The Evolution of a Microstructure during Tempering and Its Influence on the Mechanical Properties of AerMet 100 Steel
Abstract
:1. Introduction
2. Materials and Methods
3. Results
3.1. Microstructure Analysis
3.1.1. Precipitation of M2C Carbides
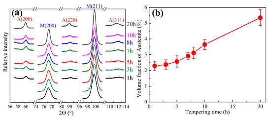
3.1.2. The Evolution of the Austenite
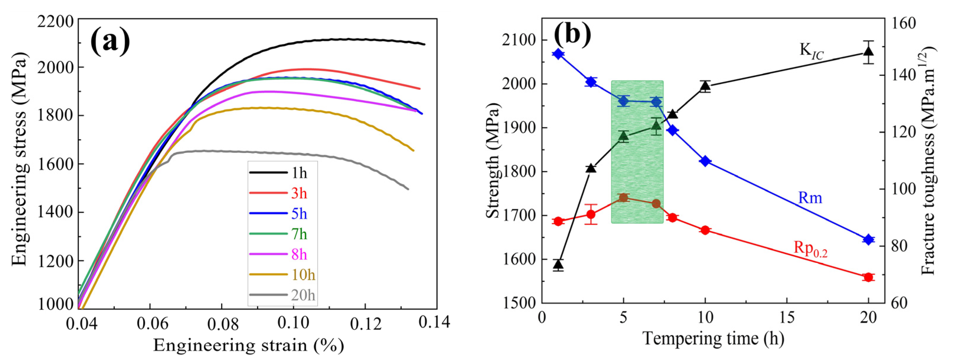
3.2. Mechanical Properties
4. Discussion
5. Conclusions
- The tensile strength Rm decreases gradually, the yield strength Rp0.2 first increases and then decreases, and the fracture toughness KIC increases gradually with increasing tempering time at 482 °C from 1 h to 20 h.
- The gradual nucleation and precipitation of the needle-shaped nano-sized M2C carbides with a hexagonal structure results in the increase in the yield strength Rp0.2 with the prolongation of the tempering time when tempered for 5 h or less. The hexagonal M2C carbides gradually transformed into an orthogonal structure that tended to coarsen as the tempering increased to more than 5 h. Significantly coarsened behavior can be observed when tempering at 482 °C for 8 h or longer, leading to the yield strength decreasing with the prolongation of the tempering time.
- The fraction of reverted austenite increased with the prolongation of the tempering time, resulting in an increase in the fracture toughness KIC. The significant decrease in the dislocation density reduced the rising amplitude of KIC when tempering for 8 h or more.
- The strength and toughness balancing of AerMet 100 steel is achieved through tempering at 482 °C for 5~7 h. A yield strength of 1727~1749 MPa, tensile strength of 1949~1989 MPa, and KIC value between 116.5 and 122 MPa·m1/2 are obtained.
Author Contributions
Funding
Institutional Review Board Statement
Informed Consent Statement
Data Availability Statement
Conflicts of Interest
References
- Grujicic, M. Implication of elastic coherency in secondary hardening of high Co-Ni martensitic steels. J. Mater. Sci. 1991, 26, 1357–1362. [Google Scholar] [CrossRef]
- Lee, H.M.; Garratt-Reed, A.J.; Allen, S.M. Composition of M2C phase in tempering of high Co-Ni steels. Scr. Metall. Mater. 1991, 25, 685–688. [Google Scholar] [CrossRef]
- Shi, X.; Zeng, W.; Zhao, Q.; Peng, W.; Kang, C. Study on the microstructure and mechanical properties of AerMet 100 steel at the tempering temperature around 482 °C. J. Alloys Compd. 2016, 679, 184–190. [Google Scholar] [CrossRef]
- Zhong, P. Microstructure and Mechanical Properties in Isothermal Tempering of High Co-Ni Secondary Hardening Ultrahigh Strength Steel. J. Iron Steel Res. Int. 2007, 14, 292–295. [Google Scholar] [CrossRef]
- Wang, C.; Zhang, C.; Yang, Z.; Su, J.; Weng, Y. Microstructure analysis and yield strength simulation in high Co–Ni secondary hardening steel. Mater. Sci. Eng. A 2016, 669, 312–317. [Google Scholar] [CrossRef]
- Wang, C.-C.; Zhang, C.; Yang, Z.-G.; Su, J. Carbide precipitation and element distribution in high Co–Ni secondary hardening steel. J. Iron Steel Res. Int. 2018, 25, 340–346. [Google Scholar] [CrossRef]
