Achieving High Activity and Long-Term Stability towards Oxygen Evolution in Acid by Phase Coupling between CeO2-Ir
Abstract
:1. Introduction
2. Materials and Methods
2.1. Chemicals
2.2. Synthesis of xCeO2-Ir/CNTs and CeO2/CNTs
2.3. Characterization
2.4. Electrochemical Measurements
2.5. Evaluation of Water Electrolyzers
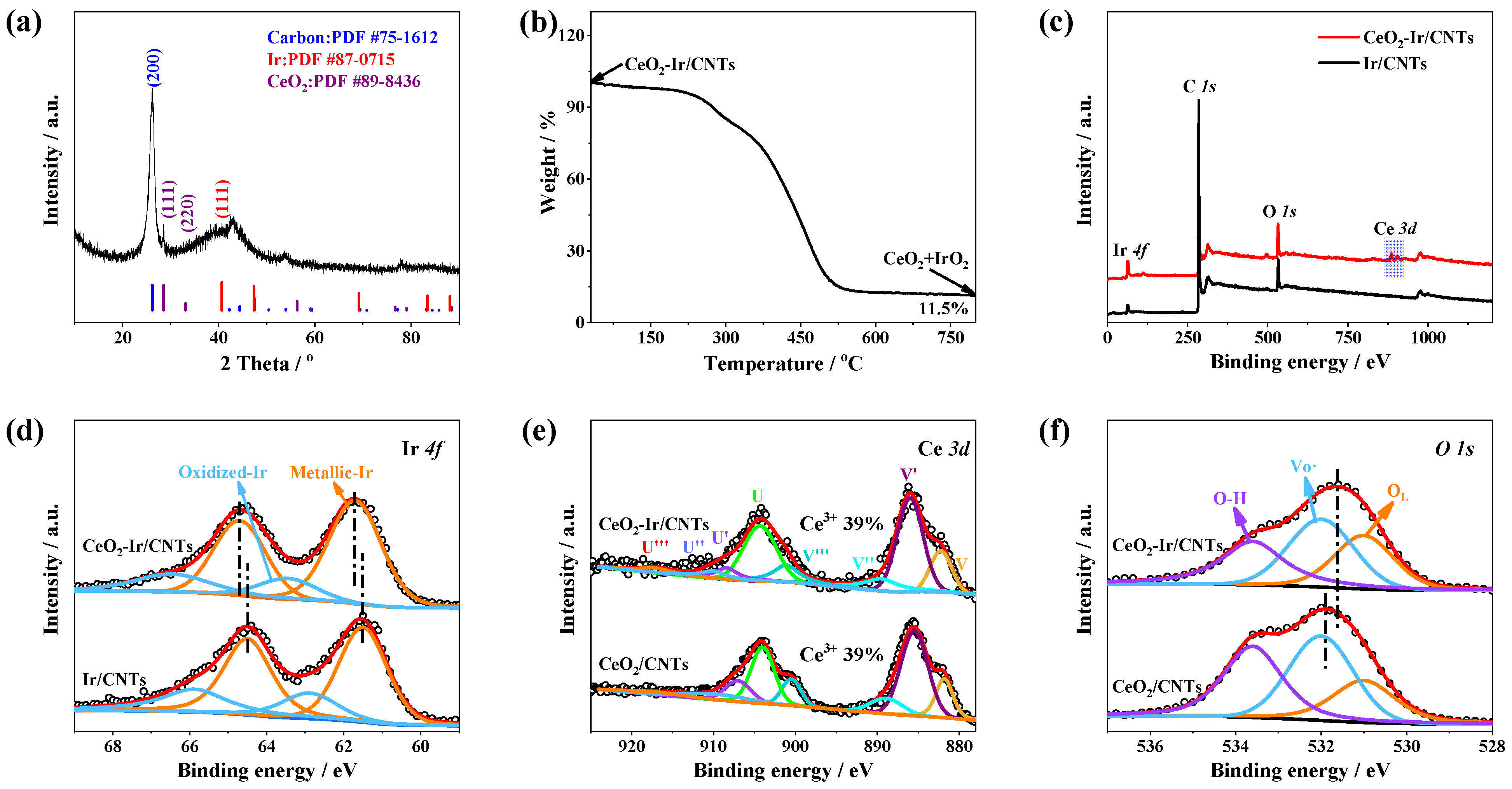
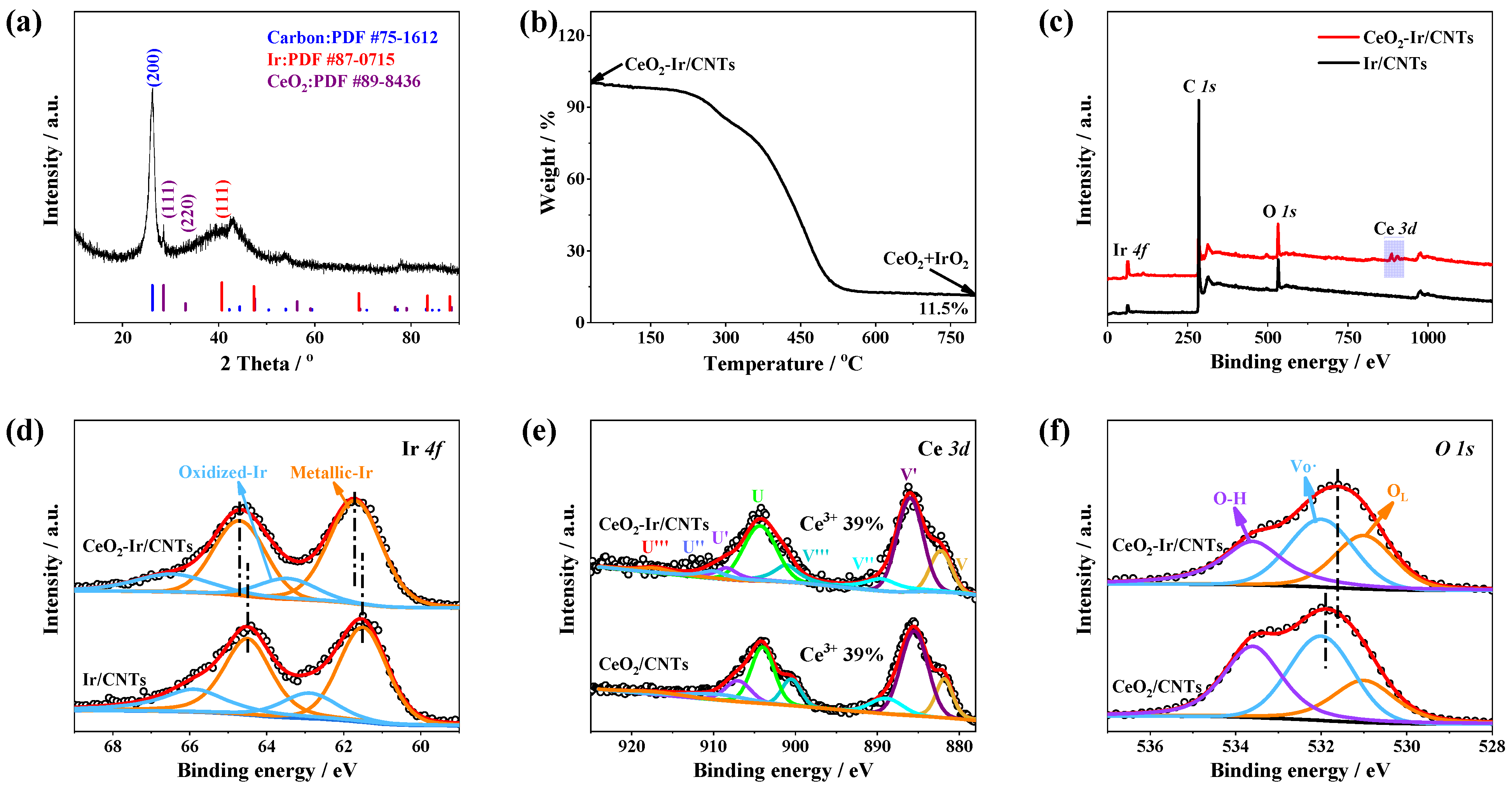
3. Results and Discussion
4. Conclusions
Supplementary Materials
Author Contributions
Funding
Institutional Review Board Statement
Informed Consent Statement
Data Availability Statement
Conflicts of Interest
References
- Cao, X.; Tan, C.; Zhang, X.; Zhao, W.; Zhang, H. Solution-processed two-dimensional metal dichalcogenide-based nanomaterials for energy storage and conversion. Adv. Mater. 2016, 28, 6167–6196. [Google Scholar] [CrossRef] [PubMed]
- Chen, H.; Cong, T.N.; Yang, W.; Tan, C.; Li, Y.; Ding, Y. Progress in electrical energy storage system: A critical review. Prog. Nat. Sci. 2009, 19, 291–312. [Google Scholar] [CrossRef]
- Chen, Y.; Liu, C.; Xu, J.; Xia, C.; Wang, P.; Xia, B.Y.; Yan, Y.; Wang, X. Key components and design strategy for a proton exchange membrane water electrolyzer. Small Struct. 2023, 4, 2200130. [Google Scholar] [CrossRef]
- Stiber, S.; Balzer, H.; Wierhake, A.; Wirkert, F.J.; Roth, J.; Rost, U.; Brodmann, M.; Lee, J.K.; Bazylak, A.; Waiblinger, W. Porous transport layers for proton exchange membrane electrolysis under extreme conditions of current density, temperature, and pressure. Adv. Energy Mater. 2021, 11, 2100630. [Google Scholar] [CrossRef]
- Li, S.; Gao, Y.; Li, N.; Ge, L.; Bu, X.; Feng, P. Transition metal-based bimetallic MOFs and MOF-derived catalysts for electrochemical oxygen evolution reaction. Energy Environ. Sci. 2021, 14, 1897–1927. [Google Scholar] [CrossRef]
- Li, H.; Lai, J.; Li, Z.; Wang, L. Multi-sites electrocatalysis in high-entropy alloys. Adv. Funct. Mater. 2021, 31, 2106715. [Google Scholar] [CrossRef]
- Wang, X.X.; Swihart, M.T.; Wu, G. Achievements, challenges and perspectives on cathode catalysts in proton exchange membrane fuel cells for transportation. Nat. Catal. 2019, 2, 578–589. [Google Scholar] [CrossRef]
