Study on Shear Resistance Property of a New PBL Connector with Steel–Rubber Tenon
Abstract
1. Introduction
2. New PBL Connector with Steel–Rubber Tenon
3. Design of New PBL Connector Elements with Steel–Rubber Tenon
4. Finite Element Analysis
4.1. Cell Type Selection and Meshing
4.2. Boundary Conditions and Loading Methods
4.3. Material Modeling
4.3.1. Constitution of Concrete
4.3.2. Constitution of Steel
4.3.3. Constitution of Rubber
4.4. Validation of Finite Element Simulation Results
5. Shear Mechanism Analysis
6. Parametric Study
6.1. Proposal Selection
6.2. Effect of Steel Ring Thickness
6.3. Influence of Rubber Ring Thickness
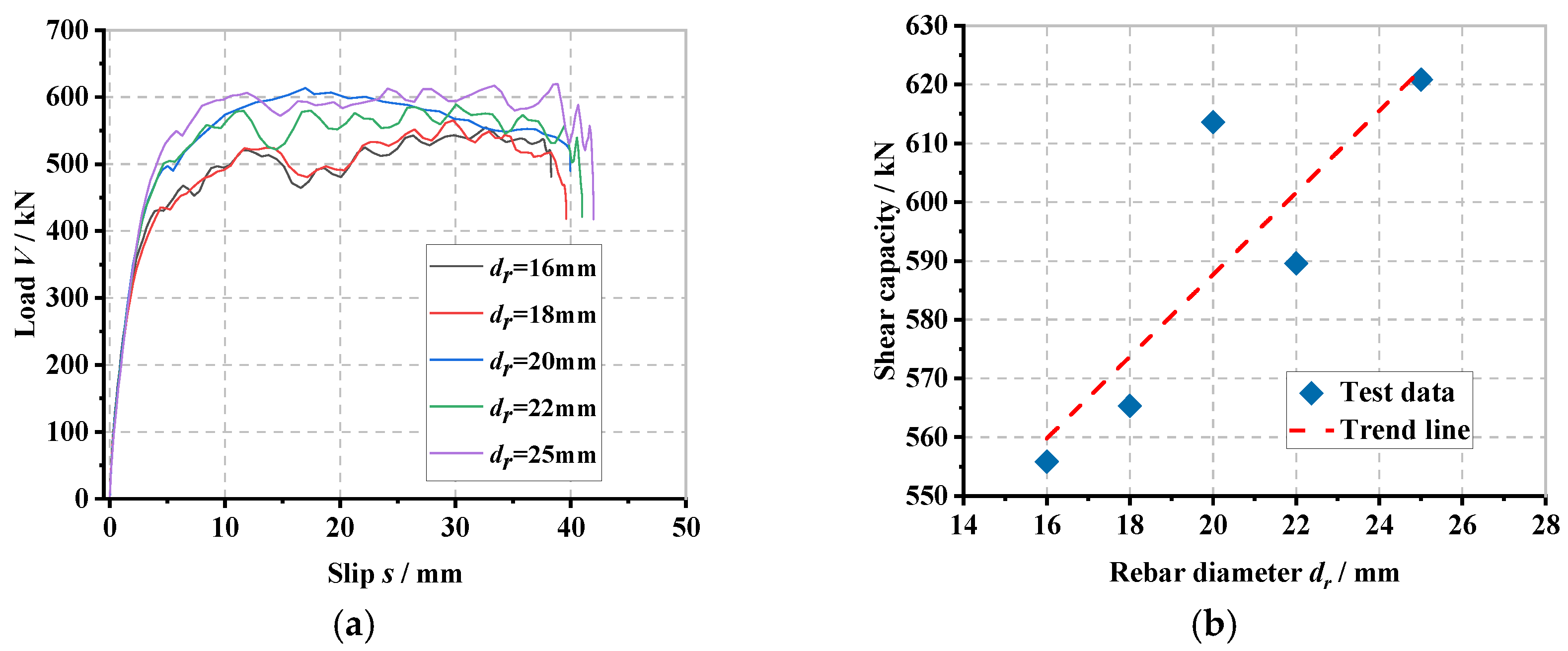
6.4. Influence of Perforated Rebar Diameter
6.5. Influence of Concrete Strength
6.6. Influence of Perforated Steel Plate Strength
7. Prediction of Shear Capacity
7.1. Previous Expressions
7.2. Proposed Expression
8. Conclusions
Author Contributions
Funding
Informed Consent Statement
Data Availability Statement
Conflicts of Interest
References
- Chahnasir, E.S.; Zandi, Y.; Shariati, M.; Dehghani, E.; Toghroli, A.; Mohamad, E.T.; Shariati, A.; Safa, M.; Wakil, K.; Khorami, M. Application of support vector machine with firefly algorithm for investigation of the factors affecting the shear strength of angle shear connectors. Smart Struct. Syst. 2018, 22, 413–424. [Google Scholar]
- Nasrollahi, S.; Maleki, S.; Shariati, M.; Marto, A.; Khorami, M. Investigation of pipe shear connectors using push out test. Steel Compos. Struct. Int. J. 2018, 27, 537–543. [Google Scholar]
- Zheng, S.; Zhao, C.; Liu, Y. Analytical model for load–slip relationship of perfobond shear connector based on push-out test. Materials 2018, 12, 29. [Google Scholar] [CrossRef]
- Ismail, M.; Shariati, M.; Awal, A.A.; Chiong, C.; Chahnasir, E.S.; Porbar, A.; Heydari, A.; Khorami, M. Strengthening of bolted shear joints in industrialized ferrocement construction. Steel Compos. Struct. Int. J. 2018, 28, 681–690. [Google Scholar]
- Ning, W.; He-tao, H.; Hai-sheng, L.; Jin, Q.; Jin-wei, L.; Zeng-yun, Z.; Meng-qi, G. Experimental study on improved new fully-assembled composite bear shear connectors. Eng. Mech. 2021, 38, 89–99. [Google Scholar]
- Zuo, Y.; Liu, Y.; He, J. Experimental investigation on hybrid GFRP-concrete decks with T-shaped perforated ribs subjected to negative moment. Constr. Build. Mater. 2018, 158, 728–741. [Google Scholar] [CrossRef]
- Di, J.; Cao, L.; Han, J. Experimental study on the shear behavior of GFRP–concrete composite beam connections. Materials 2020, 13, 1067. [Google Scholar] [CrossRef]
- Allahyari, H.; Nikbin, I.M.; Rahimi, S.; Heidarpour, A. A new approach to determine strength of Perfobond rib shear connector in steel-concrete composite structures by employing neural network. Eng. Struct. 2018, 157, 235–249. [Google Scholar] [CrossRef]
