Composite Resins Impregnated by Phosphorus Organic Extractants for Separation of Rare Earth Elements from Nitrate-Based Leachate of Permanent Magnets
Abstract
:1. Introduction
2. Experimental Section
2.1. Solutions and Reagents
| Element | Content (wt%) |
|---|---|
| Fe | 61.1 ± 1.0 |
| Nd | 25.4 ± 0.6 |
| B | 1.00 ± 0.02 |
| Al | 0.95 ± 0.16 |
| Co | 1.42 ± 0.07 |
| Dy | 1.08 ± 0.27 |
| Pr | 2.62 ± 0.17 |
| Mn | 0.15 ± 0.01 |
| Cu | 0.22 ± 0.05 |
| Ni | 2.03 ± 0.23 |
| Element | Concentration, mg/L |
|---|---|
| Fe | 575 ± 1 |
| Nd | 259.0 ± 0.9 |
| B | 11.2 ± 0.1 |
| Co | 48.8 ± 0.9 |
| Pr | 34.1 ± 0.9 |
| Dy | 4.05 ± 0.05 |
| Al | 5.60 ± 0.07 |
| Mn | 0.81 ± 0.03 |
| Cu | 0.60 ± 0.02 |
| Ni | 0.39 ± 0.03 |
2.2. Synthesis
2.3. Extraction of REEs
2.4. Preparation of Resins
2.5. IR Spectra
2.6. Chromatographic Equipment
2.7. Dynamic Uptake of Nd(III) and Fe(III)
2.8. Separation of Fe(III) and Nd(III)
2.9. Recovery of Rare Earth Elements from Nitrate-Based Leachate of NdFeB Permanent Magnet
3. Results and Discussion
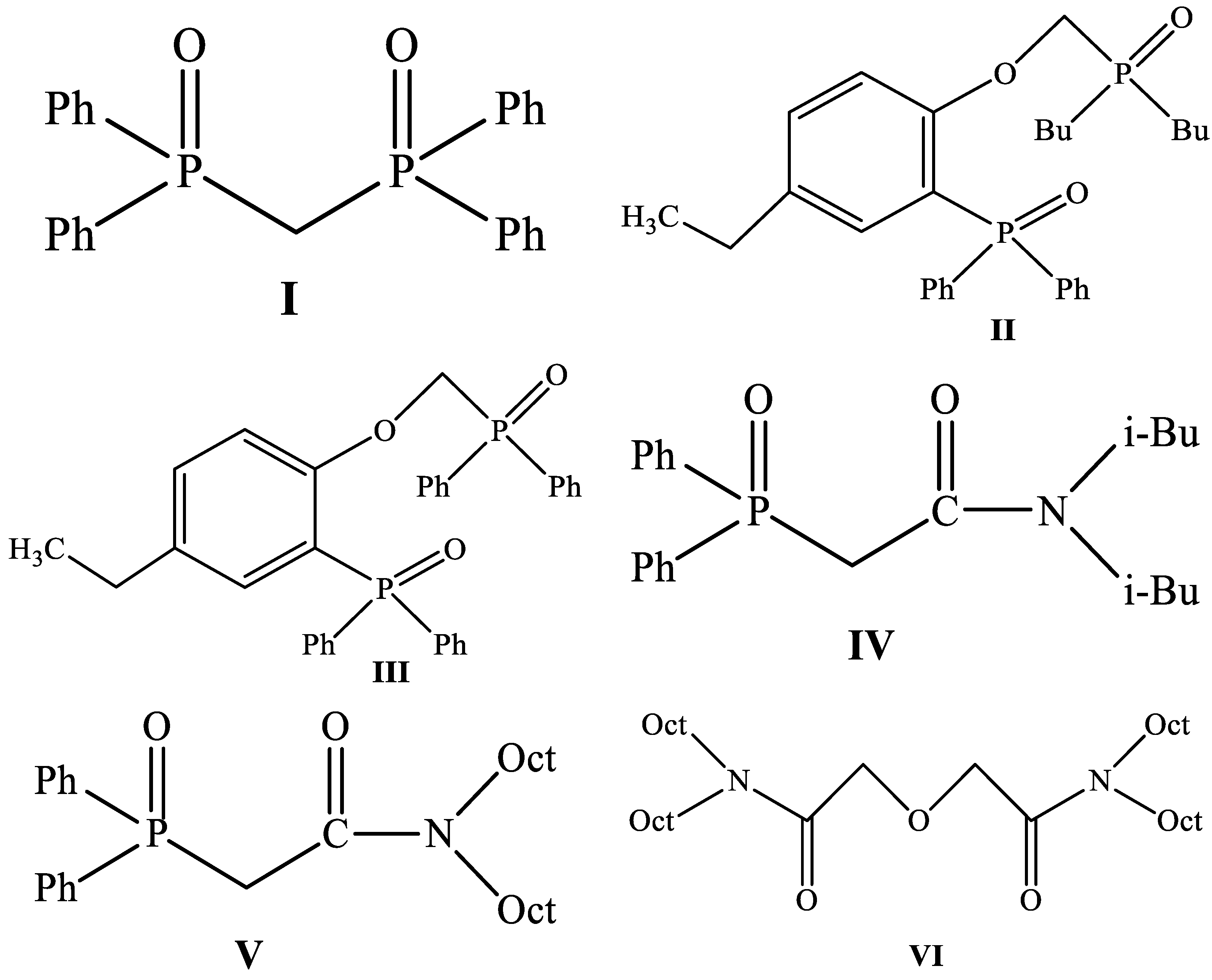
3.1. The Choice of Extractant for Preparation of Resins
3.2. IR Spectra
3.3. Influence of HNO3 Concentration
3.4. Influence of Composition of Feed Solutions
3.5. Reproducibility
3.6. Comparison with TODGA
3.7. Separation of Fe(III) and Nd(III)
3.8. Recovery of REE from Nitrate-Based Leachate of NdFeB Magnets
4. Conclusions
Author Contributions
Funding
Institutional Review Board Statement
Informed Consent Statement
Data Availability Statement
Acknowledgments
Conflicts of Interest
References
- Balaram, V. Geoscience Frontiers. Rare earth elements: A review of applications, occurrence, exploration, analysis, recycling, and environmental impact. Geosci. Front. 2019, 10, 1285–1303. [Google Scholar] [CrossRef]
- Ni’am, A.C.; Wang, Y.-F.; Chen, S.-W.; Chang, G.-M.; You, S.-J. Simultaneous recovery of rare earth elements from waste permanent magnet s (WPMs) leach liquor by solvent extraction and hollow fiber supported liquid membrane. Chem. Eng. Process. 2020, 148, 107831–107840. [Google Scholar] [CrossRef]
- Yurramendi, L.; Gijsemans, L.; Forte, F.; Aldana, J.L.; del Rio, C.; Binnemans, K. Enhancing rare-earth recovery from lamp phosphor waste. Hydrometallurgy 2019, 187, 38–44. [Google Scholar] [CrossRef]
- Zhang, W.; Noble, A.; Yang, X.; Honaker, R. A comprehensive review of rare earth elements recovery from coal-related materials. Minerals 2020, 10, 451–480. [Google Scholar] [CrossRef]
- Brűkner, L.; Elvert, T.; Schirmer, T. Extraction of rare earth elements from phospho-gypsum: Concentrate digestion, leaching, and purification. Metals 2020, 10, 131–151. [Google Scholar] [CrossRef]
