SEM Evaluation of the Marginal Accuracy of Zirconia, Lithium Disilicate, and Composite Single Crowns Created by CAD/CAM Method: Comparative Analysis of Different Materials
Abstract
1. Introduction
2. Materials and Methods
- -
- Group 1 (n = 9): zirconia (Katana Zirconia STML);
- -
- Group 2 (n = 9): lithium disilicate (Cerec Tessera);
- -
- Group 3 (n = 9): composite (Katana Avencia Block).
3. Results
4. Discussion
5. Conclusions
Author Contributions
Funding
Institutional Review Board Statement
Informed Consent Statement
Data Availability Statement
Conflicts of Interest
References
- Karlsson, S. The Fit of Procera Titanium Crowns. An in Vitro and Clinical Study. Acta Odontol. Scand. 1993, 51, 129–134. [Google Scholar] [CrossRef] [PubMed]
- Miyazaki, T.; Hotta, Y. CAD/CAM Systems Available for the Fabrication of Crown and Bridge Restorations. Aust. Dent. J. 2011, 56 (Suppl. 1), 97–106. [Google Scholar] [CrossRef] [PubMed]
- Davidowitz, G.; Kotick, P.G. The Use of CAD/CAM in Dentistry. Dent. Clin. N. Am. 2011, 55, 559–570. [Google Scholar] [CrossRef]
- Ender, A.; Mehl, A. Full Arch Scans: Conventional versus Digital Impressions–an in-Vitro Study. Int. J. Comput. Dent. 2011, 14, 11–21. [Google Scholar]
- Baroudi, K.; Ibraheem, S.N. Assessment of Chair-Side Computer-Aided Design and Computer-Aided Manufacturing Restorations: A Review of the Literature. J. Int. Oral Health 2015, 7, 96–104. [Google Scholar]
- Rodrigues, S.B.; Franken, P.; Celeste, R.K.; Leitune, V.C.B.; Collares, F.M. CAD/CAM or Conventional Ceramic Materials Restorations Longevity: A Systematic Review and Meta-Analysis. J. Prosthodont. Res. 2019, 63, 389–395. [Google Scholar] [CrossRef]
- Valderhaug, J.; Birkeland, J.M. Periodontal Conditions in Patients 5 Years Following Insertion of Fixed Prostheses. Pocket Depth and Loss of Attachment. J. Oral Rehabil. 1976, 3, 237–243. [Google Scholar] [CrossRef]
- Valderhaug, J.; Heloe, L.A. Oral Hygiene in a Group of Supervised Patients with Fixed Prostheses. J. Periodontol. 1977, 48, 221–224. [Google Scholar] [CrossRef]
- Lang, N.P.; Kiel, R.A.; Anderhalden, K. Clinical and Microbiological Effects of Subgingival Restorations with Overhanging or Clinically Perfect Margins. J. Clin. Periodontol. 1983, 10, 563–578. [Google Scholar] [CrossRef]
- Suárez, M.J.; González de Villaumbrosia, P.; Pradíes, G.; Lozano, J.F.L. Comparison of the Marginal Fit of Procera AllCeram Crowns with Two Finish Lines. Int. J. Prosthodont. 2003, 16, 229–232. [Google Scholar]
- Coli, P.; Karlsson, S. Fit of a New Pressure-Sintered Zirconium Dioxide Coping. Int. J. Prosthodont. 2004, 17, 59–64. [Google Scholar] [PubMed]
- Neves, F.D.; Prado, C.J.; Prudente, M.S.; Carneiro, T.A.P.N.; Zancopé, K.; Davi, L.R.; Mendonça, G.; Cooper, L.F.; Soares, C.J. Micro-Computed Tomography Evaluation of Marginal Fit of Lithium Disilicate Crowns Fabricated by Using Chairside CAD/CAM Systems or the Heat-Pressing Technique. J. Prosthet. Dent. 2014, 112, 1134–1140. [Google Scholar] [CrossRef] [PubMed]
