Construction and Performance of Superhydrophobic Surfaces for Rusted Iron Artifacts
Abstract
1. Introduction
2. Materials and Methods
2.1. Specimen Preparation
2.2. Characterization
2.3. Evaluation of Corrosion Resistance of Rusted Iron Samples
3. Results and Discussion
3.1. Corrosion Inhibition and Superhydrophobic Modification of Iron Samples with Rust
3.2. Evaluation of Corrosion Resistance after Superhydrophobic Modification with Rust
3.2.1. Polarization Curves
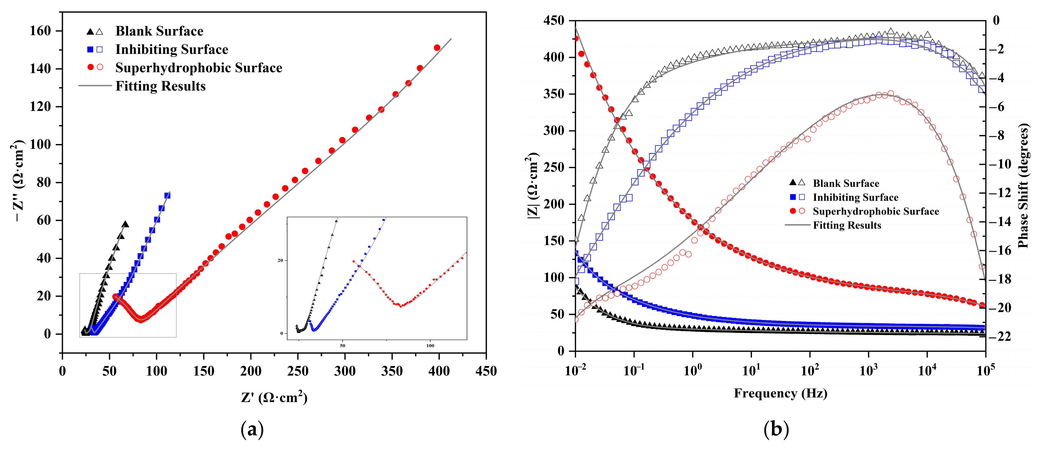
3.2.2. The Electrochemical Impedance Spectroscopy (EIS)
3.3. The Mechanism of Superhydrophobic Modification of Rusted Surfaces
3.3.1. Surface Morphological Changes
3.3.2. Infrared Spectroscopy
3.3.3. X-ray Photoelectron Spectroscopy
3.4. Corrosion Resistance of Superhydrophobic Surfaces
4. Conclusions
Author Contributions
Funding
Institutional Review Board Statement
Informed Consent Statement
Data Availability Statement
Acknowledgments
Conflicts of Interest
References
- Evans, U.; Taylor, C. Mechanism of atmospheric rusting. Corros. Sci. 1972, 12, 227–246. [Google Scholar] [CrossRef]
- Yayun, Z.; Lulu, L.; Qing, W.; Xiaodong, L. Study of superhydrophobic concrete with integral superhydrophobicity and anti-corrosion property. Case Stud. Constr. Mater. 2023, 18, e01899. [Google Scholar]
- Liu, E.; Yin, X.; Hu, J.; Yu, S.; Zhao, Y.; Xiong, W. Fabrication of a biomimetic hierarchical superhydrophobic Cu-Ni coating with self-cleaning and anti-corrosion properties. Colloids Surf. A-Physicochem. Eng. Asp. 2020, 586, 124223. [Google Scholar] [CrossRef]
- Ye, Y.; Kang, Z.; Wang, F.; Long, Y.; Guo, T.; Chen, D.; Kong, J.; Xu, L. Achieving hierarchical structure with superhydrophobicity and enhanced anti-corrosion via electrochemical etching and chemical vapor deposition. Appl. Surf. Sci. 2023, 610, 155362. [Google Scholar] [CrossRef]
- Zheng, H.; Liu, W.; He, S.; Wang, R.; Zhu, J.; Guo, X.; Liu, N.; Guo, R.; Mo, Z. A superhydrophobic polyphenylene sulfide composite coating with anti-corrosion and self-cleaning properties for metal protection. Colloids Surf. A Physicochem. Eng. Asp. 2022, 648, 129152. [Google Scholar] [CrossRef]
- Li, H.; He, Y.; Luo, P.; Zhou, H.; Liu, B.; He, Y.; Song, R.; Zhang, Z.; Fan, Y. Construction and anti-corrosion behavior study of silanol-modified Ni-WS2 superhydrophobic composite coating. Surf. Coat. Technol. 2022, 450, 129008. [Google Scholar] [CrossRef]
- Li, H.; Xin, L.; Zhang, K.; Yin, X.; Yu, S. Fluorine-free fabrication of robust self-cleaning and anti-corrosion superhydrophobic coating with photocatalytic function for enhanced anti-biofouling property. Surf. Coat. Technol. 2022, 438, 128406. [Google Scholar] [CrossRef]
- Zhang, B.; Qiao, M.; Xu, W.; Hou, B. All-organic superhydrophobic coating with anti-corrosion, anti-icing capabilities and prospective marine atmospheric salt-deliquesce self-coalesce protective mechanism. J. Ind. Eng. Chem. 2022, 115, 430–439. [Google Scholar] [CrossRef]
- Cao, J.; Lv, Z.; Liao, B.; Chen, D.; Tong, W.; Zong, Z.; Li, C.; Xiang, T. In-situ fabrication of superhydrophobic surface on copper with excellent anti-icing and anti-corrosion properties. Mater. Today Commun. 2022, 33, 104633. [Google Scholar] [CrossRef]