- Yang, Y.; Walton, A.; Sherdian, R.; Güth, K.; Gauß, R.; Gutfleisch, O.; Buchert, M.; Steenari, B.-M.; Gerven, T.V.; Jones, P.T. REE recovery from end-of-life NdFeB permanent magnet scarp: A critical review. J. Sust. Met. 2017, 3, 122–149. [Google Scholar] [CrossRef]
- Riano, S.; Binnemans, K. Extarction and separation of neodymium and dysprosium from used NdFeB magnets: An application of ionic liquids in solvent extraction towards the recycling of magnets. Green Chem. 2015, 17, 2931–2942. [Google Scholar] [CrossRef]
- Schulze, R.; Buchert, M. Estimates of global REE recycling potentials from NdFeB magnet material. Resour. Conserv. Recy. 2016, 113, 12–27. [Google Scholar] [CrossRef]
- Mishra, B.B.; Devi, N. D2EHPA is a potential extractant for extraction of europium and samarium from chloride medium. Mater. Today Proc. 2020, 30, 254–257. [Google Scholar] [CrossRef]
- Shaohua, Y.; Wenyuan, W.U.; Bo, Z.; Fengyun, Z.; Yao, L.; Shiwei, L.; Xue, B. Study on separation technology of Pr and Nd in D2EHPA-HCl-LA coordination extraction system. J. Rare Earths 2012, 28, 111–115. [Google Scholar]
- Mohammadi, M.; Forsberg, K.; Kloo, L.; De La Cruz, J.M.; Rasmuson, Ȧ. Separation of ND(III), DY(III), and Y(III) by solvent extraction using D2EHPA and EHEHPA. Hydrometallurgy 2015, 156, 215–224. [Google Scholar] [CrossRef]
- Lee, M.-S.; Lee, J.Y.; Kim, J.S.; Lee, G.-S. Solvent extraction of neodymium ions from hydrochloric acid solution using PC88A and saponified PC88A. Sep. Purif. Technol. 2005, 46, 72–78. [Google Scholar] [CrossRef]
- Kashi, E.; Habibpour, R.; Gorsin, H.; Maleki, A. Solvent extraction and separation of light rare earth elements (La, Pr, and Nd) in the presence of lactic acid as a complexing agent by Cyanex 272 in kerosene and the effect of citric acid, acetic acid, and Titreplex III as auxiliary agents. J. Rare Earths 2018, 36, 317–323. [Google Scholar] [CrossRef]
- Yang, F.; Baba, Y.; Kubota, F.; Kamiya, N.; Goto, M. Extraction and separation of rare earth metal ions with DODGA in ionic liquids. Solvent Extr. Res. Dev. Jpn. 2012, 19, 69–76. [Google Scholar] [CrossRef]
- Jorjani, E.; Shahbazi, M. The production of rare earth elements group via tributyl phosphate extraction and precipitation stripping using oxalic acid. J. Arabjc. 2012, 9, S1532–S1539. [Google Scholar] [CrossRef]
- Wang, L.; Long, Z.; Huang, X.; Yu, Y.; Ciu, D.; Zhang, G. Recovery of rare earths from wet-process phosphoric acid. Hydrometallurgy 2010, 101, 41–47. [Google Scholar] [CrossRef]