- Sedghi, Y.; Zandi, Y.; Shariati, M.; Ahmadi, E.; Azar, V.M.; Toghroli, A.; Safa, M.; Mohamad, E.T.; Khorami, M.; Wakil, K. Application of ANFIS technique on performance of C and L shaped angle shear connectors. Smart Struct. Syst. 2018, 22, 335–340. [Google Scholar]
- Yang, Y.; Chen, Y. Experimental study on mechanical behavior of PBL shear connectors. J. Bridge Eng. 2018, 23, 04018062. [Google Scholar] [CrossRef]
- Zhang, Q.; Jia, D.; Bao, Y.; Cheng, Z.; Xiao, L.; Bu, Y. Internal force transfer effect-based fatigue damage evaluation for PBL shear connector groups. J. Constr. Steel Res. 2018, 148, 469–478. [Google Scholar] [CrossRef]
- Wang, L.; Shi, W.; Zhou, Y. Adaptive-passive tuned mass damper for structural aseismic protection including soil–structure interaction. Soil Dyn. Earthq. Eng. 2022, 158, 107298. [Google Scholar] [CrossRef]
- Wang, L.; Nagarajaiah, S.; Shi, W.; Zhou, Y. Study on adaptive-passive eddy current pendulum tuned mass damper for wind-induced vibration control. Struct. Des. Tall Spec. Build. 2020, 29, e1793. [Google Scholar] [CrossRef]
- Jin, S.; Yang, C.; Bai, J. Experimental and Numerical Investigation of a Novel PBL Connection between the RC Frame and Corrugated Steel Plate Shear Wall, Structures; Elsevier: Amsterdam, The Netherlands, 2022; pp. 1235–1246. [Google Scholar]
- Wang, L.; Shi, W.; Zhang, Q.; Zhou, Y. Study on adaptive-passive multiple tuned mass damper with variable mass for a large-span floor structure. Eng. Struct. 2020, 209, 110010. [Google Scholar] [CrossRef]
- Leonhardt, F.; Andrae, W.; Andrae, H.-P.; Harre, W. New, improved bonding means for composite load bearing structures with high fatigue strength. Beton-Und Stahlbetonbau 1987, 82, 325–331. [Google Scholar] [CrossRef]
- Ahn, J.-H.; Kim, S.-H.; Jeong, Y.-J. Shear behaviour of perfobond rib shear connector under static and cyclic loadings. Mag. Concr. Res. 2008, 60, 347–357. [Google Scholar] [CrossRef]
- Ahn, J.-H.; Lee, C.-G.; Won, J.-H.; Kim, S.-H. Shear resistance of the perfobond-rib shear connector depending on concrete strength and rib arrangement. J. Constr. Steel Res. 2010, 66, 1295–1307. [Google Scholar] [CrossRef]
- He, S.; Fang, Z.; Fang, Y.; Liu, M.; Liu, L.; Mosallam, A.S. Experimental study on perfobond strip connector in steel–concrete joints of hybrid bridges. J. Constr. Steel Res. 2016, 118, 169–179. [Google Scholar] [CrossRef]
- Jian-Hua, H.; Mei-Xin, Y.; Qiong, H. Experiment on bearing capacity of PBL shear connectors. China J. Highw. Transp. 2006, 19, 65. [Google Scholar]
- Jianhua, H.; Wenqi, H.; Meixin, Y. Study of influence factors and formula for the bearing capacity of PBL shear connectors. J. Railw. Sci. Eng. 2007, 4, 12–18. [Google Scholar]