- Rabis, A.; Rodriguez, P.; Schmidt, T. Electrocatalysis for polymer electrolyte fuel cells: Recent achievements and future challenges. ACS Catal. 2012, 2, 864–890. [Google Scholar] [CrossRef]
- Wu, H.; Wang, Y.; Shi, Z.; Wang, X.; Yang, J.; Xiao, M.; Ge, J.; Xing, W.; Liu, C. Recent developments of iridium-based catalysts for the oxygen evolution reaction in acidic water electrolysis. J. Mater. Chem. A 2022, 10, 13170–13189. [Google Scholar] [CrossRef]
- Zhan, Y.; Lu, M.; Yang, S.; Liu, Z.; Lee, J.Y. The origin of catalytic activity of nickel phosphate for oxygen evolution in alkaline solution and its further enhancement by iron substitution. ChemElectroChem 2016, 3, 615–621. [Google Scholar] [CrossRef]
- Luo, F.; Guo, L.; Xie, Y.; Xu, J.; Qu, K.; Yang, Z. Iridium nanorods as a robust and stable bifunctional electrocatalyst for pH-universal water splitting. Appl. Catal. B 2020, 279, 119394. [Google Scholar] [CrossRef]
- Wu, G.; Zheng, X.; Cui, P.; Jiang, H.; Wang, X.; Qu, Y.; Chen, W.; Lin, Y.; Li, H.; Han, X.; et al. A general synthesis approach for amorphous noble metal nanosheets. Nat. Commun. 2019, 10, 4855. [Google Scholar] [CrossRef] [PubMed]
- Zhu, J.-Y.; Xue, Q.; Xue, Y.-Y.; Ding, Y.; Li, F.-M.; Jin, P.; Chen, P.; Chen, Y. Iridium nanotubes as bifunctional electrocatalysts for oxygen evolution and nitrate reduction reactions. ACS Appl. Mater. Interfaces 2020, 12, 14064–14070. [Google Scholar] [CrossRef] [PubMed]
- Chen, X.; Peng, M.; Xiao, D.; Liu, H.; Ma, D. Fully exposed metal clusters: Fabrication and application in alkane dehydrogenation. ACS Catal. 2022, 12, 12720–12743. [Google Scholar] [CrossRef]
- Shan, J.; Guo, C.; Zhu, Y.; Chen, S.; Song, L.; Jaroniec, M.; Zheng, Y.; Qiao, S.-Z. Charge-redistribution-enhanced nanocrystalline Ru@IrOx electrocatalysts for oxygen evolution in acidic media. Chem 2019, 5, 445–459. [Google Scholar] [CrossRef]
- Liu, X.; Xi, S.; Kim, H.; Kumar, A.; Lee, J.; Wang, J.; Tran, N.Q.; Yang, T.; Shao, X.; Liang, M.; et al. Restructuring highly electron-deficient metal-metal oxides for boosting stability in acidic oxygen evolution reaction. Nat. Commun. 2021, 12, 5676. [Google Scholar] [CrossRef] [PubMed]
