Study on the Shear Resistance Performance of Grouped Stud Connectors
Abstract
1. Introduction
2. Finite Element Simulation and Verification
3. Properties and Damage Mechanism
3.1. Critical Stud Spacing for the Grouped Stud Effect
3.2. Working Properties and Damage Mechanism of Grouped Stud and Influencing Factors
3.2.1. Effect of Grouped Stud Row Spacing in the Direction of Shear Action
3.2.2. Effect of the Grouped Stud Rows
3.2.3. Effect of Concrete Strength Grade
3.2.4. Effect of Stud Body Length
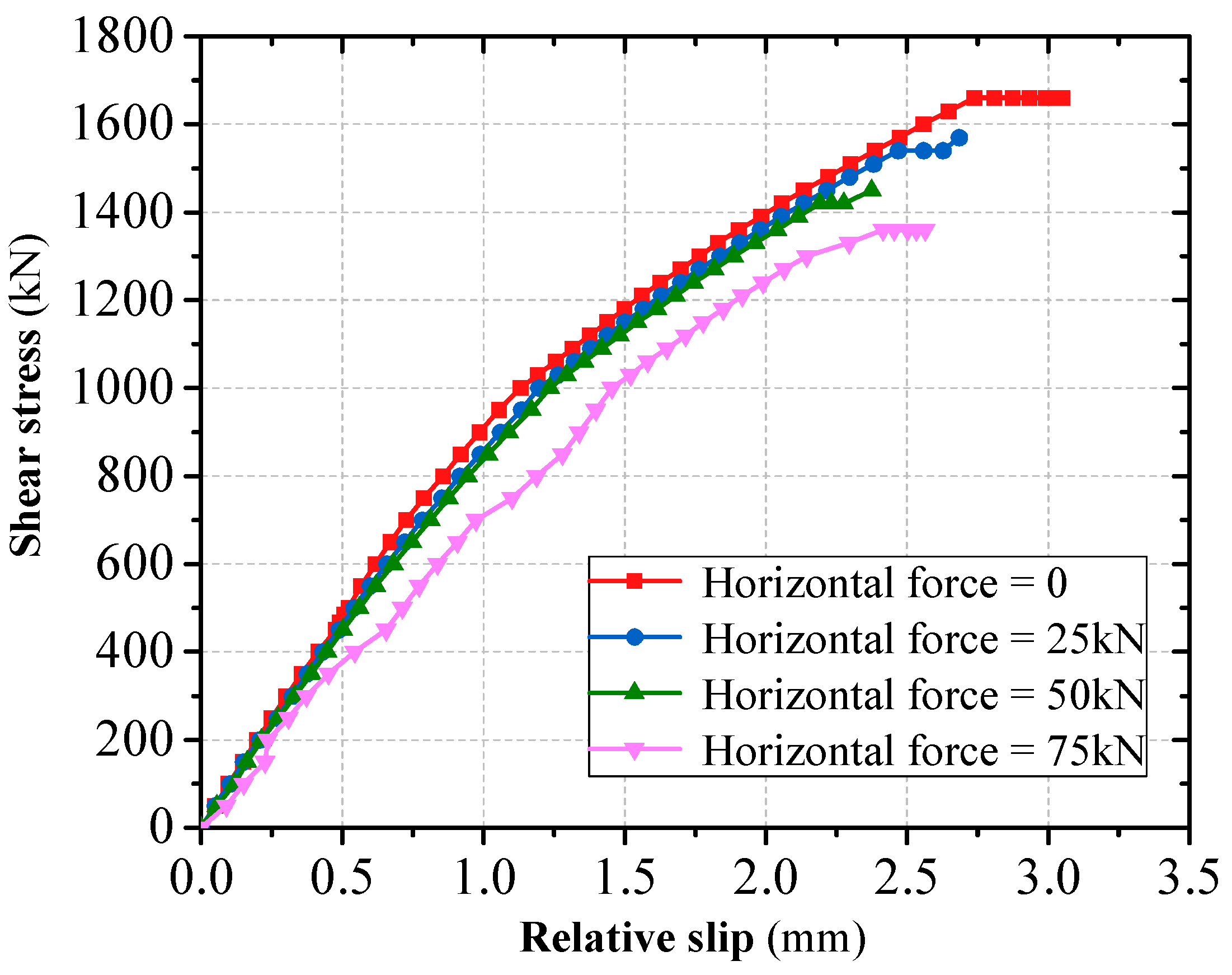
3.2.5. Effect of Force Angle
4. Shear Capacity of Grouped Stud Connectors
5. Conclusions
- (1)
- The shear performance of grouped stud connectors is affected by the grouped stud effect; this is related to the overlapping effect of the concrete compression cracking zones between the studs. When stud groups are densely arranged, the reduction in the average shear capacity of the single stud of the connector needs to be considered. When the stud spacing in the direction of load is less than 13 times the diameter of the stud body, the influence of the grouped stud effect needs to be taken into account in the design, considering the shear force reduction; otherwise, it is calculated as a single stud design.