- Wang, H.; Zhang, J.; Zhu, J.; Zhou, F.; Zhang, X.; Jiang, Q. Structures of M2C carbides and its influence on strengthening in AerMet100 steel at the typical tempering temperature 482 °C. Vacuum 2023, 214, 112209. [Google Scholar] [CrossRef]
- Lee, H.M.; Allen, S.M.; Grujicic, M. Coarsening resistance of M2C carbides in secondary hardening steels: Part I. Theoretical model for multi-component coarsening kinetics. Metall. Trans. A 1991, 22, 2863–2868. [Google Scholar] [CrossRef]
- Speich, G.R.; Dabkowski, D.S.; Porter, L.F. Strength and toughness of Fe-10ni alloys containing C, Cr, Mo, and Co. Met. Trans. 1973, 4, 303–315. [Google Scholar] [CrossRef]
- Ayer, R.; Machmeier, P.M. Microstructural basis for the effect of chromium on the strength and toughness of AF1410-based high performance steels. Met. Mater. Trans. A 1996, 27, 2510–2517. [Google Scholar] [CrossRef]
- Gruber, M.; Ploberger, S.; Wiessner, M.; Marsoner, S.; Ebner, R. Influence of Heat Treatment on the Microstructure of a High Co-Ni Secondary Hardening Steel. Mater. Today Proc. 2015, 2, S949–S952. [Google Scholar] [CrossRef]
- Ayer, R.; Machmeier, P. On the characteristics of M2C carbides in the peak hardening regime of AerMet 100 steel. Met. Mater. Trans. A 1998, 29, 903–905. [Google Scholar] [CrossRef]
- Ayer, R.; Machmeier, P.M. Transmission Electron Microscopy Examination of Hardening and Toughening Phenomena in Aermet 100. Met. Trans. A 1993, 24, 1943–1955. [Google Scholar] [CrossRef]
- Yoo, C.H.; Lee, H.M.; Chan, J.W.; Morris, J.W. M2C precipitates in isothermal tempering of high Co-Ni secondary hardening steel. Met. Mater. Trans. A 1996, 27, 3466–3472. [Google Scholar] [CrossRef]
- Lee, H.M.; Sohn, H.; Yoo, C.H. Isothermal M2C carbide growth in ultrahigh strength high Co-Ni steels. Scr. Mater. 1997, 37, 1931–1937. [Google Scholar] [CrossRef]
- Hu, Z.; Li, X.; Wu, X.; Wang, C. HRTEM study on precipitates in high Co-Ni steel. J. Iron Steel Res. Int. 2001, 8, 56–58. [Google Scholar] [CrossRef]
- Wang, C.; Zhang, C.; Yang, Z.; Su, J.; Weng, Y. Analysis of fracture toughness in high Co–Ni secondary hardening steel using FEM. Mater. Sci. Eng. A 2015, 646, 1–7. [Google Scholar] [CrossRef]
- Gruber, M.; Ressel, G.; Ploberger, S.; Marsoner, S.; Kolednik, O.; Ebner, R. Microstructural Effects on the Toughness of a High Co–Ni Steel. Adv. Eng. Mater. 2016, 19, 1600633. [Google Scholar] [CrossRef]
- Gruber, M.; Ressel, G.; Martin, F.M.; Ploberger, S.; Marsoner, S.; Ebner, R. Formation and Growth Kinetics of Reverted Austenite During Tempering of a High Co-Ni Steel. Metall. Mater. Trans. A 2016, 47A, 5932–5941. [Google Scholar] [CrossRef]
- Wang, C.; Zhang, C.; Yang, Z. Austenite layer and precipitation in high Co–Ni maraging steel. Micron 2014, 67, 112–116. [Google Scholar] [CrossRef]
- GBT228.1-2010; Metallic Materials—Tensile Testing—Part 1: Method of Test at Room Temperature. National Standards of China: Beijing, China, 2010.