- Yang, J.; Shen, Y.; Sun, Y.; Xian, J.; Long, Y.; Li, G. Ir nanoparticles anchored on metal-organic frameworks for efficient overall water splitting under pH-universal conditions. Angew. Chem. Int. Ed. 2023, 135, e202302220. [Google Scholar] [CrossRef]
- Li, Y.; Sun, Y.; Qin, Y.; Zhang, W.; Wang, L.; Luo, M.; Yang, H.; Guo, S. Recent advances on water-splitting electrocatalysis mediated by noble-metal-based nanostructured materials. Adv. Energy Mater. 2020, 10, 1903120. [Google Scholar] [CrossRef]
- Zhao, G.; Jiang, Y.; Dou, S.-X.; Sun, W.; Pan, H. Interface engineering of heterostructured electrocatalysts towards efficient alkaline hydrogen electrocatalysis. Sci. Bull. 2021, 66, 85–96. [Google Scholar] [CrossRef]
- Shi, Z.; Li, J.; Jiang, J.; Wang, Y.; Wang, X.; Li, Y.; Yang, L.; Chu, Y.; Bai, J.; Yang, J.; et al. Enhanced acidic water oxidation by dynamic migration of oxygen species at the Ir/Nb2O5-x catalyst/support interfaces. Angew. Chem. Int. Ed. 2022, 61, e202212341. [Google Scholar] [CrossRef]
- Wang, J.; Xiao, X.; Liu, Y.; Pan, K.; Pang, H.; Wei, S. The application of CeO2-based materials in electrocatalysis. J. Mater. Chem. A 2019, 7, 17675–17702. [Google Scholar] [CrossRef]
- Haber, J.A.; Anzenburg, E.; Yano, J.; Kisielowski, C.; Gregoire, J.M. Multiphase nanostructure of a quinary metal oxide electrocatalyst reveals a new direction for OER electrocatalyst design. Adv. Energy Mater. 2015, 5, 1402307. [Google Scholar] [CrossRef]
- Li, C.; Sun, Y.; Djerdj, I.; Voepel, P.; Sack, C.-C.; Weller, T.; Ellinghaus, R.; Sann, J.; Guo, Y.; Smarsly, B.M.; et al. Shape-controlled CeO2 nanoparticles: Stability and activity in the catalyzed HCl oxidation reaction. ACS Catal. 2017, 7, 6453–6463. [Google Scholar] [CrossRef]
- Wang, Y.; Hao, S.; Liu, X.; Wang, Q.; Su, Z.; Lei, L.; Zhang, X. Ce-doped IrO2 electrocatalysts with enhanced performance for water oxidation in acidic media. ACS Appl. Mater. Interfaces 2020, 12, 37006–37012. [Google Scholar] [CrossRef] [PubMed]
- Shrestha, N.K.; Patil, S.A.; Seok, J.H.; Salunke, A.S.; Cho, S.; Inamdar, A.I.; Park, Y.; Lee, S.U.; Kim, H.; Im, H. Cerium guided site-selective crystal disorder engineering of MIL-88B (Ni) frameworks for electrocatalysis offering high-performance water oxidation. Mater. Today Phys. 2023, 38, 101252. [Google Scholar] [CrossRef]