- (2)
- The inhomogeneity of the shear distribution of the stud group under load is presented, which is the most intuitive presentation of the grouped stud effect. At the same time, the average shear capacity of individual stud decreases as the shear inhomogeneity of the stud group increases. As the stud row spacing in the direction of load application becomes smaller or the number of rows increases, the more significant the superposition effect of the distribution of concrete stresses in the connectors, and the phenomenon of non-uniformity in the shear distribution of the stud group is also more significant. Grouped stud connectors with commonly used concrete grades greater than C50 and height-to-diameter ratios greater than 4 in steel–concrete composite structural bridges are insensitive to changes in the concrete strength grades and the length of the studs.
- (3)
- The body of the single stud is round in the cross-section, and its forces are not affected by the loading angle of the load. However, for grouped stud connectors, when the loading angle is changed, the direction of force transmission of the grouped stud is altered. When conducting the force analysis of the stud group, the load can be decomposed into components that are aligned with the direction of the stud row and column according to the arrangement of the stud row and column. It is recommended that during design, the rows of grouped stud are arranged in the loading direction to facilitate the analysis of the forces on the grouped stud.
- (4)
- The calculation of group stud connectors is not mentioned in the Chinese code. The recommended formula for calculating the shear capacity of group stud connectors is given in this paper, and the verification analysis was carried out by combining the results of 62 groups of existing grouped stud connector push-out tests. Results show that the mean value of the ratio of tested to calculated values is found to be 1.12, the variance is 0.023, the dispersion is small, the recommended formulas have high accuracy. The results of this paper are provided as a theoretical basis for the study of the shear performance of grouped stud connectors.
- (5)
- At present, to meet the needs of low-carbon as well as assembled bridge structures, a large number of steel–concrete combined bridge structural connectors with new materials and new structural forms have appeared. In view of this, we will devote ourselves to the research on the stress performance of combined structural shear connectors to provide a solid theoretical foundation for the popularization and application of the connectors.
Author Contributions
Funding
Institutional Review Board Statement
Informed Consent Statement
Data Availability Statement
Conflicts of Interest
References
- Lee, P.G.; Shim, C.S.; Chang, S.P. Static and fatigue behavior of large stud shear connectors for steel–concrete composite bridges. J. Constr. Steel Res. 2005, 61, 1270–1285. [Google Scholar] [CrossRef]
- Pallares, L.; Ramon-Llin, A.A.; Marti-Vargas, J.R.; Pallares, F.J. Behaviour of headed studs subjected to cyclic shear in steel frames with reinforced concrete infill walls. Constr. Build. Mater. 2020, 262, 120018. [Google Scholar] [CrossRef]
- Liu, L.; Zhang, L.; Zhu, L.; Li, J.; Yang, Y.F.; Hao, L. Study on mechanical properties of stud connectors in steel-lightweight aggregate concrete composite structures. Structures 2023, 47, 1072–1085. [Google Scholar] [CrossRef]
- Chen, J.; Zhang, H.; Yu, Q.Q. Static and fatigue behavior of steel-concrete composite beams with corroded studs. J. Constr. Steel Res. 2019, 156, 18–27. [Google Scholar] [CrossRef]
