Analysis of Stress Concentration in Functionally Graded Plates with Linearly Increasing Young’s Modulus
Abstract
1. Introduction
- The stress concentration factor decreases only when the stiffness progressively increases away from the circular hole;
- The effect of the variation in the Poisson’s ratio on the stress distribution is negligible.
2. Governing Equations
- At the hole periphery, both the radial and shear stresses are zero for all values of ;
- At a sufficiently large distance from the hole, the radial and shear stresses on the MN approach zero;
- At a sufficiently large distance from the hole, the radial and shear stresses on the SQ tend to and to zero, respectively.
3. Solution of the Problem
4. Numerical Results
5. Discussion
6. Conclusions
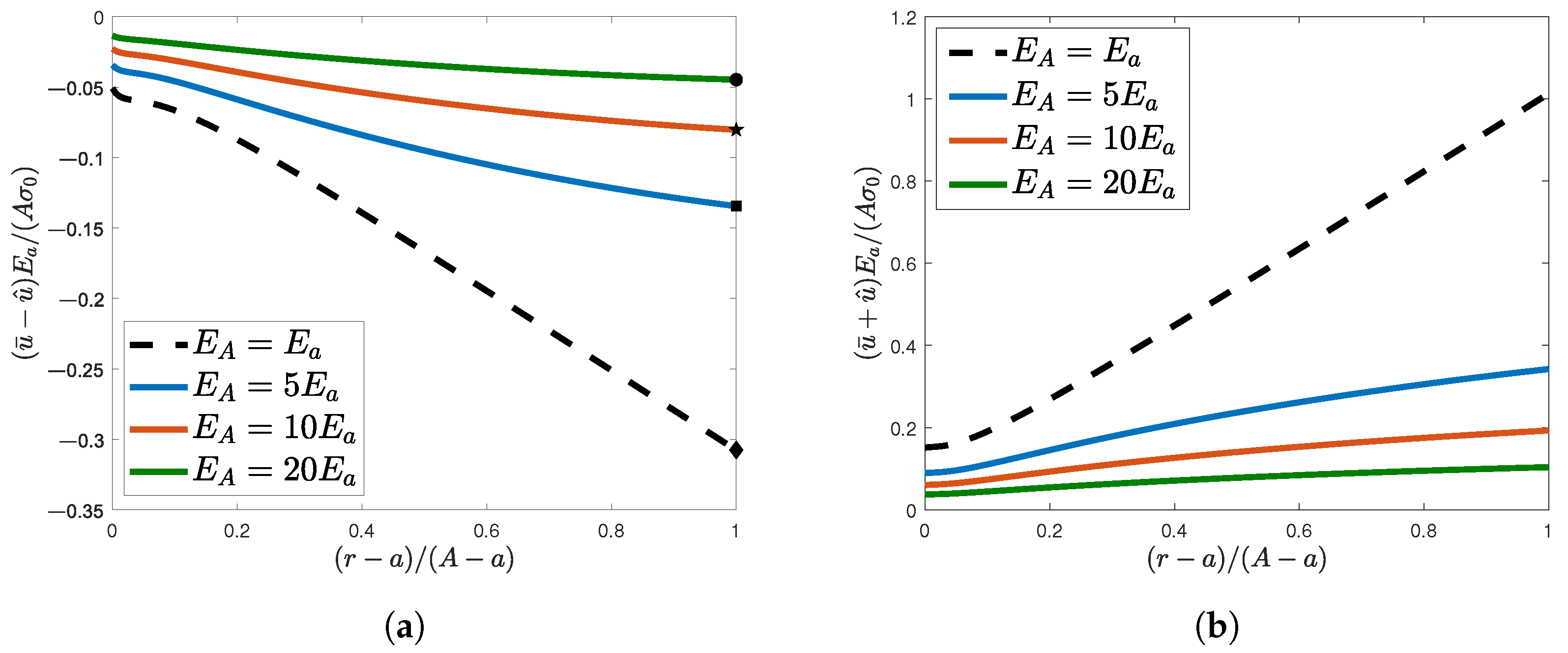
- Similar to the homogeneous case, a linearly varying stiffness distribution along the radial domain makes each radial strip become shortened and stretched along the radial and circumferential direction, respectively. These strain measures decrease in absolute value as the stiffness ratio increases.