- Holmes, J.R.; Bayne, S.C.; Holland, G.A.; Sulik, W.D. Considerations in Measurement of Marginal Fit. J. Prosthet. Dent. 1989, 62, 405–408. [Google Scholar] [CrossRef] [PubMed]
- American Dental Association. Guide to Dental Materials and Devices, 8th ed.; American Dental Association: Chicago, IL, USA, 1978; pp. 135–137. [Google Scholar]
- McLean, J.W.; von Fraunhofer, J.A. The Estimation of Cement Film Thickness by an in Vivo Technique. Br. Dent. J. 1971, 131, 107–111. [Google Scholar] [CrossRef] [PubMed]
- Contrepois, M.; Soenen, A.; Bartala, M.; Laviole, O. Marginal Adaptation of Ceramic Crowns: A Systematic Review. J. Prosthet. Dent. 2013, 110, 447–454.e10. [Google Scholar] [CrossRef] [PubMed]
- Nawafleh, N.A.; Mack, F.; Evans, J.; Mackay, J.; Hatamleh, M.M. Accuracy and Reliability of Methods to Measure Marginal Adaptation of Crowns and FDPs: A Literature Review. J. Prosthodont. 2013, 22, 419–428. [Google Scholar] [CrossRef]
- Gemalmaz, D.; Ozcan, M.; Yoruç, A.B.; Alkumru, H.N. Marginal Adaptation of a Sintered Ceramic Inlay System before and after Cementation. J. Oral Rehabil. 1997, 24, 646–651. [Google Scholar] [CrossRef]
- Hwang, J.W.; Yang, J.H. Fracture Strength of Copy-Milled and Conventional In-Ceram Crowns. J. Oral Rehabil. 2001, 28, 678–683. [Google Scholar] [CrossRef]
- Naert, I.; Van der Donck, A.; Beckers, L. Precision of Fit and Clinical Evaluation of All-Ceramic Full Restorations Followed between 0.5 and 5 Years. J. Oral Rehabil. 2005, 32, 51–57. [Google Scholar] [CrossRef]
- Sulaiman, F.; Chai, J.; Jameson, L.M.; Wozniak, W.T. A Comparison of the Marginal Fit of In-Ceram, IPS Empress, and Procera Crowns. Int. J. Prosthodont. 1997, 10, 478–484. [Google Scholar]
- Boening, K.W.; Wolf, B.H.; Schmidt, A.E.; Kästner, K.; Walter, M.H. Clinical Fit of Procera AllCeram Crowns. J. Prosthet. Dent. 2000, 84, 419–424. [Google Scholar] [CrossRef] [PubMed]
- Cho, S.-H.; Schaefer, O.; Thompson, G.A.; Guentsch, A. Comparison of Accuracy and Reproducibility of Casts Made by Digital and Conventional Methods. J. Prosthet. Dent. 2015, 113, 310–315. [Google Scholar] [CrossRef] [PubMed]
- Boitelle, P.; Mawussi, B.; Tapie, L.; Fromentin, O. A Systematic Review of CAD/CAM Fit Restoration Evaluations. J. Oral Rehabil. 2014, 41, 853–874. [Google Scholar] [CrossRef] [PubMed]
- Conrad, H.J.; Seong, W.-J.; Pesun, I.J. Current Ceramic Materials and Systems with Clinical Recommendations: A Systematic Review. J. Prosthet. Dent. 2007, 98, 389–404. [Google Scholar] [CrossRef] [PubMed]
- Hamza, T.A.; Sherif, R.M. In Vitro Evaluation of Marginal Discrepancy of Monolithic Zirconia Restorations Fabricated with Different CAD-CAM Systems. J. Prosthet. Dent. 2017, 117, 762–766. [Google Scholar] [CrossRef]
- Giordano, R. Materials for Chairside CAD/CAM-Produced Restorations. J. Am. Dent. Assoc. 2006, 137 (Suppl. 1), 14S–21S. [Google Scholar] [CrossRef]
- Abduo, J.; Lyons, K.; Waddell, N.; Bennani, V.; Swain, M. A Comparison of Fit of CNC-Milled Titanium and Zirconia Frameworks to Implants. Clin. Implant. Dent. Relat. Res. 2012, 14 (Suppl. 1), e20–e29. [Google Scholar] [CrossRef]