- Julkapli, N.M.; Bagheri, S. Graphene supported heterogeneous catalysts: An overview. Int. J. Hydrog. Energy 2015, 40, 948–979. [Google Scholar] [CrossRef]
- Huang, H.; Wang, X. Recent progress on carbon-based support materials for electrocatalysts of direct methanol fuel cells. J. Mater. Chem. A 2014, 2, 6266–6291. [Google Scholar] [CrossRef]
- Ren, J.; Huang, Y.; Zhu, H.; Zhang, B.; Zhu, H.; Shen, S.; Tan, G.; Wu, F.; He, H.; Lan, S.; et al. Recent progress on MOF-derived carbon materials for energy storage. Carbon Energy 2020, 2, 176–202. [Google Scholar] [CrossRef]
- Yan, H.; Jiang, Z.; Deng, B.; Wang, Y.; Jiang, Z.-J. Ultrathin carbon coating and defect engineering promote RuO2 as an efficient catalyst for acidic oxygen evolution reaction with super-high durability. Adv. Energy Mater. 2023, 13, 2300152. [Google Scholar] [CrossRef]
- Chen, B.; Jiang, Z.; Huang, J.; Deng, B.; Zhou, L.; Jiang, Z.-J.; Liu, M. Cation exchange synthesis of NixCo3-xO4 (x = 1.25) nanoparticles on aminated carbon nanotubes with high catalytic bifunctionality for the oxygen reduction/evolution reaction toward efficient Zn-air batteries. J. Mater. Chem. A 2018, 6, 9517–9527. [Google Scholar] [CrossRef]
- Keller, P.; Strehblow, H.-H. XPS investigations of electrochemically formed passive layers on Fe/Cr-alloys in 0.5 M H2SO4. Corros Sci. 2004, 46, 1939–1952. [Google Scholar] [CrossRef]
- Asnavandi, M.; Suryanto BH, R.; Yang, W.; Bo, X.; Zhao, C. Dynamic hydrogen bubble templated NiCu phosphide electrodes for pH-insensitive hydrogen evolution reactions. ACS Sustain. Chem. Eng. 2018, 6, 2866–2871. [Google Scholar] [CrossRef]
- Zhang, B.; Zheng, X.; Voznyy, O.; Comin, R.; Bajdich, M.; García-Melchor, M.; Han, L.; Xu, J.; Liu, M.; Zheng, L. Homogeneously dispersed multimetal oxygen-evolving catalysts. Science 2016, 352, 333–337. [Google Scholar] [CrossRef] [PubMed]
- Xie, X.; Shang, L.; Shi, R.; Waterhouse, G.I.N.; Zhao, J.; Zhang, T. Tubular assemblies of N-doped carbon nanotubes loaded with NiFe alloy nanoparticles as efficient bifunctional catalysts for rechargeable zinc-air batteries. Nanoscale 2020, 12, 13129–13136. [Google Scholar] [CrossRef] [PubMed]
