Novel Calculation Method for the Shear Capacity of a UHPC Beam with and without Web Reinforcement
Abstract
:1. Introduction
2. Analysis of Influencing Factors on the Shear Capacity Based on Database
2.1. Database Construction
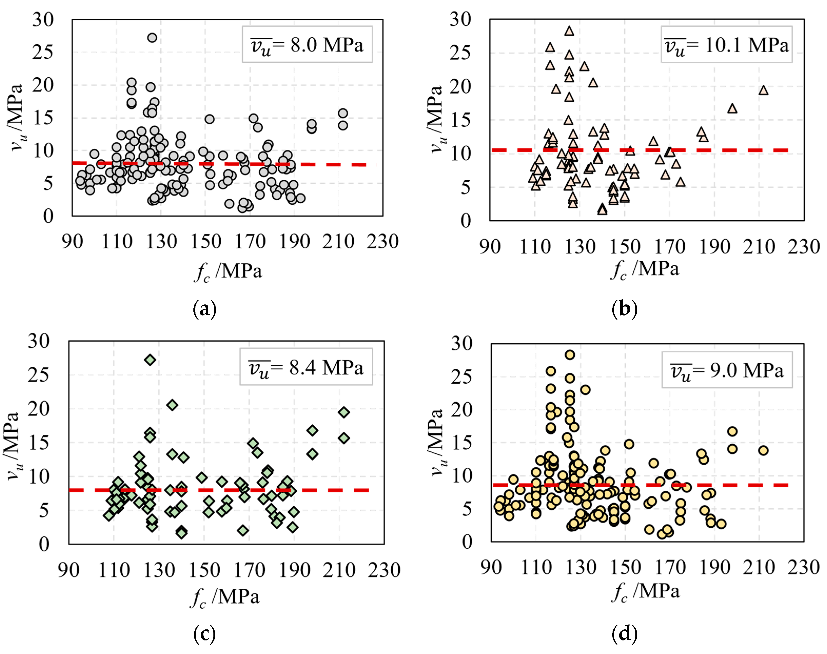
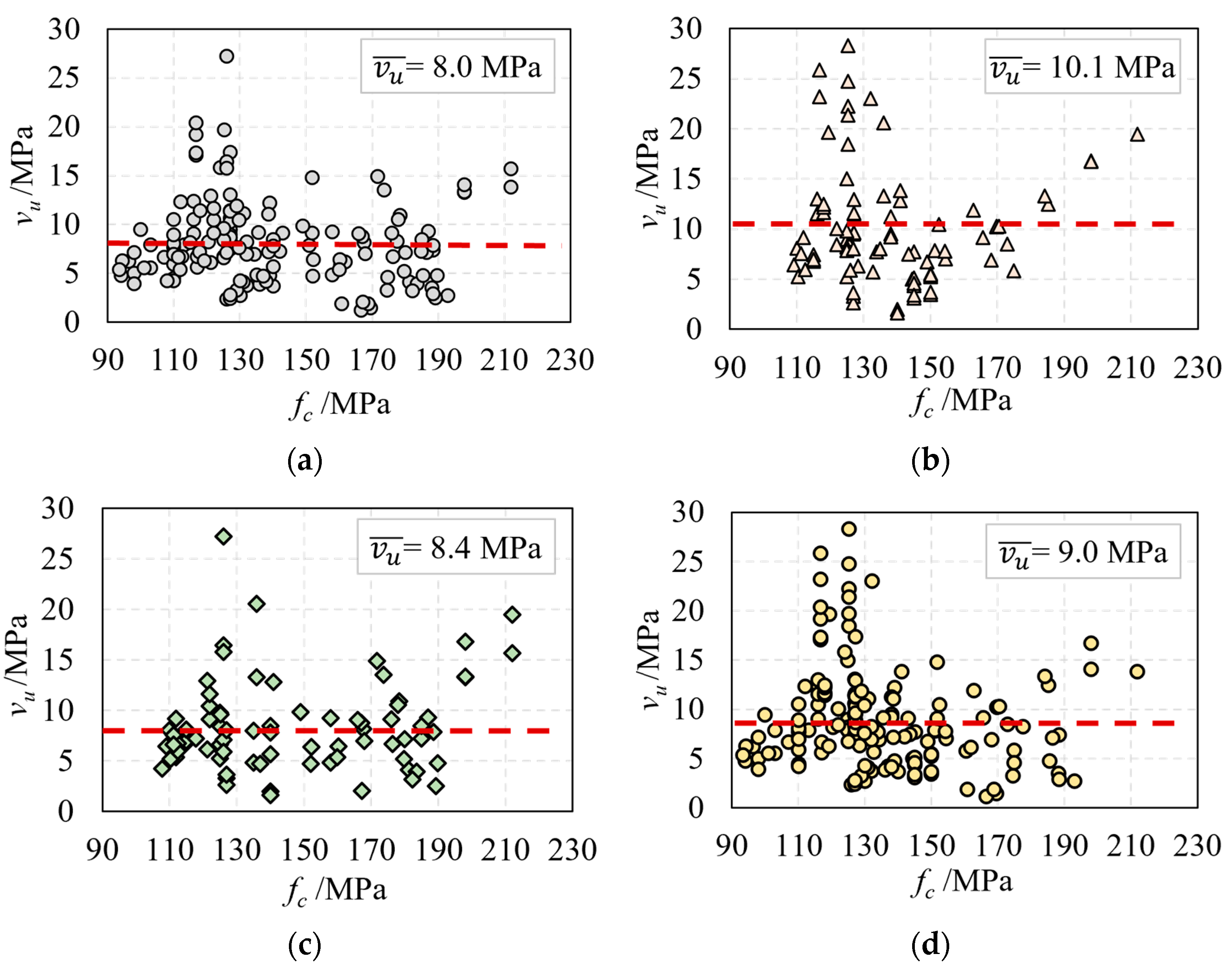
2.2. Analysis of Influencing Factors on the Shear Capacity
3. The Calculation and Analysis of Shear Bearing Capacity of UHPC Beams
3.1. Quantification of Shear Contributions in the Compression and Tension Zones
3.1.1. Shear Contributions in the Compression Zone
3.1.2. Shear Contribution of Fiber in the Tension Zone
3.2. Determination of Key Parameters
3.2.1. The UHPC Tensile Strength Based on Probability
3.2.2. Height of Compression and Shear Compression Zone
3.3. The Calculation Formula for the Shear Capacity of UHPC Beams
3.4. Calculation Methods for the Shear Capacity of UHPC Beams in Design
4. Evaluation of the Shear Capacity Calculation Formula
5. Summary and Conclusions
- (i)
- The analysis of the shear test database of 247 UHPC beams revealed that the failure of reinforced and prestressed UHPC beams can be categorized into three main types: inclined compression failure, inclined tension failure, and inclined shear compression failure. Specifically, the UHPC beams, in which the shear span ratio is small and has no web reinforcement, tend to exhibit characteristics of diagonal tension failure. This result indicates that, although the fiber bridging effect enhances the shear ductility, its enhancement effect on shear ductility is weaker than that of web reinforcement.
- (ii)
- The nominal shear strength of UHPC beams decreases with an increase in the shear span ratio and increases with an increase in the fiber volume fraction. An increase in fiber volume significantly improves the shear bearing capacity and post-cracking shear behavior of UHPC beams when the fiber volume fraction exists in a certain range.
- (iii)
- The ratio of cracking load to ultimate load of UHPC beams ranges from 0.2 to 0.6. This result indicates that the shear cracking of the UHPC beam generates a low load level. Thus, the shear cracking load level of UHPC beams at serviceability limit states (SLS) should be taken into account in designs to avoid the existence of shear cracks at SLS.