- Tinschert, J.; Natt, G.; Mautsch, W.; Spiekermann, H.; Anusavice, K.J. Marginal Fit of Alumina-and Zirconia-Based Fixed Partial Dentures Produced by a CAD/CAM System. Oper. Dent. 2001, 26, 367–374. [Google Scholar]
- Borba, M.; Cesar, P.F.; Griggs, J.A.; Della Bona, Á. Adaptation of All-Ceramic Fixed Partial Dentures. Dent. Mater. Off. Publ. Acad. Dent. Mater. 2011, 27, 1119–1126. [Google Scholar] [CrossRef]
- Hamza, T.A.; Ezzat, H.A.; El-Hossary, M.M.K.; Katamish, H.A.E.M.; Shokry, T.E.; Rosenstiel, S.F. Accuracy of Ceramic Restorations Made with Two CAD/CAM Systems. J. Prosthet. Dent. 2013, 109, 83–87. [Google Scholar] [CrossRef]
- Lins, L.; Bemfica, V.; Queiroz, C.; Canabarro, A. In Vitro Evaluation of the Internal and Marginal Misfit of CAD/CAM Zirconia Copings. J. Prosthet. Dent. 2015, 113, 205–211. [Google Scholar] [CrossRef]
- Krasanaki, M.-E.; Pelekanos, S.; Andreiotelli, M.; Koutayas, S.-O.; Eliades, G. X-Ray Microtomographic Evaluation of the Influence of Two Preparation Types on Marginal Fit of CAD/CAM Alumina Copings: A Pilot Study. Int. J. Prosthodont. 2012, 25, 170–172. [Google Scholar] [PubMed]
- Subasi, G.; Ozturk, N.; Inan, O.; Bozogullari, N. Evaluation of Marginal Fit of Two All-Ceramic Copings with Two Finish Lines. Eur. J. Dent. 2012, 6, 163–168. [Google Scholar] [PubMed]
- Ates, S.M.; Yesil Duymus, Z. Influence of Tooth Preparation Design on Fitting Accuracy of CAD-CAM Based Restorations. J. Esthet. Restor. Dent. 2016, 28, 238–246. [Google Scholar] [CrossRef] [PubMed]
- Demir, K.; Bayraktar, Y. Evaluation of Microleakage and the Degree of Conversion of Three Composite Resins Polymerized at Different Power Densities. Braz. Dent. Sci. 2020, 23. [Google Scholar] [CrossRef]
- Cho, L.; Choi, J.; Yi, Y.J.; Park, C.J. Effect of Finish Line Variants on Marginal Accuracy and Fracture Strength of Ceramic Optimized Polymer/Fiber-Reinforced Composite Crowns. J. Prosthet. Dent. 2004, 91, 554–560. [Google Scholar] [CrossRef] [PubMed]
- Souza, R.O.A.; Özcan, M.; Pavanelli, C.A.; Buso, L.; Lombardo, G.H.L.; Michida, S.M.A.; Mesquita, A.M.M.; Bottino, M.A. Marginal and Internal Discrepancies Related to Margin Design of Ceramic Crowns Fabricated by a CAD/CAM System. J. Prosthodont. 2012, 21, 94–100. [Google Scholar] [CrossRef]
- Rizonaki, M.; Jacquet, W.; Bottenberg, P.; Depla, L.; Boone, M.; De Coster, P.J. Evaluation of Marginal and Internal Fit of Lithium Disilicate CAD-CAM Crowns with Different Finish Lines by Using a Micro-CT Technique. J. Prosthet. Dent. 2022, 127, 890–898. [Google Scholar] [CrossRef]
- Vichi, A.; Zhao, Z.; Paolone, G.; Scotti, N.; Mutahar, M.; Goracci, C.; Louca, C. Factory Crystallized Silicates for Monolithic Metal-Free Restorations: A Flexural Strength and Translucency Comparison Test. Materials 2022, 15, 7834. [Google Scholar] [CrossRef]
- Comba, A.; Paolone, G.; Baldi, A.; Vichi, A.; Goracci, C.; Bertozzi, G.; Scotti, N. Effects of Substrate and Cement Shade on the Translucency and Color of CAD/CAM Lithium-Disilicate and Zirconia Ceramic Materials. Polymers 2022, 14, 1778. [Google Scholar] [CrossRef]