- ASTM E399-09; Standard Test Method for Linear-Elastic Plane-Strain Fracture Toughness KIC of Metallic Materials. ASTM International: West Conshohocken, PA, USA, 2009.
- Zhang, X.; Miyamoto, G.; Kaneshita, T.; Yoshida, Y.; Toji, Y.; Furuhara, T. Growth mode of austenite during reversion from martensite in Fe-2Mn-1.5Si-0.3C alloy: A transition in kinetics and morphology. Acta Mater. 2018, 154, 1–13. [Google Scholar] [CrossRef]
- Zhang, X.; Miyamoto, G.; Toji, Y.; Nambu, S.; Koseki, T.; Furuhara, T. Orientation of austenite reverted from martensite in Fe-2Mn-1.5Si-0.3C alloy. Acta Mater. 2018, 144, 601–612. [Google Scholar] [CrossRef]
- Zhang, X.G.; Miyamoto, G.; Toji, Y.; Zhang, Y.J.; Furuhara, T. Role of cementite and retained austenite on austenite reversion from martensite and bainite in Fe-2Mn-1.5Si-0.3C alloy. Acta Mater. 2021, 209, 116772. [Google Scholar] [CrossRef]
- Wang, C.-C.; Zhang, C.; Yang, Z.-G. Effects of Ni on austenite stability and fracture toughness in high Co-Ni secondary hardening steel. J. Iron Steel Res. Int. 2017, 24, 177–183. [Google Scholar] [CrossRef]
- Liang, Y.; Long, S.; Xu, P.; Lu, Y.; Jiang, Y.; Liang, Y.; Yang, M. The important role of martensite laths to fracture toughness for the ductile fracture controlled by the strain in EA4T axle steel. Mater. Sci. Eng. A 2017, 695, 154–164. [Google Scholar] [CrossRef]










| Element | C | Co | Cr | Mo | Ni | Fe |
|---|---|---|---|---|---|---|
| mass fraction (%) | 0.21 | 13.6 | 3.1 | 1.2 | 11.2 | Bal |
Disclaimer/Publisher’s Note: The statements, opinions and data contained in all publications are solely those of the individual author(s) and contributor(s) and not of MDPI and/or the editor(s). MDPI and/or the editor(s) disclaim responsibility for any injury to people or property resulting from any ideas, methods, instructions or products referred to in the content. |
© 2023 by the authors. Licensee MDPI, Basel, Switzerland. This article is an open access article distributed under the terms and conditions of the Creative Commons Attribution (CC BY) license (https://creativecommons.org/licenses/by/4.0/).
Share and Cite
Wang, H.; Zhang, J.; Huang, J.; Wu, C.; Zhang, X.; Lai, Z.; Liu, Y.; Zhu, J. The Evolution of a Microstructure during Tempering and Its Influence on the Mechanical Properties of AerMet 100 Steel. Materials 2023, 16, 6907. https://doi.org/10.3390/ma16216907
Wang H, Zhang J, Huang J, Wu C, Zhang X, Lai Z, Liu Y, Zhu J. The Evolution of a Microstructure during Tempering and Its Influence on the Mechanical Properties of AerMet 100 Steel. Materials. 2023; 16(21):6907. https://doi.org/10.3390/ma16216907
Chicago/Turabian StyleWang, Hongli, Jian Zhang, Jingtao Huang, Chengchuan Wu, Xianguang Zhang, Zhonghong Lai, Yong Liu, and Jingchuan Zhu. 2023. "The Evolution of a Microstructure during Tempering and Its Influence on the Mechanical Properties of AerMet 100 Steel" Materials 16, no. 21: 6907. https://doi.org/10.3390/ma16216907
APA StyleWang, H., Zhang, J., Huang, J., Wu, C., Zhang, X., Lai, Z., Liu, Y., & Zhu, J. (2023). The Evolution of a Microstructure during Tempering and Its Influence on the Mechanical Properties of AerMet 100 Steel. Materials, 16(21), 6907. https://doi.org/10.3390/ma16216907