- Zhao, Y.; Wang, Z.; Lv, Y.; Li, S.; Ge, W.; He, C.; Yang, L.; Ge, D. Conformal fabrication of thick superhydrophobic coatings via reduction of sorption barrier against multiple damages. Surf. Coat. Technol. 2022, 444, 128658. [Google Scholar] [CrossRef]
- Mao, T.; Li, C.; Mao, F.; Xue, Z.; Xu, G.; Amirfazli, A. A durable anti-corrosion superhydrophobic coatings based on carbon nanotubes and SiO2 aerogel for superior protection for Q235 steel. Diam. Relat. Mater. 2022, 129, 109370. [Google Scholar] [CrossRef]
- Han, X.; Ren, L.; Ma, Y.; Gong, X.; Wang, H. A mussel-inspired self-repairing superhydrophobic coating with good anti-corrosion and photothermal properties. Carbon 2022, 197, 27–39. [Google Scholar] [CrossRef]
- Bahrami, H.R.T.; Ahmadi, B.; Saffari, H. Optimal condition for fabricating superhydrophobic copper surfaces with controlled oxidation and modification processes. Mater. Lett. 2017, 189, 62–65. [Google Scholar] [CrossRef]
- Guo, X.; Li, X. An expanding horizon: Facile fabrication of highly superhydrophobic coatings. Mater. Lett. 2017, 186, 357–360. [Google Scholar] [CrossRef]
- Sosa, M.D.; Lombardo, G.; Rojas, G.; Elena Oneto, M.; Martin Negri, R.; D’Accorso, N.B. Superhydrophobic brass and bronze meshes based on electrochemical and chemical self-assembly of stearate. Appl. Surf. Sci. 2018, 465, 116–124. [Google Scholar] [CrossRef]
- Zhang, Y.; Zhang, Z.; Yang, J.; Yue, Y.; Zhang, H. Fabrication of superhydrophobic surface on stainless steel by two-step chemical etching. Chem. Phys. Lett. 2022, 797, 139567. [Google Scholar] [CrossRef]
- Xia, Y.; Fan, G.; Chen, K.; Chen, Y.; He, Z.; Ou, J. Preparation and anti-corrosion performances of grass-like microstructured superhydrophobic surface on copper via solution-immersion. Mater. Lett. 2022, 323, 132482. [Google Scholar] [CrossRef]
- Daneshnia, A.; Raeissi, K.; Salehikahrizsangi, P. Rapid one-step electrodeposition of robust superhydrophobic and oleophobic Ni coating with anti-corrosion and self-cleaning properties. Surf. Coat. Technol. 2022, 450, 129007. [Google Scholar] [CrossRef]
- Liu, Z.; Zhang, C.; Jing, J.; Zhang, X.; Wang, C.; Liu, F.; Jiang, M.; Wang, H. Bristle worm inspired ultra-durable superhydrophobic coating with repairable microstructures and anti-corrosion/scaling properties. Chem. Eng. J. 2022, 436, 135273. [Google Scholar] [CrossRef]
- Jizhou, S.; Qichao, Z.; Yishan, J.; Hong, L.; Binbin, Z. One-step spraying achieved superhydrophobic fluoroSiO2@epoxy coating with corrosion-wear resistance and anti-wetting stability. Colloids Surf. A Physicochem. Eng. Asp. 2023, 658, 130702. [Google Scholar]
- Shu, Y.; Lu, X.; Lu, W.; Su, W.; Wu, Y.; Wei, H.; Xie, Y. Mechanically robust superhydrophobic copper surface with self-cleaning, anti-icing, and corrosion resistance. Surf. Coat. Technol. 2023, 455, 129216. [Google Scholar] [CrossRef]
- Li, X.; Yan, J.; Yu, T.; Zhang, B. Versatile nonfluorinated superhydrophobic coating with self-cleaning, anti-fouling, anti-corrosion and mechanical stability. Colloids Surf. A Physicochem. Eng. Asp. 2022, 642, 128701. [Google Scholar] [CrossRef]