- Spitznagel, F.A.; Boldt, J.; Gierthmuehlen, P.C. CAD/CAM Ceramic Restorative Materials for Natural Teeth. J. Dent. Res. 2018, 97, 1082–1091. [Google Scholar] [CrossRef] [PubMed]
- Kim, J.-H.; Oh, S.; Uhm, S.-H. Effect of the Crystallization Process on the Marginal and Internal Gaps of Lithium Disilicate CAD/CAM Crowns. BioMed Res. Int. 2016, 2016, 8635483. [Google Scholar] [CrossRef] [PubMed]
- Christensen, G.J. Marginal Fit of Gold Inlay Castings. J. Prosthet. Dent. 1966, 16, 297–305. [Google Scholar] [CrossRef] [PubMed]
- Björn, A.L.; Björn, H.; Grkovic, B. Marginal Fit of Restorations and Its Relation to Periodontal Bone Level. II. Crowns. Odontol. Rev. 1970, 21, 337–346. [Google Scholar]
- Baig, M.R.; Al-Tarakemah, Y.; Kasim, N.H.A.; Omar, R. Evaluation of the Marginal Fit of a CAD/CAM Zirconia-Based Ceramic Crown System. Int. J. Prosthodont. 2022, 35, 319–329. [Google Scholar] [CrossRef]
- Alghazzawi, T.F.; Liu, P.-R.; Essig, M.E. The Effect of Different Fabrication Steps on the Marginal Adaptation of Two Types of Glass-Infiltrated Ceramic Crown Copings Fabricated by CAD/CAM Technology. J. Prosthodont. Off. J. Am. Coll. Prosthodont. 2012, 21, 167–172. [Google Scholar] [CrossRef] [PubMed]
- Karataşli, O.; Kursoğlu, P.; Capa, N.; Kazazoğlu, E. Comparison of the Marginal Fit of Different Coping Materials and Designs Produced by Computer Aided Manufacturing Systems. Dent. Mater. J. 2011, 30, 97–102. [Google Scholar] [CrossRef]
- Moldovan, O.; Luthardt, R.G.; Corcodel, N.; Rudolph, H. Three-Dimensional Fit of CAD/CAM-Made Zirconia Copings. Dent. Mater. Off. Publ. Acad. Dent. Mater. 2011, 27, 1273–1278. [Google Scholar] [CrossRef] [PubMed]
- Dauti, R.; Cvikl, B.; Franz, A.; Schwarze, U.Y.; Lilaj, B.; Rybaczek, T.; Moritz, A. Comparison of Marginal Fit of Cemented Zirconia Copings Manufactured after Digital Impression with LavaTM C.O.S and Conventional Impression Technique. BMC Oral Health 2016, 16, 129. [Google Scholar] [CrossRef] [PubMed]
- Zhang, Y.; Lawn, B.R. Novel Zirconia Materials in Dentistry. J. Dent. Res. 2018, 97, 140–147. [Google Scholar] [CrossRef]
- Camposilvan, E.; Leone, R.; Gremillard, L.; Sorrentino, R.; Zarone, F.; Ferrari, M.; Chevalier, J. Aging Resistance, Mechanical Properties and Translucency of Different Yttria-Stabilized Zirconia Ceramics for Monolithic Dental Crown Applications. Dent. Mater. 2018, 34, 879–890. [Google Scholar] [CrossRef] [PubMed]
- Ghodsi, S.; Jafarian, Z. A Review on Translucent Zirconia. Eur. J. Prosthodont. Restor. Dent. 2018, 26, 62–74. [Google Scholar] [CrossRef] [PubMed]
- Paolone, G.; Mandurino, M.; De Palma, F.; Mazzitelli, C.; Scotti, N.; Breschi, L.; Gherlone, E.; Cantatore, G.; Vichi, A. Color Stability of Polymer-Based Composite CAD/CAM Blocks: A Systematic Review. Polymers 2023, 15, 464. [Google Scholar] [CrossRef]
- Quek, S.H.Q.; Yap, A.U.J.; Rosa, V.; Tan, K.B.C.; Teoh, K.H. Effect of Staining Beverages on Color and Translucency of CAD/CAM Composites. J. Esthet. Restor. Dent. 2018, 30, E9–E17. [Google Scholar] [CrossRef]