- (iv)
- The failure in the compression zone of UHPC beams can be divided into diagonal tension failure and shear compression failure. Based on the failure mechanism of the compression zone and considering the contribution of fiber micro tensile strength, a formula for calculating the shear bearing capacity of UHPC beams with or without web reinforcement was proposed. Verified by experimental data, the formula accurately predicts the shear-bearing capacity of UHPC beams with an average ratio of 1.0 when compared to test results from the shear database.
- (v)
- It should be noted that the shear-bearing capacity of UHPC beams was greatly affected by the characteristics of UHPC. The same type of UHPC has the same tensile strength but exhibits strain hardening and strain softening constitutive relations, resulting in different shear-bearing capacities. Thus, the calculation of shear-bearing capacity needs to be further related to the constitutive relationship of UHPC.
Author Contributions
Funding
Data Availability Statement
Conflicts of Interest
Nomenclature
| cross-sectional area of single fiber | |
| Fiber-limited calculation area | |
| cross-sectional area of the prestressed tendon | |
| shear span ratio | |
| web thickness | |
| compression zone height | |
| shear zone height | |
| fiber diameter | |
| compressive strength of UHPC | |
| direct tensile strength of UHPC | |
| design strength of the prestressed tendon | |
| yield strength of the stirrup | |
| tensive strength of UHPC | |
| design value of elastic tensile strength of UHPC | |
| ultimate tensile strength of UHPC | |
| yield strength of longitudinal reinforcement | |
| beam depth | |
| effective height | |
| a directivity coefficient | |
| a coefficient of fiber type | |
| a coefficient considering the prestress effect | |
| single fiber length | |
| action length of a fiber along the z-axis of the cuboid cross-section | |
| fiber length crossing the section | |
| fiber length | |
| total fiber quantity | |
| number of fibers crossing any cross-section of cuboid | |
| fiber distribution function | |
| cuboid volume | |
| ultimate load | |
| cracking load | |
| shear contribution provided by the UHPC’s compressive strength | |
| shear contribution provided by the fiber bridging effect | |
| shear contribution provided by the web reinforcement tensile strength | |
| , | shear capacity provided by the matrix |
| shear capacity provided by stirrup or web reinforcement | |
| shear capacity provided by the fiber | |
| calculated shear capacity | |
| experiment shear capacity | |
| nominal shear capacity | |
| maximum crack width | |
| height coordinate | |
| internal arm height | |
| , | principal stress |
| tensile stress corresponding to crack width | |
| maximum principal stress | |
| micro tensile strength of UHPC | |
| tensile stress of the longitudinal reinforcement at the shear failure | |
| normal stress along beam height | |
| cohesion | |
| fiber-matrix bond strength | |
| fiber-matrix initial bond strength | |
| shear stress | |
| ultimate shearing strength | |
| fiber volume fraction | |
| web reinforcement ratio | |
| longitudinal reinforcement ratio | |
| factors of safety | |
| stress field inclination | |
| inclination angle of web reinforcement or longitudinal reinforcement | |
