The Improvement of the Tribological Behaviour of Chemically Treated Abaca Fibre-Reinforced Polymer Composites
Abstract
:1. Introduction
2. Experimental Part
2.1. Materials
2.2. Surface Modification of Abaca Fibres
2.3. Fabrication of Polymer Composites
2.4. Single Fibre Pull-Out Test
2.5. Tribological Characterization
2.5.1. Friction and Wear Properties
2.5.2. Fade and Recovery Properties
2.6. Characterization of Worn Surfaces
3. Results and Discussions
3.1. Interfacial Shear Strength Analysis
3.2. Frictional Stability Analysis
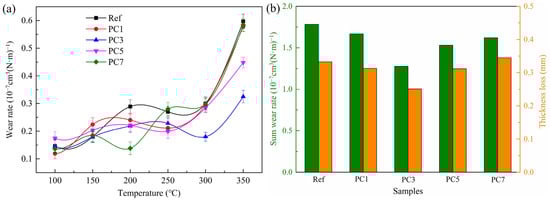
3.3. Wear Performance Analysis
3.4. Friction and Wear Mechanism Analysis
4. Conclusions
Author Contributions
Funding
Institutional Review Board Statement
Informed Consent Statement
Data Availability Statement
Conflicts of Interest
References
- Kumar, S.S.; Raja, V.M. Processing and determination of mechanical properties of Prosopis juliflora bark, banana and coconut fibre reinforced hybrid bio composites for an engineering field. Compos. Sci. Technol. 2021, 208, 108695. [Google Scholar] [CrossRef]
- Shafighfard, T.; Mieloszyk, M. Experimental and numerical study of the additively manufactured carbon fibre reinforced polymers including fibre Bragg grating sensors. Compos. Struct. 2022, 299, 116027. [Google Scholar] [CrossRef]
- Jones, F.R. Composites Science, Technology, and Engineering; Cambridge University Press: Cambridge, UK, 2022. [Google Scholar]
- Shafighfard, T.; Cender, T.A.; Demir, E. Additive manufacturing of compliance optimized variable stiffness composites through short fiber alignment along curvilinear paths. Addit. Manuf. 2021, 37, 101728. [Google Scholar] [CrossRef]
- Vigneshwaran, S.; Sundarakannan, R.; John, K.M.; Johnson, R.D.J.; Prasath, K.A.; Ajith, S.; Arumugaprabu, V.; Uthayakumar, M. Recent advancement in the natural fibre polymer composites: A comprehensive review. J. Clean. Prod. 2020, 277, 124109. [Google Scholar] [CrossRef]
- Liu, Y.C.; Xie, J.; Wu, N.; Ma, Y.H.; Menon, C.; Tong, J. Characterization of natural cellulose fibre from corn stalk waste subjected to different surface treatments. Cellulose 2019, 26, 4707–4719. [Google Scholar] [CrossRef]
- Sanjay, M.R.; Siengchin, S.; Parameswaranpillai, J.; Jawaid, M.; Pruncu, C.I.; Khan, A. A comprehensive review of techniques for natural fibres as reinforcement in composites: Preparation, processing and characterization. Carbohyd. Polym. 2018, 207, 108–121. [Google Scholar]
- Jawaid, M.; Awad, S.; Fouad, H.; Asim, M.; Dhakal, H.N. Improvements in the thermal behaviour of date palm/bamboo fibres reinforced epoxy hybrid composites. Compos. Struct. 2021, 277, 114644. [Google Scholar] [CrossRef]
- Liu, Y.C.; Lv, X.M.; Bao, J.L.; Xie, J.; Tang, X.; Che, J.J.; Ma, Y.H.; Tong, J. Characterization of silane treated and untreated natural cellulosic fibre from corn stalk waste as potential reinforcement in polymer composites. Carbohyd. Polym. 2019, 218, 179–187. [Google Scholar] [CrossRef] [PubMed]
- Singh, T.; Singh, V.; Ranakoti, L.; Kumar, S. Optimization on tribological properties of natural fibre reinforced brake friction composite materials: Effect of objective and subjective weighting methods. Polym. Test. 2023, 117, 107873. [Google Scholar] [CrossRef]
- Seki, Y.; Selli, F.; Erdoğan, Ü.H.; Atagür, M.; Seydibeyoğlu, M.Ö. A review on alternative raw materials for sustainable production: Novel plant fibres. Cellulose 2022, 29, 4877–4918. [Google Scholar] [CrossRef]