- Asmussen, E.; Peutzfeldt, A. Influence of UEDMA BisGMA and TEGDMA on selected mechanical properties of experimental resin composites. Dent. Mater. 1998, 14, 51–56. [Google Scholar] [CrossRef]
- Yilmaz, E.Ç. Investigation of three-body wear behavior and hardness of experimental titanium alloys for dental applications in oral environment. Materialwiss. Werkstofftech. 2020, 51, 47–53. [Google Scholar] [CrossRef]
- Yilmaz, E.Ç. Investigation of two-body wear resistance of composite materials for biomaterial application in oral environment: The influence of antagonist material. Mater. Technol. 2020, 35, 159–167. [Google Scholar] [CrossRef]
- Yilmaz, E.Ç. Effect of thermal cycling and microhardness on roughness of composite restorative materials. J. Restor. Dent. 2016, 4, 93. [Google Scholar] [CrossRef]
- Willard, A.; Gabriel Chu, T.-M. The Science and Application of IPS e.Max Dental Ceramic. Kaohsiung J. Med. Sci. 2018, 34, 238–242. [Google Scholar] [CrossRef]
- Comba, A.; Baldi, A.; Carossa, M.; Michelotto Tempesta, R.; Garino, E.; Llubani, X.; Rozzi, D.; Mikonis, J.; Paolone, G.; Scotti, N. Post-Fatigue Fracture Resistance of Lithium Disilicate and Polymer-Infiltrated Ceramic Network Indirect Restorations over Endodontically-Treated Molars with Different Preparation Designs: An In-Vitro Study. Polymers 2022, 14, 5084. [Google Scholar] [CrossRef]
- Anadioti, E.; Aquilino, S.A.; Gratton, D.G.; Holloway, J.A.; Denry, I.; Thomas, G.W.; Qian, F. 3D and 2D Marginal Fit of Pressed and CAD/CAM Lithium Disilicate Crowns Made from Digital and Conventional Impressions. J. Prosthodont. 2014, 23, 610–617. [Google Scholar] [CrossRef] [PubMed]
- Alqahtani, F. Marginal Fit of All-Ceramic Crowns Fabricated Using Two Extraoral CAD/CAM Systems in Comparison with the Conventional Technique. Clin. Cosmet Investig. Dent. 2017, 9, 13–18. [Google Scholar] [CrossRef]
- Kim, J.-H.; Jeong, J.-H.; Lee, J.-H.; Cho, H.-W. Fit of Lithium Disilicate Crowns Fabricated from Conventional and Digital Impressions Assessed with Micro-CT. J. Prosthet. Dent. 2016, 116, 551–557. [Google Scholar] [CrossRef] [PubMed]
- Mostafa, N.Z.; Ruse, N.D.; Ford, N.L.; Carvalho, R.M.; Wyatt, C.C.L. Marginal Fit of Lithium Disilicate Crowns Fabricated Using Conventional and Digital Methodology: A Three-Dimensional Analysis. J. Prosthodont. 2018, 27, 145–152. [Google Scholar] [CrossRef] [PubMed]
- Reich, S.; Wichmann, M.; Nkenke, E.; Proeschel, P. Clinical Fit of All-Ceramic Three-Unit Fixed Partial Dentures, Generated with Three Different CAD/CAM Systems. Eur. J. Oral Sci. 2005, 113, 174–179. [Google Scholar] [CrossRef] [PubMed]
- Beuer, F.; Naumann, M.; Gernet, W.; Sorensen, J.A. Precision of Fit: Zirconia Three-Unit Fixed Dental Prostheses. Clin. Oral Investig. 2009, 13, 343–349. [Google Scholar] [CrossRef]
- Rajan, B.N.; Jayaraman, S.; Kandhasamy, B.; Rajakumaran, I. Evaluation of Marginal Fit and Internal Adaptation of Zirconia Copings Fabricated by Two CAD - CAM Systems: An in Vitro Study. J. Indian Prosthodont. Soc. 2015, 15, 173–178. [Google Scholar] [CrossRef]