| prestressing tendons angle | |
| major crack angle | |
| fiber angle of the vertical plane through the fiber direction | |
| friction angle |
References
- Graybeal, B.; Brühwiler, E.; Kim, B.-S.; Toutlemonde, F.; Voo, Y.L.; Zaghi, A. International Perspective on UHPC in Bridge Engineering. J. Bridge Eng. 2020, 25, 04020094. [Google Scholar] [CrossRef]
- Voo, Y.L.; Poon, W.K.; Foster, S.J. Shear Strength of Steel Fiber-Reinforced Ultrahigh- Performance Concrete Beams without Stirrups. J. Struct. Eng. 2010, 136, 1393–1400. [Google Scholar] [CrossRef]
- Baby, F.; Marchand, P.; Toutlemonde, F. Shear Behavior of Ultrahigh Performance Fiber-Reinforced Concrete Beams. I: Experimental Investigation. J. Struct. Eng. 2014, 140, 04013111. [Google Scholar] [CrossRef]
- Schlaich, J.; Schafer, K.; Jennewein, M. Toward a Consistent Design of Structural Concrete. PCI J. 1987, 32, 74–150. [Google Scholar] [CrossRef]
- Wang, J.; Qi, J.; Zhang, J. Optimization Method and Experimental Study on the Shear Strength of Externally Prestressed Concrete Beams. Adv. Struct. Eng. 2014, 17, 607–615. [Google Scholar] [CrossRef]
- Qi, J.-N.; Wang, J.-Q.; John, Z.; Tong, T. Shear Behavior of Externally Prestressed Concrete Beams with Draped Tendons. ACI Struct. J. 2016, 113, 677–687. [Google Scholar] [CrossRef]
- Vecchio, F.J.; Collins, M.P. The modified compression-field theory for reinforced concrete elements subjected to shear. ACI J. 1986, 83, 219–231. [Google Scholar]
- Mashhadi, R.; Dastan Diznab, M.A.; Tehrani, F.M. A Strut-and-Tie Model for Predicting the Shear Strength of Exterior Beam–Column Joints Strengthened with Fiber-Reinforced Polymers. J. Compos. Constr. 2023, 27, 04022097. [Google Scholar] [CrossRef]
- De Maio, U.; Fantuzzi, N.; Greco, F.; Leonetti, L.; Pranno, A. Failure Analysis of Ultra High-Performance Fiber-Reinforced Concrete Structures Enhanced with Nanomaterials by Using a Diffuse Cohesive Interface Approach. Nanomaterials 2020, 10, 1792. [Google Scholar] [CrossRef]
- De Maio, U.; Gaetano, D.; Greco, F.; Lonetti, P.; Nevone Blasi, P.; Pranno, A. The Reinforcing Effect of Nano-Modified Epoxy Resin on the Failure Behavior of FRP-Plated RC Structures. Buildings 2023, 13, 1139. [Google Scholar] [CrossRef]
- Tian, H.; Zhou, Z.; Wei, Y.; Wang, Y. Behavior of FRP-confined ultra-high performance concrete under eccentric compression. Compos. Struct. 2021, 256, 113040. [Google Scholar] [CrossRef]
- Voo, Y.L.; Foster, S.J.; Gilbert, R.I. Shear Strength of Fiber Reinforced Reactive Powder Concrete Prestressed Girders without Stirrups. J. Adv. Concr. Technol. 2006, 4, 123–132. [Google Scholar] [CrossRef]
- Hegger, J.; Bertram, G. (Eds.) Shear Carrying Capacity of Ultra-High Performance Concrete Beams; CRC Press: Boca Raton, FL, USA, 2008. [Google Scholar]
- Graybeal, B.A. Structural Behavior of Ultra-High Performance Concrete Prestressed I-Girders; United States Federal Highway Administration, Office of Infrastructure Research and Development, Turner-Fairbank Highway Research Center, Eds.; U.S. Department of Transportation: Washington, DC, USA, 2006. [Google Scholar]
- El-Helou, R.G.; Graybeal, B.A. Shear Behavior of Ultrahigh-Performance Concrete Pretensioned Bridge Girders. J. Struct. Eng. 2022, 148, 04022017. [Google Scholar] [CrossRef]