- Lowe, D.; Roy, K.; Das, R.; Clifton, G.C.; Lim, J.B.P. Full scale experiments on splitting behaviour of concrete slabs in steel concrete composite beams with shear stud connection. Structure 2019, 23, 126–138. [Google Scholar] [CrossRef]
- Zhang, Y.; Liu, A.; Chen, B.; Zhang, J.; Bradford, M.A. Experimental and numerical study of shear connection in composite beams of steel and steel-fibre reinforced concrete. Eng. Struct. 2020, 215, 110707. [Google Scholar] [CrossRef]
- Viest, I.M. Investigation of Stud Shear Connectors for Composite Concrete and Steel T-Beams. J. Am. Concr. Inst. 1956, 27, 875–891. [Google Scholar] [CrossRef]
- Slutter, R.G.; Driscoll, G.C. Flexural strength of steel-concrete composite beams. J. Struct. Div. 1965, 91, 71–99. [Google Scholar] [CrossRef]
- Ding, F.X.; Yin, G.A.; Wang, H.B.; Wang, L.; Guo, Q. Static behavior of stud connectors in bi-direction push-off tests. Thin-Walled Struct. 2017, 120, 307–318. [Google Scholar] [CrossRef]
- Wang, Y.; Yu, J.; Liu, J.; Chen, Y.F. Shear behavior of shear stud groups in precast concrete decks. J. Struct. Eng. 2019, 187, 73–84. [Google Scholar] [CrossRef]
- Roscini, F.; Guadagnini, M. Bond Behavior of Steel Cords for SRG Systems to Cementitious and Lime Based Mortar. Key Eng. Mater. 2022, 916, 313–318. [Google Scholar] [CrossRef]
- Roscini, F.; Guadagnini, M. Bond Behavior of Steel Cords Embedded in Inorganic Mortars. Materials 2022, 15, 5125. [Google Scholar] [CrossRef] [PubMed]
- Shariati, M.; Tahmasbi, F.; Mehrabi, P.; Bahadori, A.; Toghroli, A. Monotonic behavior of C and L shaped angle shear connectors within steel-concrete composite beams: An experimental investigation. Steel Compos. Struct. 2020, 35, 237–247. [Google Scholar] [CrossRef]
- Guezouli, S.; Lachal, A.; Nguyen, Q.H. Numerical investigation of internal force transfer mechanism in push-out tests. Eng. Struct. 2013, 52, 140–152. [Google Scholar] [CrossRef]
- Han, Q.; Wang, Y.; Xu, J.; Xing, Y.; Yang, G. Numerical analysis on shear stud in push-out test with crumb rubber concrete. J. Constr. Steel Res. 2017, 130, 148–158. [Google Scholar] [CrossRef]
- Xu, C.; Su, Q.; Sugiura, K. Mechanism study on the low cycle fatigue behavior of group studs shear connectors in steel-concrete composite bridges. J. Constr. Steel Res. 2017, 138, 196–207. [Google Scholar] [CrossRef]
- Commission, E. Eurocode 4, Design of Composite Steel and Concrete Structures. Available online: http://mtw.so/6vvbjG (accessed on 27 January 2004).
- JCSE. Standard Specification for Steel and Composite Structures. Available online: http://mtw.so/69GICn (accessed on 1 April 2008).
- Swartz, B.D.; Schokker, A.J. AASHTO LRFD Bridge Design Specifications. Available online: https://too.st/5Hg (accessed on 9 July 2012).
- CERI. GB 50017-2017 Code for Design of Steel Structures. Available online: http://mtw.so/6nYYqL (accessed on 1 August 2018).
- Wang, S.; Fang, Z.; Chen, G.; Jiang, H.; Teng, S. Numerical Analysis on Shear Behavior of Grouped Head Stud Shear Connectors between Steel Girders and Precast Concrete Slabs with High-Strength Concrete-Filled Shear Pockets. J. Bridge Eng. 2021, 26, 04021030. [Google Scholar] [CrossRef]
- Ma, S.C.; Lou, Y.Y.; Bao, P. Experimental research and numerical analysis of shearing resistance in steel-concrete composite beam connectors. Case Stud. Constr. Mater. 2022, 17, e01210. [Google Scholar] [CrossRef]
- Patil, Y.D.; Singh, P.A.; Pardeshi, R.T. Experimental and analytical investigation of innovative wing plate headed stud shear connector in composite structures. Structures 2022, 46, 265–284. [Google Scholar] [CrossRef]