- Ortega, R.; Gonzalo, E.; Gomez-Polo, M.; Suárez, M.J. Marginal and Internal Discrepancies of Posterior Zirconia-Based Crowns Fabricated with Three Different CAD/CAM Systems Versus Metal-Ceramic. Int. J. Prosthodont. 2015, 28, 509–511. [Google Scholar] [CrossRef]
- Song, T.-J.; Kwon, T.-K.; Yang, J.-H.; Han, J.-S.; Lee, J.-B.; Kim, S.-H.; Yeo, I.-S. Marginal Fit of Anterior 3-Unit Fixed Partial Zirconia Restorations Using Different CAD/CAM Systems. J. Adv. Prosthodont. 2013, 5, 219–225. [Google Scholar] [CrossRef]
- Al-Dwairi, Z.N.; Alkhatatbeh, R.M.; Baba, N.Z.; Goodacre, C.J. A Comparison of the Marginal and Internal Fit of Porcelain Laminate Veneers Fabricated by Pressing and CAD-CAM Milling and Cemented with 2 Different Resin Cements. J. Prosthet. Dent. 2019, 121, 470–476. [Google Scholar] [CrossRef]
- Keshvad, A.; Hooshmand, T.; Asefzadeh, F.; Khalilinejad, F.; Alihemmati, M.; Van Noort, R. Marginal Gap, Internal Fit, and Fracture Load of Leucite-Reinforced Ceramic Inlays Fabricated by CEREC InLab and Hot-Pressed Techniques. J. Prosthodont. 2011, 20, 535–540. [Google Scholar] [CrossRef] [PubMed]
- Dolev, E.; Bitterman, Y.; Meirowitz, A. Comparison of Marginal Fit between CAD-CAM and Hot-Press Lithium Disilicate Crowns. J. Prosthet. Dent. 2019, 121, 124–128. [Google Scholar] [CrossRef] [PubMed]
- da Costa, J.B.; Pelogia, F.; Hagedorn, B.; Ferracane, J.L. Evaluation of Different Methods of Optical Impression Making on the Marginal Gap of Onlays Created with CEREC 3D. Oper. Dent. 2010, 35, 324–329. [Google Scholar] [CrossRef]
- Sorensen, J.A. A Standardized Method for Determination of Crown Margin Fidelity. J. Prosthet. Dent. 1990, 64, 18–24. [Google Scholar] [CrossRef]
- Liedke, G.S.; Spin-Neto, R.; Vizzotto, M.B.; Da Silveira, P.F.; Silveira, H.E.D.; Wenzel, A. Diagnostic Accuracy of Conventional and Digital Radiography for Detecting Misfit between the Tooth and Restoration in Metal-Restored Teeth. J. Prosthet. Dent. 2015, 113, 39–47. [Google Scholar] [CrossRef]
- Reich, S.; Uhlen, S.; Gozdowski, S.; Lohbauer, U. Measurement of Cement Thickness under Lithium Disilicate Crowns Using an Impression Material Technique. Clin. Oral Investig. 2011, 15, 521–526. [Google Scholar] [CrossRef]
- Rahme, H.Y.; Tehini, G.E.; Adib, S.M.; Ardo, A.S.; Rifai, K.T. In Vitro Evaluation of the “Replica Technique” in the Measurement of the Fit of Procera Crowns. J. Contemp. Dent. Pr. 2008, 9, 25–32. [Google Scholar]
- Mitchell, C.A.; Pintado, M.R.; Douglas, W.H. Nondestructive, in Vitro Quantification of Crown Margins. J. Prosthet. Dent. 2001, 85, 575–584. [Google Scholar] [CrossRef]
- Liang, S.; Yuan, F.; Luo, X.; Yu, Z.; Tang, Z. Digital Evaluation of Absolute Marginal Discrepancy: A Comparison of Ceramic Crowns Fabricated with Conventional and Digital Techniques. J. Prosthet. Dent. 2018, 120, 525–529. [Google Scholar] [CrossRef]
- Ng, J.; Ruse, D.; Wyatt, C. A Comparison of the Marginal Fit of Crowns Fabricated with Digital and Conventional Methods. J. Prosthet. Dent. 2014, 112, 555–560. [Google Scholar] [CrossRef]