- Jin, L.; Wang, L.; Zhou, J.; Wang, H.; Li, Y. Study on Shear Resistance of Partially Prestressed UHPC Thin webBeams without Web Reinforcement. J. China Railw. Soc. 2019, 41, 105–116. [Google Scholar] [CrossRef]
- Tong, H. Study on Shear Behavior of Prestressed UHPC Beam; Hunan University: Changsha, China, 2019. [Google Scholar]
- Yang, I.-H.; Joh, C.; Kim, B.-S. Shear behaviour of ultra-high-performance fibre-reinforced concrete beams without stirrups. Mag. Concr. Res. 2012, 64, 979–993. [Google Scholar] [CrossRef]
- Ji, W.; Li, W.; An, M.; Zhu, L. Shear Capacity of T-Section Girders Made of Reactive Powder Concrete. J. Bridge Eng. 2018, 23, 04018041. [Google Scholar] [CrossRef]
- Fang, Z.; Xiang, Y.; Liu, C. Experimental study on fatigue properties of CFRP prestressed RPC beams without stirrups. J. Build. Struct. 2013, 34, 101–107+116. [Google Scholar] [CrossRef]
- Li, T.; Qu, H.; Wang, Z.; Wei, H.; Jiang, S. Seismic performance of precast concrete bridge columns with quasi-static cyclic shear test for high seismic zones. Eng. Struct. 2018, 166, 441–453. [Google Scholar] [CrossRef]
- Wang, Z.; Zhang, J.; Lv, H.; Yan, X.; Li, T.; Qu, H. Seismic performance of short precast bridge columns with grouted splice sleeve (GSS) connectors for shear study: Quasi-static cyclic test and analytical estimation. Soil Dyn. Earthq. Eng. 2023, 165, 107659. [Google Scholar] [CrossRef]
- Xu, H.; Deng, Z. Shear bearing capacity of ultra high performance concrete beams. J. Huazhong Univ. Sci. Technol. Nat. Sci. Ed. 2015, 43, 24–28+71. [Google Scholar] [CrossRef]
- Lim, D.H.; Oh, B.H. Experimental and theoretical investigation on the shear of steel fibre reinforced concrete beams. Eng. Struct. 1999, 21, 937–944. [Google Scholar] [CrossRef]
- Qi, J.-N.; Ma, Z.J.; Wang, J.-Q.; Liu, T.-X. Post-cracking shear strength and deformability of HSS-UHPFRC beams. Struct. Concr. 2016, 17, 1033–1046. [Google Scholar] [CrossRef]
- Lee, S.-C.; Cho, J.-Y.; Vecchio, F.J. Analysis of Steel Fiber-Reinforced Concrete Elements Subjected to Shear. ACI Struct. J. 2016, 113, 275–285. [Google Scholar] [CrossRef]
- Wang, Q.; Jin, L.; Jiang, C. Shear analysis of reactive powder concrete beambased on modified compression field theory. J. Dalian Univ. Technol. 2018, 58, 615–623. [Google Scholar]
- Gowripalan, N.; Gilbert, R.I. Design Guidelines for Ductal Prestressed Concrete Beams; The University of New South Wales: Sydney, NSW, Australia, 2000. [Google Scholar]
- AFGC. Ultra High Performance Fibre-Reinforced Concretes, Interim Recommendations; AFGC Publication: Paris, France, 2002. [Google Scholar]
- Crane, C.K. Shear and Shear Friction of Ultra-High Performance Concrete Bridge Girders; Georgia Institute of Technology: Atlanta, GA, USA, 2010. [Google Scholar]
- Ahmad, S.; Bahij, S.; Al-Osta, M.A.; Adekunle, S.K.; Al-Dulaijan, S.U. Shear Behavior of Ultra-High-Performance Concrete (UHPC) Beams Reinforced with High-Strength Steel Bars. ACI Struct. J. 2019, 116, 3–14. [Google Scholar] [CrossRef]
- Bermudez, M.; Wen, K.-W.; Hung, C.-C. A Comparative Study on the Shear Behavior of UHPC Beams with Macro Hooked-End Steel Fibers and PVA Fibers. Materials 2022, 15, 1485. [Google Scholar] [CrossRef]
- Jin, L.; Zhou, J.; Li, Y.; Cao, X.; Fu, Q. Experimental study on shear bearing capacity of RPC beams with high strength reinforcement. J. Build. Struct. 2015, 36, 277–285. [Google Scholar] [CrossRef]