- Barari, B.; Omrani, E.; Moghadam, A.D.; Menezes, P.L.; Pillai, K.M.; Rohatgi, P.K. Mechanical, physical and tribological characterization of nano-cellulose fibres reinforced bio-epoxy composites: An attempt to fabricate and scale the ‘Green’ composite. Carbohyd. Polym. 2016, 147, 282–293. [Google Scholar] [CrossRef]
- Liu, Y.C.; Ma, Y.H.; Che, J.J.; Duanmu, L.J.; Zhuang, J.; Tong, J. Natural fibre reinforced non-asbestos organic non-metallic friction composites: Effect of abaca fibre on mechanical and tribological behaviour. Mater. Res. Express 2018, 5, 055101. [Google Scholar] [CrossRef]
- Sinha, A.K.; Bhattacharya, S.; Narang, H.K. Abaca fibre reinforced polymer composites: A review. J. Mater. Sci. 2021, 56, 4569–4587. [Google Scholar] [CrossRef]
- Bledzki, A.K.; Franciszczak, P.; Osman, Z.; Elbadawi, M. Polypropylene biocomposites reinforced with softwood, abaca, jute, and kenaf fibres. Ind. Crop. Prod. 2015, 70, 91–99. [Google Scholar] [CrossRef]
- Kaynak, B.; Spoerk, M.; Shirole, A.; Ziegler, W.; Sapkota, J. Polypropylene/cellulose composites for material extrusion additive manufacturing. Macromol. Mater. Eng. 2018, 303, 1800037. [Google Scholar] [CrossRef]
- Liu, Y.C.; Xie, J.; Wu, N.; Wang, L.D.; Ma, Y.H.; Tong, J. Influence of silane treatment on the mechanical, tribological and morphological properties of corn stalk fibre reinforced polymer composites. Tribol. Int. 2019, 131, 398–405. [Google Scholar] [CrossRef]
- Vinod, A.; Sanjay, M.R.; Siengchin, S. Fatigue and thermo-mechanical properties of chemically treated Morinda citrifolia fibre-reinforced bio-epoxy composite: A sustainable green material for cleaner production. J. Clean. Prod. 2021, 326, 129411. [Google Scholar]
- Shalwan, A.; Yousif, B.F. In state of art: Mechanical and tribological behaviour of polymeric composites based on natural fibres. Mater. Des. 2013, 48, 14–24. [Google Scholar] [CrossRef]
- Gang, D. The influence of surface treatment on the tensile and tribological properties of wood fiber-reinforced polyimide composite. Surf. Interface Anal. 2018, 50, 304–310. [Google Scholar] [CrossRef]
- Siy, B.S.C.; Tan, J.A.X.C.; Viron, K.P.; Sajor, N.J.B.; Santos, G.N.C.; Penaloza, D.P. Application of silane coupling agents to abaca fibres for hydrophobic modification. Cell Chem. Technol. 2020, 54, 365–369. [Google Scholar]
- Liu, Y.C.; Ma, Y.H.; Yu, J.T.; Zhuang, J.; Wu, S.Y.; Tong, J. Development and characterization of alkali treated abaca fibre reinforced friction composites. Compos. Interface 2019, 26, 67–82. [Google Scholar] [CrossRef]
- Liu, Y.C.; Wang, L.N.; Liu, D.X.; Ma, Y.H.; Tian, Y.; Tong, J.; Senthamaraikannan, P.; Saravanakumar, S. Evaluation of wear resistance of corn stalk fibre reinforced brake friction materials prepared by wet granulation. Wear 2019, 432–433, 102918. [Google Scholar] [CrossRef]
- Huang, S.L.; Fu, Q.N.; Yan, L.B.; Kasal, B. Characterization of interfacial properties between fibre and polymer matrix in composite materials—A critical review. J. Mater. Res. Technol. 2021, 13, 1441–1484. [Google Scholar] [CrossRef]
- Fiore, V.; Scalici, T.; Nicoletti, F.; Vitale, G.; Prestipino, M.; Valenza, A. A new eco-friendly chemical treatment of natural fibres: Effect of sodium bicarbonate on properties of sisal fibre and its epoxy composites. Compos. Part B Eng. 2016, 85, 150–160. [Google Scholar] [CrossRef]
- GB 5763-2018; Brake Linins for Automobiles. China Standards Press: Beijing, China, 2018.