- Qingxuan, S.; Fengzhu, Y.; Jiangran, G. Study on Bearing Capacity Influence Factors of the PBL Shear Connector; IOP Conference Series: Earth and Environmental Science; IOP Publishing: Bristol, UK, 2020; p. 012038. [Google Scholar]
- Nakajima, A.; Nguyen, M.H. Strain behavior of penetrating rebar in perfobond strip and its evaluation of shear resistance. J. JSCE 2016, 4, 1–18. [Google Scholar] [CrossRef]
- Su, Q.; Yang, G.; Bradford, M.A. Bearing capacity of perfobond rib shear connectors in composite girder bridges. J. Bridge Eng. 2016, 21, 06015009. [Google Scholar] [CrossRef]
- Wei, A.W.; Zhao, C.; Li, Q.; Zhuang, W. Study on load-slip characteristic curves of perfobond shear connectors in hybrid structures. J. Adv. Concr. Technol. 2014, 12, 413–424. [Google Scholar]
- Li, Z.; Zhao, C.; Deng, K.; Wang, W. Load sharing and slip distribution in multiple holes of a perfobond rib shear connector. J. Struct. Eng. 2018, 144, 04018147. [Google Scholar] [CrossRef]
- Vianna, J.d.C.; De Andrade, S.; Vellasco, P.d.S.; Costa-Neves, L. Experimental study of Perfobond shear connectors in composite construction. J. Constr. Steel Res. 2013, 81, 62–75. [Google Scholar] [CrossRef]
- Xiao, L.; Li, X.; John Ma, Z. Behavior of perforated shear connectors in steel–concrete composite joints of hybrid bridges. J. Bridge Eng. 2017, 22, 04016135. [Google Scholar] [CrossRef]
- Wang, S.; He, J.; Liu, Y.; Li, C.; Xin, H. Shear capacity of a novel joint between corrugated steel web and concrete lower slab. Constr. Build. Mater. 2018, 163, 360–375. [Google Scholar] [CrossRef]
- Kim, S.-H.; Han, O.; Yoon, S.; Boldoo, T. Shear Resistance Assessment of the Y-Type Perfobond Rib Shear Connector under Repeated Loadings. Appl. Sci. 2021, 11, 7667. [Google Scholar] [CrossRef]
- Suzuki, A.; Suzuki, K.; Kimura, Y. Ultimate shear strength of perfobond shear connectors subjected to fully reversed cyclic loading. Eng. Struct. 2021, 248, 113240. [Google Scholar] [CrossRef]
- Suzuki, K.; Suzuki, A.; Kimura, Y. Ultimate Shear Strength of Component Model of Composite Beam with Perfobond Shear Connector. Mater. Sci. Forum 2021, 1047, 214–219. [Google Scholar] [CrossRef]
- Duan, M.; Zhang, S.; Wang, X.; Dong, F. Mechanical behavior in perfobond rib shear connector with UHPC-steel composite structure with coarse aggregate. KSCE J. Civ. Eng. 2020, 24, 1255–1267. [Google Scholar] [CrossRef]
- He, S.; Fang, Z.; Mosallam, A.S. Push-out tests for perfobond strip connectors with UHPC grout in the joints of steel-concrete hybrid bridge girders. Eng. Struct. 2017, 135, 177–190. [Google Scholar] [CrossRef]
- Peng, K.; Liu, L.; Wu, F.; Lei, S.; Cao, J.; Fan, X.; Wang, X. Experimental and Numerical Evaluation on the Performance of Perfobond Leiste Shear Connectors in Steel–SFRCC Composite Beams. Materials 2022, 15, 7237. [Google Scholar] [CrossRef]