- Liang, X.; Wang, Z.; Yu, J.; Li, L. Study on shear behavior and shear bearing capacity of UHPC beams with stirrups. China Civ. Eng. J. 2018, 51, 56–67. [Google Scholar] [CrossRef]
- Luo, M.; Lin, P.; Yang, Z.; Liu, Y. Analysis of Shear Capacity and Mechanical Performanceof R-UHPC Beam. Bridge Constr. 2021, 51, 53–60. [Google Scholar]
- Ma, K.; Ma, Y.; Xing, G.; Liu, B. Study on shear behavior of reinforced ultra-high performance concrete beams. J. Build. Struct. 2022, 43, 179–188. [Google Scholar] [CrossRef]
- Mészöly, T.; Randl, N. Shear behavior of fiber-reinforced ultra-high performance concrete beams. Eng. Struct. 2018, 168, 119–127. [Google Scholar] [CrossRef]
- Qiao, Y. Study on Shear Behavior of Pretensioned Prestressed UHPC Beams with Large Diameter Strand. Master’s Thesis, Southwest Jiaotong University, Chengdu, China, 2021. [Google Scholar]
- Ridha, M.M.S.; Sarsam, K.F.; Al-Shaarbaf, I.A.S. Experimental Study and Shear Strength Prediction for Reactive Powder Concrete Beams. Case Stud. Constr. Mater. 2018, 8, 434–446. [Google Scholar] [CrossRef]
- Ridha, M.M.S.; Al-Shaarbaf, I.A.S.; Sarsam, K.F. Experimental study on shear resistance of reactive powder concrete beams without stirrups. Mech. Adv. Mater. Struct. 2020, 27, 1006–1018. [Google Scholar] [CrossRef]
- Schramm, N.; Fischer, O. Querkraftversuche an profilierten Spannbetonträgern aus UHPFRC. Beton-Und Stahlbetonbau 2019, 114, 641–652. [Google Scholar] [CrossRef]
- Wang, Q.; Jin, L.; Cao, X.; Lv, H. Experimental study on shear performance ofreactive powder concrete beam. J. Zhejiang Univ. Eng. Sci. 2017, 51, 922–930. [Google Scholar]
- Xu, H.; Deng, Z.; Chen, C.; Chen, X. Experimental study on shear strength of ultra-high performance fiber reinforced concrete beams. China Civ. Eng. J. 2014, 47, 91–97. [Google Scholar] [CrossRef]
- Yavaş, A.; Hasgul, U.; Turker, K.; Birol, T. Effective fiber type investigation on the shear behavior of ultrahigh-performance fiber-reinforced concrete beams. Adv. Struct. Eng. 2019, 22, 1591–1605. [Google Scholar] [CrossRef]
- Zhang, Y. Shear Behavior of Ultra High Performance Concrete Beam at Ambient Temperature; Shandong Jianzhu University: Jinan, China, 2020. [Google Scholar]
- Zheng, H.; Fang, Z.; Liu, M. Experimental study on shear behavior of prestressed reactive powder concrete box girders. China Civ. Eng. J. 2015, 48, 51–63. [Google Scholar] [CrossRef]
- Zheng, H.; Fang, Z.; Chen, B. Experimental study on shear behavior of prestressed reactive powder concrete I-girders. Front. Struct. Civ. Eng. 2019, 13, 618–627. [Google Scholar] [CrossRef]
- Russell, H.G.; Graybeal, B.A.; Russell, H.G. Ultra-High Performance Concrete: A State-of-the-Art Report for the Bridge Community; United States Federal Highway Administration, Office of Infrastructure Research and Development, Eds.; U.S. Department of Transportation: Washington, DC, USA, 2013. [Google Scholar]
- Zhou, L.; Wan, S. Prediction of Shear Strength of UHPC Beam with Small Shear Span to Depth Ratios Based on Modified MCFT. 2022; in review. [Google Scholar] [CrossRef]
- Leutbecher, T.; Rebling, J. Predicting the postcracking strength of ultra-high performance fiber reinforced concrete by means of three-point bending tests according to EN 14651. Struct. Concr. 2019, 20, 2081–2095. [Google Scholar] [CrossRef]