- El-Nadi, Y.A. Lanthanum and neodymium from Egiptain monazite: Synergistic extractive separation using organophosphorus reagents. Hydrometallurgy 2012, 119–120, 23–29. [Google Scholar] [CrossRef]
- Gupta, B.; Malic, P.; Deep, A. Solvent extraction and separation of tervalent lanthanides and yttrium using Cyanex 923. Solvent Extr. Ion Exch. 2003, 21, 239–258. [Google Scholar] [CrossRef]
- Kim, D.; Powell, L.E.; Delmau, L.H.; Peterson, E.S.; Herchenroeder, J.; Bhave, R.R. Selective extraction of rare earth elements from permanent magnet scarps with membrane solvent extraction. Environ. Sci. Technol. 2015, 49, 9452–9459. [Google Scholar] [CrossRef]
- Deshmane, V.G.; Islam, S.Z.; Bhave, R.R. Selective recovery of rare earth elements from a wide range of e-waste and process scalability of membrane solvent extraction. Environ. Sci. Technol. 2020, 54, 550–558. [Google Scholar] [CrossRef]
- Swain, N.; Pradhan, S.; Mishra, S. Efficiency of Aliquat 336 for hydrometallurgical separation of Sm(III) and Co(II) from nitrate medium. Miner. Eng. 2019, 139, 105872. [Google Scholar] [CrossRef]
- Kalyakin, S.N.; Kuz’min, V.I.; Mulagaleeva, M.A. Binary extraction of lanthanide(III) chlorides using carboxylates and dialkylphosphates of secondary and tertiary amines. Hydrometallurgy 2015, 115, 116–121. [Google Scholar] [CrossRef]
- Baulin, V.E.; Kalashnikova, I.P.; Kovalenko, O.V.; Baulin, D.V.; Usolkin, A.N.; Tsivadse, A.Y. Acidic phosphoryl podands as components of extraction chromatography material for selective extraction of Promethium-147. Prot. Met. 2016, 52, 996–1004. [Google Scholar] [CrossRef]
- Kovalenko, O.V.; Baulin, V.E.; Baulin, D.V.; Tsivadse, A.Y. Separation of La(III), Eu(III), and Ho(III) with sorbents impregnated by mixtures of acidic phosphoryl podands and amines in nitric acid solutions. Solvent Extr. Ion Exch. 2019, 37, 392–410. [Google Scholar] [CrossRef]
- Kovalenko, O.V.; Baulin, V.E.; Baulin, D.V.; Tsivadse, A.Y. Solvent impregnated resins based on the mixture of (2-diphenylphosphoryl)-4-ethylphenoxy)methyl) diphenylphosphine oxide and ionic liquid for Nd(III) recovery fron nitric acid media. Molecules 2021, 26, 2440–2457. [Google Scholar] [CrossRef] [PubMed]
- Braley, J.C.; McAlister, D.R.; Horwitz, E.P.; Nash, K.L. Explorations of Talspeak Chemistry in extraction chromatography: Comparison of TTHA with DTPA and HDEHP with HEH[EHP]. Solvent Extr. Ion Exch. 2013, 31, 107–123. [Google Scholar] [CrossRef]
- Mondal, S.; Ghar, A.; Satpati, A.K.; Sinharoy, P.; Singh, D.K.; Sharma, J.N.; Screevas, T.; Kain, V. Recovery of rare earth elements from coal fly ash using TEHDGA impregnated resin. Hydrometallurgy 2019, 85, 93–110. [Google Scholar] [CrossRef]