- Wang, C.-X.; Zhang, X.-F. A non-particle and fluorine-free superhydrophobic surface based on one-step electrodeposition of dodecyltrimethoxysilane on mild steel for corrosion protection. Corros. Sci. 2020, 163, 108284. [Google Scholar] [CrossRef]
- Zhang, X.-F.; Chen, R.-J.; Hu, J.-M. Superhydrophobic surface constructed on electrodeposited silica films by two-step method for corrosion protection of mild steel. Corros. Sci. 2016, 104, 336–343. [Google Scholar] [CrossRef]
- Wu, L.-K.; Zhang, X.-F.; Hu, J.-M. Corrosion protection of mild steel by one-step electrodeposition of superhydrophobic silica film. Corros. Sci. 2014, 85, 482–487. [Google Scholar] [CrossRef]
- Tian, J.; Li, C.; Xian, G. A layered superhydrophobic coating with excellent mechanical robustness and anti-corrosion performances. J. Mater. Res. Technol. 2022, 21, 4281–4298. [Google Scholar] [CrossRef]
- Zhang, B.; Yan, J.; Xu, W.; Zhang, Y.; Duan, J.; Hou, B. Robust, scalable and fluorine-free superhydrophobic anti-corrosion coating with shielding functions in marine submerged and atmospheric zones. Mater. Des. 2022, 223, 111246. [Google Scholar] [CrossRef]
- Zhu, P.; Zhu, L.; Ge, F.; Wang, G.; Zeng, Z. Sprayable superhydrophobic coating with high mechanical/chemical robustness and anti-corrosion. Surf. Coat. Technol. 2022, 443, 128609. [Google Scholar] [CrossRef]
- Rocca, E.; Faiz, H.; Dillmann, P.; Neff, D.; Mirambet, F. Electrochemical behavior of thick rust layers on steel artefact: Mechanism of corrosion inhibition. Electrochim. Acta 2019, 316, 219–227. [Google Scholar] [CrossRef]
- Qian, B.; Hou, B.; Zheng, M. The inhibition effect of tannic acid on mild steel corrosion in seawater wet/dry cyclic conditions. Corros. Sci. 2013, 72, 1–9. [Google Scholar] [CrossRef]
- Mei, L.; Liao, L.; Wang, Z.; Xu, C. Interactions between Phosphoric/Tannic Acid and Different Forms of FeOOH. Adv. Mater. Sci. Eng. 2015, 2015, 250836. [Google Scholar] [CrossRef]
- Mofidabadi, A.H.J.; Bahlakeh, G.; Ramezanzadeh, B. Fabrication of a novel hydrophobic anti-corrosion film based on Eu2O3/stearic acid on steel surface; Experimental and detailed computer modeling studies. J. Taiwan Inst. Chem. Eng. 2020, 114, 228–240. [Google Scholar] [CrossRef]
- Hu, J.; He, S.; Wang, Z.; Zhu, J.; Wei, L.; Chen, Z. Stearic acid-coated superhydrophobic Fe2O3/Fe3O4 composite film on N80 steel for corrosion protection. Surf. Coat. Technol. 2019, 359, 47–54. [Google Scholar] [CrossRef]
- Cano, E.; Lafuente, D. Corrosion Inhibitors for the Preservation of Metallic Heritage Artefacts. In Corrosion and Conservation of Cultural Heritage Metallic Artefacts; Dillmann, P., Watkinson, D., Angelini, E., Adriaens, A., Eds.; Woodhead Publishing Limited: Sawston, UK, 2013; pp. 570–594. [Google Scholar]
- Shan, C.; Li, Z.; Wang, L.; Su, X.; Shi, F.; Hu, J. High strength and catalytic activity of polyacrylamide/graphene oxide porous metal alginates aerogels for phenol hydroxylation with H2O2. Catal. Commun. 2017, 101, 116–119. [Google Scholar] [CrossRef]
- Liu, X.; Chen, S.; Ma, H.; Liu, G.; Shen, L. Protection of iron corrosion by stearic acid and stearic imidazoline self-assembled monolayers. Appl. Surf. Sci. 2006, 253, 814–820. [Google Scholar] [CrossRef]