- Singh, P.A.; Patil, Y.D.; Pardeshi, R.T. Performance evaluation of triangular and circular bulged perforated headed stud shear connector in composite junction. Structures 2023, 53, 327–345. [Google Scholar] [CrossRef]
- Lebet, J.P.; Yoda, T.; Okada, J. A study of the grouped arrangements of stud connectors on shear strength behavior. J. Struct. Mech. Earthq. Eng. 2006, 23, 75S–89S. [Google Scholar] [CrossRef]
- Shim, C.S.; Lee, P.G.; Kim, D.W.; Chung, C.H. Effects of Group Arrangement on the Ultimate Strength of Stud Shear Connection. In Composite Construction in Steel and Concrete VI; American Society of Civil Engineers: Reston, VA, USA, 2011. [Google Scholar] [CrossRef]
- Xu, C.; Sugiura, K.; Wu, C.; Su, Q. Parametrical static analysis on group studs with typical push-out tests. J. Constr. Steel Res. 2012, 72, 84–96. [Google Scholar] [CrossRef]
- Su, Q.; Yang, G.; Bradford, M.A. Static behaviour of multi-row stud shear connectors in high-strength concrete. Steel Compos. Struct. 2014, 17, 967–980. [Google Scholar] [CrossRef]
- An, L.; Cederwall, K. Push-out tests on studs in high strength and normal strength concrete. J. Constr. Steel Res. 1996, 36, 15–29. [Google Scholar] [CrossRef]
- Luo, Y.; Hoki, K.; Hayashi, K.; Nakashima, M. Behavior and Strength of Headed Stud-SFRCC Shear Connection. I: Experimental Study. J. Struct. Eng. 2016, 142, 4015112. [Google Scholar] [CrossRef]
- Ding, J.; Zhu, J.; Kang, J.; Wang, X. Experimental study on grouped stud shear connectors in precast steel-UHPC composite bridge. Eng. Struct. 2021, 242, 112479. [Google Scholar] [CrossRef]
- Aslani, F.; Sun, J.B.; Huang, G.Q. Mechanical Behavior of Fiber-Reinforced Self-Compacting Rubberized Concrete Exposed to Elevated Temperatures. J. Mater. Civ. Eng. 2019, 31, 14. [Google Scholar] [CrossRef]
- Sun, J.B.; Ma, Y.Z.; Li, J.X.; Zhang, J.F.; Ren, Z.H.; Wang, X.Y. Machine learning-aided design and prediction of cementitious composites containing graphite and slag powder. J. Build. Eng. 2021, 43, 14. [Google Scholar] [CrossRef]
- Dnmez, A.A. Size effect on the shear capacity of headed studs. Adv. Struct. Eng. 2020, 24, 815–826. [Google Scholar] [CrossRef]
- Hu, Y.; Zhong, R.; Meloni, M.; Wang, J. A Novel Shear Strength Prediction Approach for Headed Shear Studs Embedded in Ultrahigh-Performance Concrete. J. Struct. Eng. 2021, 147, 04021181. [Google Scholar] [CrossRef]
- Zhang, G.B.; Wang, J.Q.; Jiang, Z.W.; Peng, C.; Sun, J.B.; Wang, Y.F.; Chen, C.F.; Morsy, A.M.; Wang, X.Y. Properties of sustainable self-compacting concrete containing activated jute fiber and waste mineral powders. J. Mater. Res. Technol.-JMRT 2022, 19, 1740–1758. [Google Scholar] [CrossRef]
- Tang, Y.C.; Huang, Z.F.; Chen, Z.; Chen, M.Y.; Zhou, H.; Zhang, H.X.; Sun, J.B. Novel visual crack width measurement based on backbone double-scale features for improved detection automation. Eng. Struct. 2023, 274, 115158. [Google Scholar] [CrossRef]
- Sun, J.B.; Wang, J.Q.; Zhu, Z.Y.; He, R.; Peng, C.; Zhang, C.; Huang, J.Z.; Wang, Y.F.; Wang, X.Y. Mechanical Performance Prediction for Sustainable High-Strength Concrete Using Bio-Inspired Neural Network. Buildings 2022, 12, 65. [Google Scholar] [CrossRef]
- Zhang, X.G. Cable-Tower Composite Anchorage. Available online: https://too.st/5Hq (accessed on 31 January 2010).
- Xie, J.W.; Li, X. Research on the mechanical properties of shear connectors of large diameter stud in steel-concrete compositebridge decks. Eng. Constr. 2020, 52, 18–23+29. [Google Scholar] [CrossRef]
- Liu, Y.Q. Steel-Concrete Hybrid Bridge. Available online: https://too.st/5Hp (accessed on 1 January 2005).