- Inan, S.; Tel, H.; Sert, Ş.; Ḉetinkaya, B.; Sengül, S.; Özkan, B.; Altaş, Y. Extarction and separation studies of rare earth elements using Cyanex 272 impregnated Amberlite XAD-7 resin. Hydrometallurgy 2018, 181, 156–177. [Google Scholar] [CrossRef]
- Turanov, A.N.; Karandashev, V.K.; Bondarenko, N.A. Extraction Properties of Tetrasubstituted Methylenediphosphine Dioxides in Nitric Acid Media. Radiochemistry 2007, 49, 55–63. [Google Scholar] [CrossRef]
- Turanov, A.N.; Karandashev, V.K.; Yarrevich, A.N.; Safronova, Z.V. Extraction of U(VI), Th(IV), Sc(III), and Rare Earth Elements from Nitric Acidic Solutions by Selected Bifunctional Neutral Organophosphorus Compounds. Solvent Extr. Ion Exch. 2004, 22, 391–413. [Google Scholar] [CrossRef]
- Turanov, A.N.; Karandashev, V.K.; Baulin, V.E.; Yarkevich, A.N.; Safronova, Z.V. Extraction of lanthanides (III) from aqueous nitrate media with tetra-(p-tolyl)[(o-phenylene)oxymethylene] diphosphine dioxide. Solvent Extr. Ion Exch. 2009, 27, 551–578. [Google Scholar] [CrossRef]
- Karandashev, V.K.; Turanov, A.N.; Kuβ, H.-M.; Kumpmann, I.; Zadnepruk, L.V.; Baulin, V.E. Extraction Chromatographic Separation of Y, REE, Bi, Th, and U from the Matrix Suitable for their Determination in Pure Iron and Low-Alloyed Steels by ICP-MS and ICP-AES. Microchim. Acta 1998, 130, 47–54. [Google Scholar] [CrossRef]
- Turanov, A.N.; Karandashev, V.K.; Yarkevich, A.N.; Baulin, D.V.; Baulin, V.E. Influence of the Structure of (O-Phenyleneoxymethylene)diphosphine Dioxides on Their Extraction Ability to U(VI), Th(IV), and REE(III) in Nitric Acid Media. Radiochemistry 2022, 64, 16–22. [Google Scholar] [CrossRef]
- Turanov, A.N.; Karandashev, V.K.; Yarkevich, A.N.; Kharitonov, A.V.; Safronova, Z.V. Recovery of Rare-Earth Elements from Nitric Acid Solutions with Polymeric Sorbent Impregnated with Diphenyl(dialkylcarbamoylmethyl)phosphine Oxides. Radiochemistry 2002, 44, 559–564. [Google Scholar] [CrossRef]
- Gladilovich, D. Determination of the sum of rare-earth elements by flow-injection analysis with Arsenazo III, 4-(2-pyridylazo)resorcinol, Chrome Azurol S and 5-bromo-2-(2-pyridylazo)-5-diethylaminophenol spectrophotometric reagents. Talanta 1988, 35, 259–265. [Google Scholar] [CrossRef]
- Skood, D.A.; West, D.M.; Holler, F.J.; Crouch, S.R. Fundaments of Analytical Chemistry; Cengage Learning: Boston, MA, USA, 2014; p. 1072. [Google Scholar]
- Gergoric, M.; Ekberg, C.; Foreman, M.R.S.J.; Steenari, B.-M.; Retegan, T. Characterization and leaching of neodymium magnet waste and solvent extraction of rare-earth elements using TODGA. J. Sustain. Metall. 2017, 3, 638–645. [Google Scholar] [CrossRef]