- Naaman, A.E. A Statistical Theory of Strength for Fiber Reinforced Concrete. Ph.D. Thesis, Massachusetts Institute of Technology, Cambridge, MA, USA, 1972. [Google Scholar]
- Zhou, B.; Uchida, Y. Influence of flowability, casting time and formwork geometry on fiber orientation and mechanical properties of UHPFRC. Cem. Concr. Res. 2017, 95, 164–177. [Google Scholar] [CrossRef]
- Lee, Y.; Kang, S.-T.; Kim, J.-K. Pullout behavior of inclined steel fiber in an ultra-high strength cementitious matrix. Constr. Build. Mater. 2010, 24, 2030–2041. [Google Scholar] [CrossRef]
- Lin, Z.; Kanda, T.; Li, V.C. On interface property characterization and performance of fiber reinforced cementitious composites. Concr. Sci. Eng. 1999, 1, 173–174. [Google Scholar]
- Zhou, Z.; Qiao, P. Tensile behavior of ultra-high performance concrete: Analytical model and experimental validation. Constr. Build. Mater. 2019, 201, 842–851. [Google Scholar] [CrossRef]
- Xiang, Z. The Research on Some Factors Influencing the Flexural Strength of Reactive Powder Concrete; Hunan University: Changsha, China, 2011. [Google Scholar]
- Zheng, K.; Liu, Z.; Meng, S.; Qin, S. Novel calculation method for shear capacity of RC beams without web reinforcement. J. Southeast Univ. Nat. Sci. Ed. 2017, 47, 362–368. [Google Scholar]
- Afnor, N.; Droll, K. National Addition to Eurocode 2—Design of Concrete Structures: Specific Rules for Ultra-High Performance Fibre-Reinforced Concrete (UHPERC); AFNOR: Saint-Denis, France, 2016. [Google Scholar]
- MCS-EPFL. SIA 5052 Recommendation: Ultra-High Performance Fibre Reinforced Cement-Based Composites (UHPFRC) Construction Material, Dimensioning und Application; MCS-EPFL: Lausanne, Switzerland, 2016. [Google Scholar]















Disclaimer/Publisher’s Note: The statements, opinions and data contained in all publications are solely those of the individual author(s) and contributor(s) and not of MDPI and/or the editor(s). MDPI and/or the editor(s) disclaim responsibility for any injury to people or property resulting from any ideas, methods, instructions or products referred to in the content. |
© 2023 by the authors. Licensee MDPI, Basel, Switzerland. This article is an open access article distributed under the terms and conditions of the Creative Commons Attribution (CC BY) license (https://creativecommons.org/licenses/by/4.0/).
Share and Cite
Gao, C.; Jiang, H.; Zhang, G.; Chen, L.; Hu, Y. Novel Calculation Method for the Shear Capacity of a UHPC Beam with and without Web Reinforcement. Materials 2023, 16, 6915. https://doi.org/10.3390/ma16216915
Gao C, Jiang H, Zhang G, Chen L, Hu Y. Novel Calculation Method for the Shear Capacity of a UHPC Beam with and without Web Reinforcement. Materials. 2023; 16(21):6915. https://doi.org/10.3390/ma16216915
Chicago/Turabian StyleGao, Chuansong, Hui Jiang, Gaozhan Zhang, Liang Chen, and Yuqing Hu. 2023. "Novel Calculation Method for the Shear Capacity of a UHPC Beam with and without Web Reinforcement" Materials 16, no. 21: 6915. https://doi.org/10.3390/ma16216915
APA StyleGao, C., Jiang, H., Zhang, G., Chen, L., & Hu, Y. (2023). Novel Calculation Method for the Shear Capacity of a UHPC Beam with and without Web Reinforcement. Materials, 16(21), 6915. https://doi.org/10.3390/ma16216915