- Ji, Z.J.; Luo, W.Y.; Zhou, K.K.; Hou, S.; Zhang, Q.F.; Li, J.Y.; Jin, H.Y. Effects of the shapes and dimensions of mullite whisker on the friction and wear behaviors of resin-based friction materials. Wear 2018, 406–407, 118–125. [Google Scholar] [CrossRef]
- Zhang, K.; Wang, F.X.; Liang, W.Y.; Wang, Z.Q.; Duan, Z.W.; Yang, B. Thermal and mechanical properties of bamboo fibre reinforced epoxy composites. Polymers 2018, 10, 608. [Google Scholar] [CrossRef]
- Huang, J.K.; Young, W.B. The mechanical, hygral, and interfacial strength of continuous bamboo fibre reinforced epoxy composites. Compos. Part B Eng. 2019, 166, 272–283. [Google Scholar] [CrossRef]
- Rajeshkumar, G.; Hariharan, V.; Indran, S.; Sanjay, M.R.; Siengchin, S.; Maran, J.P.; Al-Dhabi, N.A.; Karuppiah, P. Influence of sodium hydroxide (NaOH) treatment on mechanical properties and morphological behaviour of Phoenix sp. fibre/epoxy composites. J. Polym. Environ. 2021, 29, 765–774. [Google Scholar] [CrossRef]
- Gehlen, G.S.; Neis, P.D.; Barros, L.Y.; Poletto, J.C.; Ferreira, N.F.; Amico, S.C. Tribological performance of eco-friendly friction materials with rice husk. Wear 2022, 500–501, 204374. [Google Scholar] [CrossRef]
- Ahmadijokani, F.; Shojaei, A.; Dordanihaghighi, S.; Jafarpour, E.; Mohammadi, S.; Arjmand, M. Effects of hybrid carbon-aramid fibre on performance of non-asbestos organic brake friction composites. Wear 2020, 452, 203280. [Google Scholar] [CrossRef]
- Hwang, H.J.; Jung, S.L.; Cho, K.H.; Kim, Y.J.; Jang, H. Tribological performance of brake friction materials containing carbon nanotubes. Wear 2010, 268, 519–525. [Google Scholar] [CrossRef]
- Öztürk, B.; Arslan, F.; Öztürk, S. Effects of different kinds of fibres on mechanical and tribological properties of brake friction materials. Tribol. Trans. 2013, 56, 536–545. [Google Scholar] [CrossRef]
- Bijwe, J.; Majumdar, N.; Satapathy, B.K. Influence of modified phenolic resins on the fade and recovery behavior of friction materials. Wear 2005, 259, 1068–1078. [Google Scholar] [CrossRef]
- Jara, D.C.; Jang, H. Synergistic effects of the ingredients of brake friction materials on friction and wear: A case study on phenolic resin and potassium titanate. Wear 2019, 430, 222–232. [Google Scholar] [CrossRef]
- Lee, E.J.; Hwang, H.J.; Lee, W.G.; Cho, K.H.; Jang, H. Morphology and toughness of abrasive particles and their effects on the friction and wear of friction materials: A case study with zircon and quartz. Tribol. Lett. 2009, 37, 637–644. [Google Scholar] [CrossRef]
- Yallew, T.B.; Narute, P.; Sharbidre, R.S.; Byen, J.C.; Park, J.; Hong, S.G. Effects of the transfer method and interfacial adhesion on the frictional and wear resistance properties of a graphene-coated polymer. Nanomaterials 2023, 13, 655. [Google Scholar] [CrossRef]
- Li, X.Q.; Jia, X.H.; Yang, J.; Li, Y.; Wang, S.Z.; Song, H.J. Interfacial modification and tribological properties of ZnO nanosheet carbon fibre reinforced poly(hexahydrotriazine) composites. Tribol. Int. 2022, 165, 107310. [Google Scholar] [CrossRef]
- Wei, L.; Choy, Y.S.; Cheung, C.S.; Chu, H.K. Comparison of tribology performance, particle emissions and brake squeal noise between Cu-containing and Cu-free brake materials. Wear 2021, 466–467, 203577. [Google Scholar] [CrossRef]