- Zheng, S.; Liu, Y.; Liu, Y.; Zhao, C. Experimental and parametric study on the pull-out resistance of a notched perfobond shear connector. Appl. Sci. 2019, 9, 764. [Google Scholar] [CrossRef]
- Zheng, S.; Liu, Y.; Liu, Y.; Zhao, C. Experimental and numerical study on shear resistance of notched perfobond shear connector. Materials 2019, 12, 341. [Google Scholar] [CrossRef]
- Zheng, S.; Liu, Y.; Yoda, T.; Lin, W. Parametric study on shear capacity of circular-hole and long-hole perfobond shear connector. J. Constr. Steel Res. 2016, 117, 64–80. [Google Scholar] [CrossRef]
- Xu, X.; Liu, Y.; He, J. Study on mechanical behavior of rubber-sleeved studs for steel and concrete composite structures. Constr. Build. Mater. 2014, 53, 533–546. [Google Scholar] [CrossRef]
- Zhang, Z.; Xu, X. Static and fatigue behavior of rubber-sleeved stud shear connectors as part of field-cast ultra-high performance concrete connections. Materials 2020, 13, 2269. [Google Scholar] [CrossRef]
- Liu, Y.; Xin, H.; Liu, Y. Experimental and analytical study on shear mechanism of rubber-ring perfobond connector. Eng. Struct. 2019, 197, 109382. [Google Scholar] [CrossRef]
- Walraven, J.C. Model Code 2010-Final Draft: Volume 1; Fib Fédération Internationale du Béton: Lausanne, Switzerland, 2012; Volume 65. [Google Scholar]
- Béton, C.E.-I.d. CEB-FIP Model Code 1990: Design Code; Thomas Telford Publishing: London, UK, 1993. [Google Scholar]
- Leonhardt, F.; Andrä, W.; Andrä, H.; Harre, W. New advantageous shear connection for composite structures with high fatigue strength. Beton Stahlbetonbau 1987, 82, 325–331. [Google Scholar] [CrossRef]
- Hosaka, T.; Mitsuki, K.; Hiragi, H.; Ushijima, Y.; Tachibana, Y.; Watanabe, H. An experimental study on shear characteristics of perfobond strip and its rational strength equations. J. Struct. Eng. JSCE 2000, 46, 1593–1604. [Google Scholar]




















| Material | Modulus of Elasticity Es/Gpa | Yield Strength ƒy/MPa | Ultimate Strength ƒu/MPa | Poisson’s Ratio μ |
|---|---|---|---|---|
| HRB400 rebars | 210 | 400 | 540 | 0.3 |
| Q345 steel plate | 345 | 470 | ||
| Q235 steel ring | 235 | 375 |
| Material | C10/MPa | C20/MPa | D1/MPa−1 | D2/MPa−1 |
|---|---|---|---|---|
| Natural rubber | 29.4 | 0.72 | 0.0017 | 0 |
| Model | ts (mm) | tr (mm) | dr (mm) | ƒcu (MPa) | ƒsy (MPa) | Ks (kN/mm) | Vy (kN) | Vu (kN) |
|---|---|---|---|---|---|---|---|---|
| TS-3 | 3 | 5 | 20 | 60 | 345 | 91.76 | 459.83 | 574.53 |
| TS-4 | 4 | 5 | 20 | 60 | 345 | 93.02 | 467.01 | 589.91 |
| TS-5 | 5 | 5 | 20 | 60 | 345 | 99.13 | 497.17 | 613.59 |
| TS-6 | 6 | 5 | 20 | 60 | 345 | 96.53 | 487.59 | 581.85 |