- Tang, Y.; Cai, Y.; Wang, L.; Luo, X.; Wang, B.; Song, Q.; Liu, Z. Formation mechanism of superhydrophobicity of stainless steel by laser-assisted decomposition of stearic acid and its corrosion resistance. Opt. Laser Technol. 2022, 153, 108190. [Google Scholar] [CrossRef]
- Ren, J.; Zheng, L.; Su, Y.; Meng, P.; Zhou, Q.; Zeng, H.; Zhang, T.; Yu, H. Competitive adsorption of Cd(II), Pb(II) and Cu(II) ions from acid mine drainage with zero-valent iron/phosphoric titanium dioxide: XPS qualitative analyses and DFT quantitative calculations. Chem. Eng. J. 2022, 445, 136778. [Google Scholar] [CrossRef]








| Samples | Jcorr /(μA·cm−2) | Ecorr /mV | Rp /(Ω·cm2) | νcorr /(mm·a−1) | βA/mV | βC/mV |
|---|---|---|---|---|---|---|
| Untreated Surface | 111.51 | −680.28 | 233.95 | 1.3116 | 334.54 | −77.212 |
| Corrosion Inhibited | 80.194 | −609.59 | 325.3 | 0.94326 | 318.27 | −92.552 |
| Superhydrophobic Surface | 13.009 | −441.83 | 2005.3 | 0.15302 | 200.82 | −197.65 |
| Samples | Rs /(Ω·cm2) | Rct /(Ω·cm2) | Cdl /(mF·cm−2) | Rf /(Ω·cm2) | Cf /(μF·cm−2) | Rw /(Ω·cm2) |
|---|---|---|---|---|---|---|
| Untreated Surface | 17.04 | 3.537 | 15.757 | 7.154 | 0.0592 | 0.558 |
| Corrosion Inhibited | 1.253 | 10.32 | 18.72 | 32.16 | 0.53642 | 12.72 |
| Superhydrophobic Surface | 6.112 | 82.38 | 4.0725 | 77.72 | 1.2954 | 121.6 |
| Samples | Element | Relative Content | C/Fe |
|---|---|---|---|
| Untreated Surface | C1s | 12.63 | 0.21 |
| O1s | 27.96 | ||
| Fe2p | 59.41 | ||
| Corrosion Inhibited Surface | C1s | 36.59 | 2.34 |
| O1s | 47.75 | ||
| Fe2p | 15.66 | ||
| Superhydrophobic Surface | C1s | 39.49 | 2.10 |
| O1s | 41.75 | ||
| Fe2p | 18.76 |
Disclaimer/Publisher’s Note: The statements, opinions and data contained in all publications are solely those of the individual author(s) and contributor(s) and not of MDPI and/or the editor(s). MDPI and/or the editor(s) disclaim responsibility for any injury to people or property resulting from any ideas, methods, instructions or products referred to in the content. |
© 2023 by the authors. Licensee MDPI, Basel, Switzerland. This article is an open access article distributed under the terms and conditions of the Creative Commons Attribution (CC BY) license (https://creativecommons.org/licenses/by/4.0/).
Share and Cite
Hu, P.; Jia, M.; Xu, H.; Zhang, X.; Hu, D.; Hu, G. Construction and Performance of Superhydrophobic Surfaces for Rusted Iron Artifacts. Materials 2023, 16, 2180. https://doi.org/10.3390/ma16062180
Hu P, Jia M, Xu H, Zhang X, Hu D, Hu G. Construction and Performance of Superhydrophobic Surfaces for Rusted Iron Artifacts. Materials. 2023; 16(6):2180. https://doi.org/10.3390/ma16062180
Chicago/Turabian StyleHu, Pei, Minghao Jia, Hao Xu, Xiaogu Zhang, Dongbo Hu, and Gang Hu. 2023. "Construction and Performance of Superhydrophobic Surfaces for Rusted Iron Artifacts" Materials 16, no. 6: 2180. https://doi.org/10.3390/ma16062180
APA StyleHu, P., Jia, M., Xu, H., Zhang, X., Hu, D., & Hu, G. (2023). Construction and Performance of Superhydrophobic Surfaces for Rusted Iron Artifacts. Materials, 16(6), 2180. https://doi.org/10.3390/ma16062180