- Zhang, J.F.; Sun, Y.T.; Li, G.C.; Wang, Y.H.; Sun, J.B.; Li, J.X. Machine-learning-assisted shear strength prediction of reinforced concrete beams with and without stirrups. Eng. Comput. 2022, 38, 1293–1307. [Google Scholar] [CrossRef]
- Feng, W.H.; Wang, Y.F.; Sun, J.B.; Tang, Y.C.; Wu, D.X.; Jiang, Z.W.; Wang, J.Q.; Wang, X.Y. Prediction of thermo-mechanical properties of rubber-modified recycled aggregate concrete. Constr. Build. Mater. 2022, 318, 125970. [Google Scholar] [CrossRef]
- Sun, J.B.; Wang, Y.F.; Li, K.F.; Yao, X.P.; Zhu, B.R.; Wang, J.Q.; Dong, Q.Q.; Wang, X.Y. Molecular interfacial properties and engineering performance of conductive fillers in cementitious composites. J. Mater. Res. Technol.-JMRT 2022, 19, 591–604. [Google Scholar] [CrossRef]
- Sun, Y.T.; Li, G.C.; Zhang, J.F.; Sun, J.B.; Xu, J.H. Development of an Ensemble Intelligent Model for Assessing the Strength of Cemented Paste Backfill. Adv. Civ. Eng. 2020, 2020, 1643529. [Google Scholar] [CrossRef]
- Li, J.W.; Qin, Q.R.; Sun, J.B.; Ma, Y.Z.; Li, Q. Mechanical and conductive performance of electrically conductive cementitious composite using graphite, steel slag, and GGBS. Struct. Concr. 2022, 23, 533–547. [Google Scholar] [CrossRef]
- Jun, O.; Teruhiko, Y.; Jean-Paul, L. A study of the grouped arrangement of stud connectors on the shear strength behavior. Doboku Gakkai Ronbunshu 2004, 2004, 81–95. [Google Scholar] [CrossRef][Green Version]
- CCCC Highway Consultants Co., Ltd. Specifications for Design of Highway Steel Bridge. Available online: http://mtw.so/69GHnh (accessed on 1 December 2015).
- Chen, Z.Y.; Shi, J.J.; Li, B.S.; Han, X.H. Experimental research on the load-bearing capacity of large diameter shear connector. China Civ. Eng. J. 1993, 2, 67–74. [Google Scholar]
- Cao, J.A.; Ye, M.X. The ultimate load behavior of shear connectors of composite girders. J. Railw. Sci. Eng. 1999, 1, 18–22. [Google Scholar] [CrossRef]
- Tang, J.; Ye, M.X. Load distribution state of crowded shear stud group. J. Railw. Sci. Eng. 1999, 4, 68–73. [Google Scholar] [CrossRef]
- Ye, M.X.; Luo, R.D. Study of shear force of steel-concrete composite structures with a large number of closely arranged studs. Steel Constr. 1999, 3, 39–42. [Google Scholar]
- Ye, M.X.; Jiang, F. Study on the concrete slab-steel truss composite structures for Wuhu Yangtze River Bridge. J. China Railw. Soc. 2001, 23, 65–69. [Google Scholar]
- Lin, C.J.; Zong, Z.H.; Tang, Z.Y. The experiment study on load-slip relationship of φ22 stud shear connectors. In Proceedings of the Sub-Association for Steel-Concrete Composite Structures, Harbin, China, 6–8 August 2005; Volume 6, pp. 385–389+401. [Google Scholar]
- Liao, Z.Q. Experimental Study on the Ultimate Shear Capacity of Grouped Stud Connectors in Continuous Composite Steel-Concrete Girder Bridge. Master’s Thesis, Tongji University, Shanghai, China, 2007. [Google Scholar]
- Liu, Y.Q.; Wu, J.M.; Jiang, J.S. Experimental study of influence of service conditions on shearing behavior of welded stud connectors. Bridge Constr. 2007, 6, 23–25+64. [Google Scholar]
- Wu, C.; Liao, Z.Q.; Zeng, M.G.; Yu, G.J.; Zhu, H.L. Experimental study on ultimate shear capacity of studs group filled with high strength mortar in Continuous composite bridge. Build. Struct. 2008, 9, 102–105. [Google Scholar] [CrossRef]
- Bai, G.L.; Tang, G.W.; Zhou, C.X. Test study of bearing capacity of shear connectors used for steel and concrete composite segment in bridge pylon. Bridge Constr. 2010, 1, 17–20. [Google Scholar]
- Chen, L.Z.; Jiang, S.C.; Zhang, J. The review on load-bearing capacity of stud shear connectors. Steel Constr. 2010, 25, 5–10. [Google Scholar]