- Baldi, A.; Comba, A.; Tempesta, R.M.; Carossa, M.; Pereira, G.K.R.; Valandro, L.F.; Paolone, G.; Vichi, A.; Goracci, C.; Scotti, N. External Marginal Gap Variation and Residual Fracture Resistance of Composite and Lithium-Silicate CAD/CAM Overlays after Cyclic Fatigue over Endodontically-Treated Molars. Polymers 2021, 13, 3002. [Google Scholar] [CrossRef]
- Baldi, A.; Comba, A.; Ferrero, G.; Italia, E.; Michelotto Tempesta, R.; Paolone, G.; Mazzoni, A.; Breschi, L.; Scotti, N. External Gap Progression after Cyclic Fatigue of Adhesive Overlays and Crowns Made with High Translucency Zirconia or Lithium Silicate. J. Esthet. Restor. Dent. 2022, 34, 557–564. [Google Scholar] [CrossRef]
- Papadiochou, S.; Pissiotis, A.L. Marginal Adaptation and CAD-CAM Technology: A Systematic Review of Restorative Material and Fabrication Techniques. J. Prosthet. Dent. 2018, 119, 545–551. [Google Scholar] [CrossRef] [PubMed]
- Pimenta, M.A.; Frasca, L.C.; Lopes, R.; Rivaldo, E. Evaluation of Marginal and Internal Fit of Ceramic and Metallic Crown Copings Using X-Ray Microtomography (Micro-CT) Technology. J. Prosthet. Dent. 2015, 114, 223–228. [Google Scholar] [CrossRef] [PubMed]
- Gold, S.A.; Ferracane, J.L.; da Costa, J. Effect of Crystallization Firing on Marginal Gap of CAD/CAM Fabricated Lithium Disilicate Crowns. J. Prosthodont. 2018, 27, 63–66. [Google Scholar] [CrossRef] [PubMed]
- Yilmaz, E.Ç.; Sadeler, R. A Literature Review on Chewing Simulation and Wear Mechanisms of Dental Biomaterials. J. Bio. Tribo. Corros. 2021, 7, 91. [Google Scholar] [CrossRef]
- Yilmaz, E.Ç. Investigation of two-body wear behavior of zirconia-reinforced lithium silicate glass-ceramic for biomedical applications; in vitro chewing simulation. Comput. Methods Biomech. Biomed. Engin. 2020, 24, 806–815. [Google Scholar] [CrossRef] [PubMed]
- Yilmaz, E.Ç. Investigating the Effect of Chewing Force and an Abrasive Medium on the Wear Resistance of Composite Materials by Chewing Simulation. Mech Compos. Mater. 2020, 56, 261–268. [Google Scholar] [CrossRef]
- Ammarullah, M.I.; Santoso, G.; Sugiharto, S.; Supriyono, T.; Wibowo, D.B.; Kurdi, O.; Tauviqirrahman, M.; Jamari, J. Minimizing Risk of Failure from Ceramic-on-Ceramic Total Hip Prosthesis by Selecting Ceramic Materials Based on Tresca Stress. Sustainability 2022, 14, 13413. [Google Scholar] [CrossRef]
- Jamari, J.; Ammarullah, M.I.; Santoso, G.; Sugiharto, S.; Supriyono, T.; Permana, M.S.; Winarni, T.I.; van der Heide, E. Adopted walking condition for computational simulation approach on bearing of hip joint prosthesis: Review over the past 30 years. Heliyon 2022, 8, e12050. [Google Scholar] [CrossRef]








| Product Name | Type | Manufacturer | Composition | Lot. Number |
|---|---|---|---|---|
| Katana Zirconia STML | Zirconia | Kuraray-Noritake, Miyoshi, Japan | 5–5.5 mol% yttria-containing zirconia | EERQF |
| Cerec Tessera | Lithium Disilicate | Dentsply Sirona, Charlotte, CN, USA | Li2O5Si2: 90% 16,007,942 Li3PO4: 5% LiAlSi2O6 (Virgilite): 5% | 16007942 |