- Pan, X.; Zheng, Z.; Zhang, X.; He, X.; An, Y.; Hao, Y.; Huang, K.; Lei, M. Multi-metallic nanosheets for high-performance hydrogen evolution reaction. Eng. Sci. 2022, 19, 253–261. [Google Scholar] [CrossRef]
- McCrory CC, L.; Jung, S.; Peters, J.C.; Jaramillo, T.F. Benchmarking heterogeneous electrocatalysts for the oxygen evolution reaction. J. Am. Chem. Soc. 2013, 135, 16977–16987. [Google Scholar] [CrossRef] [PubMed]
- Liu, D.; Lv, Q.; Lu, S.; Fang, J.; Zhang, Y.; Wang, X.; Xue, Y.; Zhu, W.; Zhuang, Z. IrCuNi deeply concave nanocubes as highly active oxygen evolution reaction electrocatalyst in acid electrolyte. Nano Lett. 2021, 21, 2809–2816. [Google Scholar] [CrossRef]
- Chen, Y.; Liu, K. Fabrication of Ce/N co-doped TiO2/diatomite granule catalyst and its improved visible-light-driven photoactivity. J. Hazard. Mater. 2017, 324, 139–150. [Google Scholar] [CrossRef]
- Dhandapani, H.N.; Mahendiran, D.; Karmakar, A.; Devi, P.; Nagappan, S.; Madhu, R.; Bera, K.; Murugan, P.; Babu, B.R.; Kundu, S. Boosting of overall water splitting activity by regulating the electron distribution over the active sites of Ce doped NiCo–LDH and atomic level understanding of the catalyst by DFT study. J. Mater. Chem. A 2022, 10, 17488–17500. [Google Scholar] [CrossRef]
- Möller, S.; Barwe, S.; Masa, J.; Wintrich, D.; Seisel, S.; Baltruschat, H.; Schuhmann, W. Online monitoring of electrochemical carbon corrosion in alkaline electrolytes by differential electrochemical mass spectrometry. Angew. Chem. Int. Ed. 2020, 59, 1585–1589. [Google Scholar] [CrossRef]
- Chen, X.; Liao, W.; Zhong, M.; Chen, J.; Yan, S.; Li, W.; Wang, C.; Chen, W.; Lu, X. Rational design of robust iridium-ceria oxide-carbon nanofibers to boost oxygen evolution reaction in both alkaline and acidic media. Nano Res. 2023, 16, 7724–7732. [Google Scholar] [CrossRef]
- Gao, J.; Xu, C.-Q.; Hung, S.-F.; Liu, W.; Cai, W.; Zeng, Z.; Jia, C.; Chen, H.M.; Xiao, H.; Li, J.; et al. Breaking long-range order in iridium oxide by alkali ion for efficient water oxidation. J. Am. Chem. Soc. 2019, 141, 3014–3023. [Google Scholar] [CrossRef] [PubMed]
- Li, G.; Li, K.; Yang, L.; Chang, J.; Ma, R.; Wu, Z.; Ge, J.; Liu, C.; Xing, W. Boosted performance of Ir species by employing TiN as the support toward oxygen evolution reaction. ACS Appl. Mater. Interfaces 2018, 10, 38117–38124. [Google Scholar] [CrossRef] [PubMed]
