfer of a skin tissue subjected to thermo-electrical shock. J. Eng. Therm. Sci. 2022, 2, 114–123. [Google Scholar] [CrossRef]
- Rai, K.N.; Rai, S.K. Effect of metabolic heat generation and blood perfusion on the heat transfer in the tissues with a blood vessel. Heat Mass Transf. 1999, 36, 74–79. [Google Scholar] [CrossRef]
- Liu, K.C. Nonlinear behavior of thermal lagging in concentric living tissues with Gaussian distribution source. Int. J. Heat Mass Transf. 2011, 54, 2829–2836. [Google Scholar] [CrossRef]
- Green, A.E.; Naghdi, P.M. Thermoelasticity without energy dissipation. J. Elast. 1993, 31, 198–208. [Google Scholar] [CrossRef]
- Kumar, R.; Chawla, V. A study of plane wave propagation in anisotropic three-phase-lag and two-phase-lag model. Int. Commun. Heat Mass Transf. 2011, 38, 1262–1268. [Google Scholar] [CrossRef]
- Zhang, Q.; Sun, Y.; Yang, J. Thermoelastic responses of biological tissue under thermal shock based on three phase lag model. Case Stud. Therm. Eng. 2021, 28, 101376. [Google Scholar] [CrossRef]
- Honig, G.; Hirdes, U. A method for the numerical inversion of the Laplace transform. J. Comput. Appl. Math. 1984, 10, 113–132. [Google Scholar] [CrossRef]
- Hooshmand, P.; Moradi, A.; Khezry, B. Bioheat transfer analysis of biological tissues induced by laser irradiation. Int. J. Therm. Sci. 2015, 90, 214–223. [Google Scholar] [CrossRef]
- Askarizadeh, H.; Ahmadikia, H. Analytical study on the transient heating of a two-dimensional skin tissue using parabolic and hyperbolic bioheat transfer equations. Appl. Math. Model. 2015, 39, 3704–3720. [Google Scholar] [CrossRef]
- McBride, A.; Bargmann, S.; Pond, D.; Limbert, G. Thermoelastic modelling of the skin at finite deformations. J. Therm. Biol. 2016, 62, 201–209. [Google Scholar] [CrossRef]
















| Feature | Value | Unit |
|---|---|---|
| Lame’s constant | ||
| Lame’s constant | ||
| Density | ||
| Tissue’s specific heat | ||
| Thermal conductivity | ||
| Blood density | ||
| Blood’s specific heat | ||
| Linear thermal expansion | ||
| Arterial blood temperature | ||
| Rate of blood perfusion | ||
| Metabolic heat source |
Disclaimer/Publisher’s Note: The statements, opinions and data contained in all publications are solely those of the individual author(s) and contributor(s) and not of MDPI and/or the editor(s). MDPI and/or the editor(s) disclaim responsibility for any injury to people or property resulting from any ideas, methods, instructions or products referred to in the content. |
© 2023 by the authors. Licensee MDPI, Basel, Switzerland. This article is an open access article distributed under the terms and conditions of the Creative Commons Attribution (CC BY) license (https://creativecommons.org/licenses/by/4.0/).
Share and Cite
Zenkour, A.M.; Saeed, T.; Aati, A.M. Refined Dual-Phase-Lag Theory for the 1D Behavior of Skin Tissue under Ramp-Type Heating. Materials 2023, 16, 2421. https://doi.org/10.3390/ma16062421
Zenkour AM, Saeed T, Aati AM. Refined Dual-Phase-Lag Theory for the 1D Behavior of Skin Tissue under Ramp-Type Heating. Materials. 2023; 16(6):2421. https://doi.org/10.3390/ma16062421
Chicago/Turabian StyleZenkour, Ashraf M., Tareq Saeed, and Amal M. Aati. 2023. "Refined Dual-Phase-Lag Theory for the 1D Behavior of Skin Tissue under Ramp-Type Heating" Materials 16, no. 6: 2421. https://doi.org/10.3390/ma16062421
APA StyleZenkour, A. M., Saeed, T., & Aati, A. M. (2023). Refined Dual-Phase-Lag Theory for the 1D Behavior of Skin Tissue under Ramp-Type Heating. Materials, 16(6), 2421. https://doi.org/10.3390/ma16062421