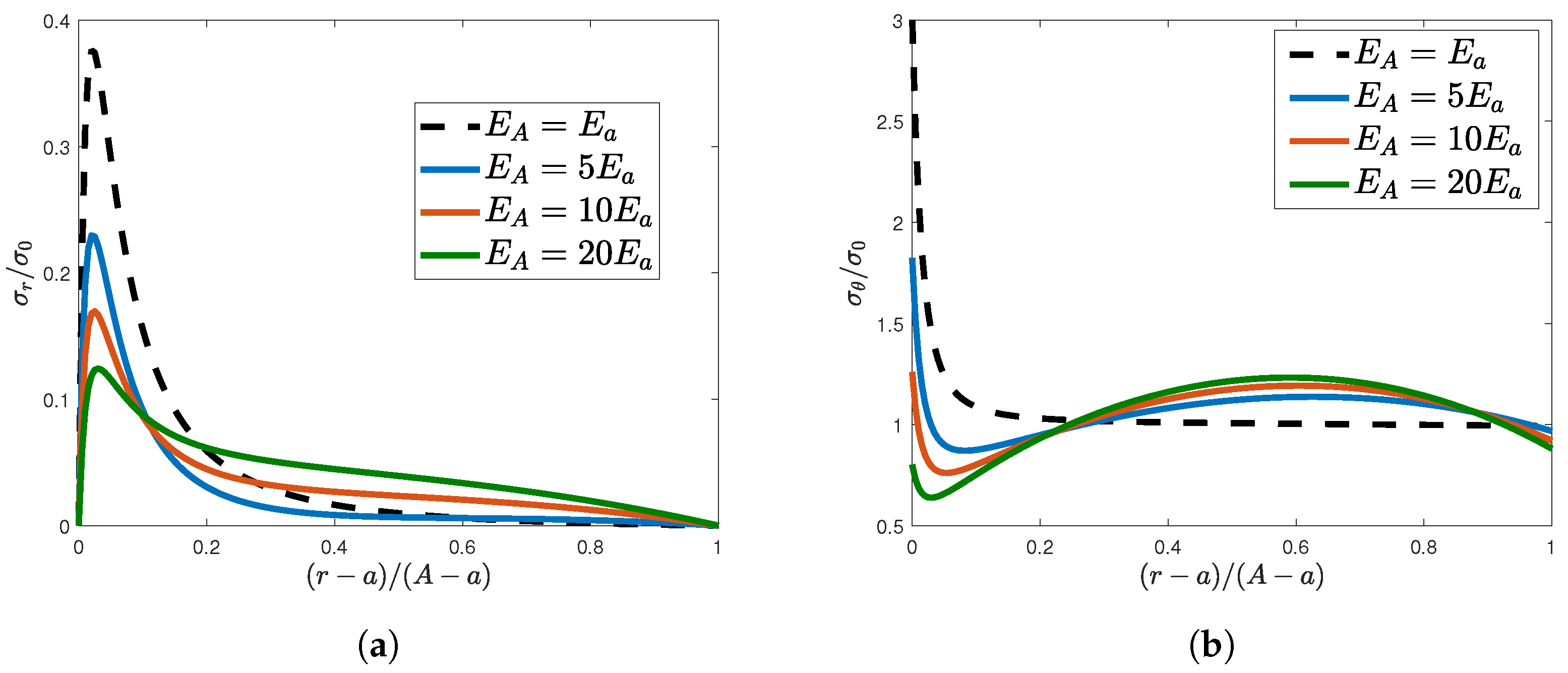
- The peak value for the radial stress progressively decreases as the stiffness ratio increases.
- The stress concentration factor remarkably decreases as the stiffness ratio increases, thus confirming one of the most established findings in the literature.
- There exists a stiffness value beyond which the maximum hoop stress does not occur at the rim of the hole.