- Wu, X.; Feng, B.; Li, W.; Niu, Y.; Yu, Y.; Lu, S.; Zhong, C.; Liu, P.; Tian, Z.; Chen, L.; et al. Metal-support interaction boosted electrocatalysis of ultrasmall iridium nanoparticles supported on nitrogen doped graphene for highly efficient water electrolysis in acidic and alkaline media. Nano Energy 2019, 62, 117–126. [Google Scholar] [CrossRef]
- Zhang, H.; Shi, P.; Ma, X.; Ma, C.; Han, S.; He, C.; Wu, H.; Zhu, L.; Zhang, B.; Lu, Y.; et al. Construction of ordered atomic donor-acceptor architectures in bcc IrGa intermetallic compounds toward highly electroactive and stable overall water splitting. Adv. Energy Mater. 2022, 13, 2202703. [Google Scholar] [CrossRef]
- Zhang, L.; Jang, H.; Li, Z.; Liu, H.; Kim, M.G.; Liu, X.; Cho, J. SrIrO3 modified with laminar Sr2IrO4 as a robust bifunctional electrocatalyst for overall water splitting in acidic media. Chem. Eng. J. 2021, 419, 129604. [Google Scholar] [CrossRef]
- Zheng, X.; Qin, M.; Ma, S.; Chen, Y.; Ning, H.; Yang, R.; Mao, S.; Wang, Y. Strong oxide-support interaction over IrO2/V2O5 for efficient pH-universal water splitting. Adv. Sci. 2022, 9, 2104636. [Google Scholar] [CrossRef]
- Zhang, Y.; Zhang, G.; Zhang, M.; Zhu, X.; Shi, P.; Wang, S.; Wang, A.-L. Synergistic electronic and morphological modulation by trace Ir introduction boosting oxygen evolution performance over a wide pH range. Chem. Eng. J. 2022, 433, 133577. [Google Scholar] [CrossRef]
- Seitz, L.C.; Dickens, C.F.; Nishio, K.; Hikita, Y.; Montoya, J.; Doyle, A.; Kirk, C.; Vojvodic, A.; Hwang, H.Y.; Norskov, J.K.; et al. A highly active and stable IrOx/SrIrO3 catalyst for the oxygen evolution reaction. Science 2016, 353, 1011–1014. [Google Scholar] [CrossRef]
- Chen, X.; Li, W.; Song, N.; Zhong, M.; Yan, S.; Xu, J.; Zhu, W.; Wang, C.; Lu, X. Electronic modulation of iridium-molybdenum oxides with a low crystallinity for high-efficiency acidic oxygen evolution reaction. Chem. Eng. J. 2022, 440, 135851. [Google Scholar] [CrossRef]
- Nong, H.N.; Reier, T.; Oh, H.-S.; Gliech, M.; Paciok, P.; Vu, T.H.T.; Teschner, D.; Heggen, M.; Petkov, V.; Schlögl, R.; et al. A unique oxygen ligand environment facilitates water oxidation in hole-doped IrNiOx core–shell electrocatalysts. Nat. Catal. 2018, 1, 841–851. [Google Scholar] [CrossRef]