| TS-7 | 7 | 5 | 20 | 60 | 345 | 98.39 | 498.82 | 580.90 |
| TS-8 | 8 | 5 | 20 | 60 | 345 | 101.29 | 514.65 | 560.66 |
| TR-3 | 5 | 3 | 20 | 60 | 345 | 117.12 | 485.40 | 617.71 |
| TR-4 | 5 | 4 | 20 | 60 | 345 | 104.17 | 476.69 | 605.33 |
| TR-5 | 5 | 5 | 20 | 60 | 345 | 99.13 | 497.17 | 613.60 |
| TR-6 | 5 | 6 | 20 | 60 | 345 | 85.15 | 468.92 | 584.64 |
| TR-7 | 5 | 7 | 20 | 60 | 345 | 78.04 | 468.54 | 576.29 |
| TR-8 | 5 | 8 | 20 | 60 | 345 | 71.81 | 468.42 | 574.20 |
| DR-16 | 5 | 5 | 16 | 60 | 345 | 85.26 | 431.53 | 555.86 |
| DR-18 | 5 | 5 | 18 | 60 | 345 | 86.32 | 435.48 | 565.37 |
| DR-20 | 5 | 5 | 20 | 60 | 345 | 99.13 | 497.17 | 613.60 |
| DR-22 | 5 | 5 | 22 | 60 | 345 | 100.22 | 504.77 | 589.57 |
| DR-25 | 5 | 5 | 25 | 60 | 345 | 106.04 | 549.54 | 620.85 |
| CU-40 | 5 | 5 | 20 | 40 | 345 | 98.31 | 448.46 | 514.29 |
| CU-50 | 5 | 5 | 20 | 50 | 345 | 99.74 | 455.01 | 580.98 |
| CU-60 | 5 | 5 | 20 | 60 | 345 | 99.13 | 497.17 | 613.60 |
| CU-70 | 5 | 5 | 20 | 70 | 345 | 102.78 | 515.49 | 657.98 |
| CU-80 | 5 | 5 | 20 | 80 | 345 | 107.27 | 538.01 | 693.05 |
| SY-235 | 5 | 5 | 20 | 60 | 235 | 93.84 | 456.22 | 615.60 |
| SY-345 | 5 | 5 | 20 | 60 | 345 | 99.13 | 497.17 | 613.60 |
| SY-390 | 5 | 5 | 20 | 60 | 390 | 99.87 | 494.87 | 611.76 |
| SY-420 | 5 | 5 | 20 | 60 | 420 | 99.99 | 501.49 | 619.90 |
| SY-460 | 5 | 5 | 20 | 60 | 460 | 103.30 | 502.19 | 639.94 |
Disclaimer/Publisher’s Note: The statements, opinions and data contained in all publications are solely those of the individual author(s) and contributor(s) and not of MDPI and/or the editor(s). MDPI and/or the editor(s) disclaim responsibility for any injury to people or property resulting from any ideas, methods, instructions or products referred to in the content. |
© 2023 by the authors. Licensee MDPI, Basel, Switzerland. This article is an open access article distributed under the terms and conditions of the Creative Commons Attribution (CC BY) license (https://creativecommons.org/licenses/by/4.0/).
Share and Cite
Lu, W.; Li, D.; Huang, Y.; Wu, J. Study on Shear Resistance Property of a New PBL Connector with Steel–Rubber Tenon. Materials 2023, 16, 2291. https://doi.org/10.3390/ma16062291
Lu W, Li D, Huang Y, Wu J. Study on Shear Resistance Property of a New PBL Connector with Steel–Rubber Tenon. Materials. 2023; 16(6):2291. https://doi.org/10.3390/ma16062291
Chicago/Turabian StyleLu, Wenru, Donghui Li, Yuanming Huang, and Jun Wu. 2023. "Study on Shear Resistance Property of a New PBL Connector with Steel–Rubber Tenon" Materials 16, no. 6: 2291. https://doi.org/10.3390/ma16062291
APA StyleLu, W., Li, D., Huang, Y., & Wu, J. (2023). Study on Shear Resistance Property of a New PBL Connector with Steel–Rubber Tenon. Materials, 16(6), 2291. https://doi.org/10.3390/ma16062291