Author Contributions
Funding
Institutional Review Board Statement
Informed Consent Statement
Data Availability Statement
Conflicts of Interest
References
- Kirsch, E.G. Die Theorie der Elastizität und die Bedürfnisse der Festigkeitslehre. Z. Des Vereines Dtsch. Ingenieure 1898, 42, 797–807. [Google Scholar]
- Sevenois, R.D.B.; Koussios, S. Analytic Methods for Stress Analysis of Two-Dimensional Flat Anisotropic Plates with Notches: An Overview. Appl. Mech. Rev. 2014, 66, 060802. [Google Scholar] [CrossRef]
- Kumar, S.A.; Rajesh, R.; Pugazhendhi, S. A review of stress concentration studies on fibre composite panels with holes/cutouts. Proc. Inst. Mech. Eng. Part L J. Mater. Des. Appl. 2020, 234, 1461–1472. [Google Scholar] [CrossRef]
- Koord, J.; Stüven, J.L.; Petersen, E.; Völkerink, O.; Hühne, C. Investigation of exact analytical solutions for circular notched composite laminates under tensile loading. Compos. Struct. 2020, 243, 112180. [Google Scholar] [CrossRef]
- Nguyen-Hoang, M.; Becker, W. Open holes in composite laminates with finite dimensions: Structural assessment by analytical methods. Arch. Appl. Mech. 2022, 92, 1101–1125. [Google Scholar] [CrossRef]
- Safaei, B.; Pezeshki, Z.; Kotrasova, K.; Kormanikova, E. Analysis of stress concentration at the edge of hole in plates with different widths by using FEM. IOP Conf. Ser. Mater. Sci. Eng. Civ. Eng. Conf. 2022, 1525, 012067. [Google Scholar] [CrossRef]
- Jędrysiak, J. Modelling of dynamic behaviour of microstructured thin functionally graded plates. Thin-Walled Struct. 2013, 71, 102–107. [Google Scholar] [CrossRef]
- Jędrysiak, J. Tolerance modelling of free vibration frequencies of thin functionally graded plates with one-directional microstructure. Compos. Struct. 2016, 161, 453–468. [Google Scholar] [CrossRef]
- Abdalla, H.M.A.; Casagrande, D.; Moro, L. Thermo-mechanical analysis and optimization of functionally graded rotating disks. J. Strain Anal. Eng. Des. 2020, 55, 159–171. [Google Scholar] [CrossRef]
- Madan, R.; Bhowmick, S. Optimum FG Rotating Disk of Constant Mass: Lightweight and Economical Alternatives Based on Limit Angular Speed. Iran. J. Sci. Technol. Trans. Mech. Eng. 2022, 47, 1019–1033. [Google Scholar] [CrossRef]
- Moleiro, F.; Madeira, J.; Carrera, E.; Reddy, J.N. Design optimization of functionally graded plates under thermo-mechanical loadings to minimize stress, deformation and mass. Compos. Struct. 2020, 245, 112360. [Google Scholar] [CrossRef]
- Wang, Z.W.; Zhang, Q.; Xia, L.Z.; Wu, J.T.; Liu, P.Q. Stress analysis and parameter optimization of an FGM pressure vessel subjected to thermo-mechanical loadings. Procedia Eng. 2015, 130, 374–389. [Google Scholar] [CrossRef]
- Karamanli, A.; Wattanasakulpong, N.; Lezgy-Nazargah, M.; Vo, T.P. Bending, buckling and free vibration behaviours of 2D functionally graded curved beams. Structures 2023, 55, 778–798. [Google Scholar] [CrossRef]
- Nouri, A.; Astaraki, S. Optimization of Sound Transmission Loss through a Thin Functionally Graded Material Cylindrical Shell. Shock Vib. 2014, 2014, 814682. [Google Scholar] [CrossRef]
- Kubair, D.V.; Bhanu-Chandar, B. Stress concentration factor due to a circular hole in functionally graded panels under uniaxial tension. Int. J. Mech. Sci. 2008, 50, 732–742. [Google Scholar] [CrossRef]
- Mohammadi, M.; Dryden, J.R.; Jiang, L. Stress concentration around a hole in a radially inhomogeneous plate. Int. J. Solids Struct. 2011, 48, 483–491. [Google Scholar] [CrossRef]
- Nie, G.J.; Zhong, Z.; Batra, R.C. Material tailoring for reducing stress concentration factor at a circular hole in a functionally graded material (FGM) panel. Compos. Struct. 2018, 205, 49–57. [Google Scholar] [CrossRef]