- Zhu, M.; Shao, Q.; Qian, Y.; Huang, X. Superior overall water splitting electrocatalysis in acidic conditions enabled by bimetallic Ir-Ag nanotubes. Nano Energy 2019, 56, 330–337. [Google Scholar] [CrossRef]
- Grimaud, A.; Demortiere, A.; Saubanere, M.; Dachraoui, W.; Duchamp, M.; Doublet, M.-L.; Tarascon, J.-M. Activation of surface oxygen sites on an iridium-based model catalyst for the oxygen evolution reaction. Nat. Energy 2016, 2, 16189. [Google Scholar] [CrossRef]





Disclaimer/Publisher’s Note: The statements, opinions and data contained in all publications are solely those of the individual author(s) and contributor(s) and not of MDPI and/or the editor(s). MDPI and/or the editor(s) disclaim responsibility for any injury to people or property resulting from any ideas, methods, instructions or products referred to in the content. |
© 2023 by the authors. Licensee MDPI, Basel, Switzerland. This article is an open access article distributed under the terms and conditions of the Creative Commons Attribution (CC BY) license (https://creativecommons.org/licenses/by/4.0/).
Share and Cite
Kuang, J.; Li, Z.; Li, W.; Chen, C.; La, M.; Hao, Y. Achieving High Activity and Long-Term Stability towards Oxygen Evolution in Acid by Phase Coupling between CeO2-Ir. Materials 2023, 16, 7000. https://doi.org/10.3390/ma16217000
Kuang J, Li Z, Li W, Chen C, La M, Hao Y. Achieving High Activity and Long-Term Stability towards Oxygen Evolution in Acid by Phase Coupling between CeO2-Ir. Materials. 2023; 16(21):7000. https://doi.org/10.3390/ma16217000
Chicago/Turabian StyleKuang, Jianren, Zhi Li, Weiqiang Li, Changdong Chen, Ming La, and Yajuan Hao. 2023. "Achieving High Activity and Long-Term Stability towards Oxygen Evolution in Acid by Phase Coupling between CeO2-Ir" Materials 16, no. 21: 7000. https://doi.org/10.3390/ma16217000
APA StyleKuang, J., Li, Z., Li, W., Chen, C., La, M., & Hao, Y. (2023). Achieving High Activity and Long-Term Stability towards Oxygen Evolution in Acid by Phase Coupling between CeO2-Ir. Materials, 16(21), 7000. https://doi.org/10.3390/ma16217000