- Turanov, A.N.; Karandashev, V.K.; Kharitonov, A.V.; Lezhnev, A.N.; Safronova, Z.V.; Yarkevich, A.N.; Tsvetkov, E.N. Extraction with N,N-dialkylcarbamoylmethyl(diphenyl)-phosphine oxides from hydrochloric acid solutions. Russ. J. Gen. Chem. 1999, 69, 1068–1074. [Google Scholar]
- Horwitz, E.P.; McAlister, D.R.; Bond, A.H., Jr.; Barrans, R.E. Novel extraction of chromatographic resins based on tetraalkyldiglucolamides: Characterization and potential application. Solvent Extr. Ion Exch. 2005, 23, 319–344. [Google Scholar] [CrossRef]
- Braun, T.; Ghersini, G. Extraction Choromatography; Elsevier Science: Amsterdam, The Netherlands, 1975; p. 603. [Google Scholar]
- Turanov, A.N.; Karandashev, V.K.; Yarkevich, A.N.; Ushakova, A.P. Extraction of Am(III) and Rare-Earth Elements from Nitric Acid Solutions by Dibuthyl Diphenylphosphinylmethylphosphonate. Radiochemistry 2002, 44, 130–134. [Google Scholar] [CrossRef]
- Bartholin, M.; Boissier, G.; Dubois, J. Styrene-divinylbenzene copolymers. Revisited IR analysis. Makromol. Chem. 1981, 182, 2075–2085. [Google Scholar] [CrossRef]
- Zolotarev, V.M. Comparison of Polystyrene IR Spectra Obtained by the T, R, ATR, and DR Methods. Opt. Spectrosc. 2017, 122, 749–756. [Google Scholar] [CrossRef]
- Musto, P.; Tavone, S.; Guerra, G.; De Rosa, C. Evaluation by Fourier Transform Infrared Spectroscopy of the Different Crystalline Forms in Syndiotactic Polystyrene Samples. Polym. Sci. B Polym. Phys. 1997, 35, 1055–1066. [Google Scholar] [CrossRef]
- Gupta, D.C.; Beldar, A.G.; Tank, R. Suspension copolymerization of styrene and divinylbenzene: Formation of beads. J. Appl. Polym. Sci. 2006, 101, 3559–3563. [Google Scholar] [CrossRef]
- Ning He, N.; Ni, Y.; Teng, J.; Li, H.; Yao, L.; Zhao, P. Identification of inorganic oxidizing salts in homemade explosives using Fourier transform infrared spectroscopy. Spectrochim. Acta A Mol. Biomol. Spectrosc. 2019, 221, 117164–117170. [Google Scholar]
- Walker, A.; Ferraro, J.R. Infrared Spectra of Anhydrous Rare-Earth Nitrates from 4000–100 cm−1. J. Chem. Phys. 1965, 43, 2689–2702. [Google Scholar] [CrossRef]
- Ayodele, B.V.; Hossain, M.A.; Chong, S.L.; Soh, J.C.; Abdullah, S.; Khan, M.R.; Cheng, C.K. Non-isothermal kinetics and mechanistic study of thermal decomposition of light rare earth metal nitrate hydrates using thermogravimetric analysis. J. Therm. Anal. Calorim. 2016, 125, 423–435. [Google Scholar] [CrossRef]