- Hou, W.Q.; Ye, M.X. Analysis on the ultimate bearing capacity and the statical behavior of the composite structures with grouped studs in railway bridge. China Railw. Sci. 2011, 32, 55–61. [Google Scholar]
- Su, Q.T.; Han, X.; Ren, F. Static behavior of push-out specimen with multi-row stud connectors. J. Tongji Univ. 2014, 42, 1011–1016. [Google Scholar]
- Huang, C.P.; Zhang, Z.X.; Zheng, Z.J.; Tan, Y. Force characteristics and failure mechanism experimental study of group-nail in steel-concrete composite structure. J. Wuhan Univ. Technol. 2015, 37, 100–105. [Google Scholar]
- Lu, W.R. Study on Mechanical Behavior and Design Method of Steel-Concrete Composite Pylon Anchorage System with Steel Anchor Box. Ph.D. Thesis, Chang’an University, Xi’an, China, 2016. [Google Scholar]
- Li, C.J.; Zhou, Z.X.; Huang, Y.Y.; Fan, L. Research on shear resistance of shear studs in prefabricated composite beam. China J. Highw. Transp. 2017, 30, 264–270. [Google Scholar] [CrossRef]
- Lin, B.Y. The Research on Load-Bearing Capacity of Stud Shear Connectors. Master’s Thesis, South China University of Technology, Guangzhou, China, 2017. [Google Scholar]
- Xiang, Y.Q.; Guo, S.H. Parameter analysis of push-out specimens with different group studs in accelerated bridge construction steel-concrete composite beams under complicated stress condition. China J. Highw. Transp. 2017, 30, 246–254. [Google Scholar] [CrossRef]
- Wang, W.H. Experimental and Analytical Study on Shear Properties of Headed Stud Connector. Master’s Thesis, Zhejiang University, Hangzhou, China, 2018. [Google Scholar]
- Li, C.J. Study on Force Transfer Mechanism and Computation Method for Shear Connectorsof Prefabricated Composite Beam. Ph.D. Thesis, Chongqing Jiaotong University, Chongqing, China, 2019. [Google Scholar]
- Wang, Y.; Zhang, Y.J.; Chen, B.C. Shear capacity study on stud shear connector of steel-concrete composite beams. Build. Sci. 2019, 35, 20–24. [Google Scholar] [CrossRef]
- Yang, W.P.; Li, C.J.; Song, X.M.; Zhou, Z.X. Experimental study on shear capacity of prefabricated composite shear stud. Railw. Constr. 2019, 59, 38–42. [Google Scholar]
- Chen, Y.C.; Liao, H.; Du, G.M.; Liao, L.S.; Liu, Y.Q. Research and finite element analysis of shearing performance testing of φ19 mm group nails. Eng. Constr. 2020, 52, 6–12+54. [Google Scholar] [CrossRef]
- Zhou, D. Study on Nonlinear Mechanical Behavior of Assembled Group Studs. Master’s Thesis, Chongqing Jiaotong University, Chongqing, China, 2020. [Google Scholar]

















Disclaimer/Publisher’s Note: The statements, opinions and data contained in all publications are solely those of the individual author(s) and contributor(s) and not of MDPI and/or the editor(s). MDPI and/or the editor(s) disclaim responsibility for any injury to people or property resulting from any ideas, methods, instructions or products referred to in the content. |
© 2023 by the authors. Licensee MDPI, Basel, Switzerland. This article is an open access article distributed under the terms and conditions of the Creative Commons Attribution (CC BY) license (https://creativecommons.org/licenses/by/4.0/).
Share and Cite
Lu, W.; Huang, Y.; Xu, W. Study on the Shear Resistance Performance of Grouped Stud Connectors. Materials 2023, 16, 6625. https://doi.org/10.3390/ma16206625
Lu W, Huang Y, Xu W. Study on the Shear Resistance Performance of Grouped Stud Connectors. Materials. 2023; 16(20):6625. https://doi.org/10.3390/ma16206625
Chicago/Turabian StyleLu, Wenru, Yuanming Huang, and Wenhan Xu. 2023. "Study on the Shear Resistance Performance of Grouped Stud Connectors" Materials 16, no. 20: 6625. https://doi.org/10.3390/ma16206625
APA StyleLu, W., Huang, Y., & Xu, W. (2023). Study on the Shear Resistance Performance of Grouped Stud Connectors. Materials, 16(20), 6625. https://doi.org/10.3390/ma16206625