- Sburlati, R. Stress concentration factor due to a functionally graded ring around a hole in an isotropic plate. Int. J. Solids Struct. 2013, 50, 3649–3658. [Google Scholar] [CrossRef]
- Sburlati, R.; Atashipour, S.R.; Atashipour, S.A. Reduction of the stress concentration factor in a homogeneous panel with hole by using a functionally graded layer. Compos. Eng. 2014, 61, 99–109. [Google Scholar] [CrossRef]
- Ashrafi, H.; Asemi, K.; Shariyat, M. A three-dimensional boundary element stress and bending analysis of transversely/longitudinally graded plates with circular cutouts under biaxial loading. Eur. J. Mech. A/Solids 2013, 42, 344–357. [Google Scholar] [CrossRef]
- You, L.H.; Wang, J.X.; Tang, B.P. Deformations and stresses in annular disks made of functionally graded materials subjected to internal and/or external pressure. Meccanica 2009, 44, 283–292. [Google Scholar] [CrossRef]
- Madan, R.; Bhowmick, S.; Saha, K. Limit angular speed of L-FGM rotating disk for both temperature dependent and temperature independent mechanical properties. Mater. Today Proc. 2019, 18, 2366–2373. [Google Scholar] [CrossRef]
- Abdalla, H.M.A.; Casagrande, D.; De Bona, F. A Dynamic Programming Setting for Functionally Graded Thick-Walled Cylinders. Materials 2020, 13, 3988. [Google Scholar] [CrossRef] [PubMed]
- Abdalla, H.M.A.; Casagrande, D. An Intrinsic Material Tailoring Approach for Functionally Graded Axisymmetric Hollow Bodies Under Plane Elasticity. J. Elast. 2021, 144, 15–32. [Google Scholar] [CrossRef]
- Nikbakht, S.; Kamarian, S.; Shakeri, M. A review on optimization of composite structures part II: Functionally graded materials. Compos. Struct. 2019, 214, 83–102. [Google Scholar] [CrossRef]
- Timoshenko, S.P.; Goodier, J.N. Theory of Elasticity; McGraw Hill Higher Education: New York, NY, USA, 1970. [Google Scholar]
- Andreev, V.I.; Cybin, N.Y. The Inhomogeneous Plate with a Hole: Kirsch’s Problem. Procedia Eng. 2014, 91, 26–31. [Google Scholar] [CrossRef][Green Version]
- Barber, J.R. Elasticity, Solid Mechanics and Its Applications; Springer: Dordrecht, The Netherlands, 2010. [Google Scholar]
- Shampine, L.F.; Kierzenka, J. A BVP Solver based on residual control and the MATLAB PSE. ACM Trans. Math. Softw. 2001, 27, 299–316. [Google Scholar]





Disclaimer/Publisher’s Note: The statements, opinions and data contained in all publications are solely those of the individual author(s) and contributor(s) and not of MDPI and/or the editor(s). MDPI and/or the editor(s) disclaim responsibility for any injury to people or property resulting from any ideas, methods, instructions or products referred to in the content. |
© 2023 by the authors. Licensee MDPI, Basel, Switzerland. This article is an open access article distributed under the terms and conditions of the Creative Commons Attribution (CC BY) license (https://creativecommons.org/licenses/by/4.0/).
Share and Cite
Abdalla, H.M.A.; Casagrande, D.; De Bona, F. Analysis of Stress Concentration in Functionally Graded Plates with Linearly Increasing Young’s Modulus. Materials 2023, 16, 6882. https://doi.org/10.3390/ma16216882
Abdalla HMA, Casagrande D, De Bona F. Analysis of Stress Concentration in Functionally Graded Plates with Linearly Increasing Young’s Modulus. Materials. 2023; 16(21):6882. https://doi.org/10.3390/ma16216882
Chicago/Turabian StyleAbdalla, Hassan Mohamed Abdelalim, Daniele Casagrande, and Francesco De Bona. 2023. "Analysis of Stress Concentration in Functionally Graded Plates with Linearly Increasing Young’s Modulus" Materials 16, no. 21: 6882. https://doi.org/10.3390/ma16216882
APA StyleAbdalla, H. M. A., Casagrande, D., & De Bona, F. (2023). Analysis of Stress Concentration in Functionally Graded Plates with Linearly Increasing Young’s Modulus. Materials, 16(21), 6882. https://doi.org/10.3390/ma16216882