- Neis, P.D.; Ferreira, N.F.; Fekete, G.; Matozo, L.T.; Masotti, D. Towards a better understanding of the structures existing on the surface of brake pads. Tribol. Int. 2017, 105, 135–147. [Google Scholar] [CrossRef]
- Panaitescu, I.; Koch, T.; Archodoulaki, V.M. Accelerated aging of a glass fibre/polyurethane composite for automotive applications. Polym. Test. 2019, 74, 245–256. [Google Scholar] [CrossRef]
- Barros, L.Y.; Poletto, J.C.; Buneder, D.; Flores, R.; Gehlen, G.; Neis, P.D.; Ferreira, N.F.; Matozo, L.T. An experimental study of the transition in the wear regime of brake friction materials. Polym. Compos. 2021, 42, 6310–6321. [Google Scholar] [CrossRef]
- Singh, T.; Pattnaik, P.; Pruncu, C.I.; Tiwari, A.; Fekete, G. Selection of natural fibres based brake friction composites using hybrid ELECTRE-entropy optimization technique. Polym. Test. 2020, 89, 106614. [Google Scholar] [CrossRef]
- Candeo, S.; Nogueira, A.P.; Leonardi, M.; Straffelini, G. A study of friction, wear and particulate emissions during the bedding stage of a Cu-free friction material. Wear 2021, 486, 204095. [Google Scholar] [CrossRef]
- Lertwassana, W.; Parnklang, T.; Mora, P.; Jubsilp, C.; Rimdusit, S. High performance aramid pulp/carbon fibre-reinforced polybenzoxazine composites as friction materials. Compos. Part B Eng. 2019, 177, 107280. [Google Scholar] [CrossRef]
- Raj, J.S.; Christy, T.V.; Gnanaraj, S.D.; Sugozu, B. Influence of calcium sulfate whiskers on the tribological characteristics of automotive brake friction materials. Eng. Sci. Technol. 2020, 23, 445–451. [Google Scholar]











| F-Ref | F-PC1 | F-PC3 | F-PC5 | F-PC7 | |
|---|---|---|---|---|---|
| IFSS | 7.82 ± 1.21 | 10.36 ± 1.33 | 14.56 ± 1.75 | 12.95 ± 1.16 | 10.53 ± 1.58 |
Disclaimer/Publisher’s Note: The statements, opinions and data contained in all publications are solely those of the individual author(s) and contributor(s) and not of MDPI and/or the editor(s). MDPI and/or the editor(s) disclaim responsibility for any injury to people or property resulting from any ideas, methods, instructions or products referred to in the content. |
© 2023 by the authors. Licensee MDPI, Basel, Switzerland. This article is an open access article distributed under the terms and conditions of the Creative Commons Attribution (CC BY) license (https://creativecommons.org/licenses/by/4.0/).
Share and Cite
Liu, Y.; Ma, Y. The Improvement of the Tribological Behaviour of Chemically Treated Abaca Fibre-Reinforced Polymer Composites. Materials 2023, 16, 7588. https://doi.org/10.3390/ma16247588
Liu Y, Ma Y. The Improvement of the Tribological Behaviour of Chemically Treated Abaca Fibre-Reinforced Polymer Composites. Materials. 2023; 16(24):7588. https://doi.org/10.3390/ma16247588
Chicago/Turabian StyleLiu, Yucheng, and Yunhai Ma. 2023. "The Improvement of the Tribological Behaviour of Chemically Treated Abaca Fibre-Reinforced Polymer Composites" Materials 16, no. 24: 7588. https://doi.org/10.3390/ma16247588
APA StyleLiu, Y., & Ma, Y. (2023). The Improvement of the Tribological Behaviour of Chemically Treated Abaca Fibre-Reinforced Polymer Composites. Materials, 16(24), 7588. https://doi.org/10.3390/ma16247588