| Katana Avencia Block | Composite | Kuraray-Noritake, Miyoshi, Japan | Matrix: UDMA, TEGDMA; filler 62 wt%; compressed nanosized fillers: aluminum oxide (20 nm), SiO2 (40 nm) | 000123 |
| Group 1 (Zirconia) | Group 2 (Lithium Disilicate) | Group 3 (Composite) | p-Value a | |
|---|---|---|---|---|
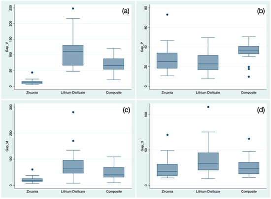
| Vestibular (n = 27) | 14.24 ± 9.7 | 111.64 ± 48.94 | 69.72 ± 25.8 | 0.0001 * |
| Palatal (n = 27) | 27.51 ± 12.81 | 23.96 ± 9.43 | 35.61 ± 8.92 | 0.0001 * |
| Mesial (n = 27) | 20.68 ± 10.24 | 77.3 ± 55.81 | 47.77 ± 23.67 | 0.0001 * |
| Distal (n = 27) | 23.41 ± 13.85 | 36.22 ± 21.33 | 25.71 ± 11.79 | 0.0112 * |
| Total (n = 108) | 21.45 ± 12.58 | 62.28 ± 51.8 | 44.7 ± 24.96 | 0.0001 * |
| Group 1 (Zirconia) (n = 9) | Group 2 (Lithium Disilicate) (n = 9) | Group 3 (Composite) (n = 9) | |
|---|---|---|---|
| Total milling time | 3 h 30 min | 2 h 59 min | 1 h 43 min |
| Milling time/crown | 23.46 min | 19.92 min | 11.44 min |
| Total sintering time | 4 h 39 min | NA | NA |
| Sintering time/crown | 31 min | NA | NA |
Disclaimer/Publisher’s Note: The statements, opinions and data contained in all publications are solely those of the individual author(s) and contributor(s) and not of MDPI and/or the editor(s). MDPI and/or the editor(s) disclaim responsibility for any injury to people or property resulting from any ideas, methods, instructions or products referred to in the content. |
© 2023 by the authors. Licensee MDPI, Basel, Switzerland. This article is an open access article distributed under the terms and conditions of the Creative Commons Attribution (CC BY) license (https://creativecommons.org/licenses/by/4.0/).
Share and Cite
Ferrini, F.; Paolone, G.; Di Domenico, G.L.; Pagani, N.; Gherlone, E.F. SEM Evaluation of the Marginal Accuracy of Zirconia, Lithium Disilicate, and Composite Single Crowns Created by CAD/CAM Method: Comparative Analysis of Different Materials. Materials 2023, 16, 2413. https://doi.org/10.3390/ma16062413
Ferrini F, Paolone G, Di Domenico GL, Pagani N, Gherlone EF. SEM Evaluation of the Marginal Accuracy of Zirconia, Lithium Disilicate, and Composite Single Crowns Created by CAD/CAM Method: Comparative Analysis of Different Materials. Materials. 2023; 16(6):2413. https://doi.org/10.3390/ma16062413
Chicago/Turabian StyleFerrini, Francesco, Gaetano Paolone, Giovanna Laura Di Domenico, Nicolò Pagani, and Enrico Felice Gherlone. 2023. "SEM Evaluation of the Marginal Accuracy of Zirconia, Lithium Disilicate, and Composite Single Crowns Created by CAD/CAM Method: Comparative Analysis of Different Materials" Materials 16, no. 6: 2413. https://doi.org/10.3390/ma16062413
APA StyleFerrini, F., Paolone, G., Di Domenico, G. L., Pagani, N., & Gherlone, E. F. (2023). SEM Evaluation of the Marginal Accuracy of Zirconia, Lithium Disilicate, and Composite Single Crowns Created by CAD/CAM Method: Comparative Analysis of Different Materials. Materials, 16(6), 2413. https://doi.org/10.3390/ma16062413