- Morgalyuk, V.P.; Pribylova, G.A.; Drozhko, D.E.; Ivanova, L.A.; Kalyanova, R.M.; Artyushin, O.I.; Lagunov, M.V.; Tananaev, I.G.; Mastryukova, T.A.; Myasoedov, B.F. Extraction of f elements and technetium from HNO3 solutions with solutions of alkyl (N,N-diethylcarbamoylmethyl)phenylphosphinates. Radiochemistry 2004, 46, 141–148. [Google Scholar] [CrossRef]
- Turanov, A.N.; Karandashev, V.K.; Yarkevich, A.N. Extraction of rare earth elements and yttrium from nitric acid solutions by butyl(diphenylphosphenyl-methyl)phenylphosphinate. Solvent Extr. Ion Exch. 2002, 20, 1–19. [Google Scholar] [CrossRef]
- Turanov, A.N.; Karandashev, V.K.; Baulin, D.V.; Baulin, V.E. Extraction of Uranium(VI), Thorium(IV), and trivalent rare earth from nitric acid solutions with {[2-(2-diphenylphosphoryl)-4-ethylphenoxy]ethyl}-diphenylphosphine oxide. Rus. J. Gen. Chem. 2020, 90, 1012–1019. [Google Scholar] [CrossRef]
- Nakashima, K.; Kubota, F.; Maruyama, T.; Goto, M. Ionic liquids as a novel solvent for lanthanide extraction. Anal. Sci. 2003, 19, 1097–1098. [Google Scholar] [CrossRef]
- Flores, R.; Momen, M.A.; Healy, M.R.; Janson-Popova, S.; Lyon, K.L.; Reinhart, B.; Cheshire, M.C.; Moyer, B.A.; Bryantsev, V.S. The coordination chemistry and stoichiometry of extracted diglycolamide complexes of lanthanides in extraction chromatography materials. Solvent Extr. Ion Exch. 2022, 40, 6–27. [Google Scholar] [CrossRef]
- Momen, M.A.; Healy, M.R.; Tsouris, C.; Jansone-Popova, S.; DePaoli, D.W.; Moyer, B.A. Extraction chromatographic materials for clean hydrometallurgical separation of rare-earh elements using diglycolamide extractants. Ind. Eng. Chem. Res. 2019, 58, 20081–20089. [Google Scholar] [CrossRef]
- Chu, Z.-Y.; Wang, M.-J.; Li, C.; Yang, Y.-H.; Xu, J.-J.; Wang, W.; Guo, J.-H. Separation of Nd from geological samples by a single TODGA resin column for high precision Nd isotope analysis as NdO by TIMs. J. Anal. At. Spectrom. 2019, 34, 2053–2073. [Google Scholar] [CrossRef]
- Lee, C.-H.; Chen, Y.J.; Liao, C.-H.; Popuri, S.R.; Tsai, S.-L.; Hung, C.-E. Selective leaching process for neodymium recovery from scrap Nd-Fe-B magnet. Metall. Mater. Trans. A 2013, 44, 5825–5833. [Google Scholar] [CrossRef]














| Resin | Compound | Content, wt % |
|---|---|---|
| SIR 1 | I | 40.2 ± 0.3 |
| SIR 2 | II | 40.3 ± 0.2 |
| SIR 3 | III | 40.4 ± 0.3 |
| SIR 4 | IV | 40.3 ± 0.2 |
| SIR 5 | V | 40.4 ± 0.3 |
| SIR 6 | TODGA | 40.3 ± 0.2 |
| Resin | Extractant Density, g/mL | Bed Density, (g/cm3) | Vs, mL | Vm, mL | Vs/Vm |
|---|---|---|---|---|---|
| SIR 1 | 1.33 ± 0.03 | 1.18 ± 0.02 | 0.24 ± 0.02 | 1.12 ± 0.02 | 0.21 |
| SIR 2 | 1.31 ± 0.02 | 1.15 ± 0.02 | 0.23 ± 0.03 | 1.14 ± 0.02 | 0.20 |
| SIR 3 | 1.37 ± 0.04 | 1.22 ± 0.03 | 0.23 ± 0.03 | 1.17 ± 0.03 | 0.19 |
| SIR 4 | 1.42 ± 0.04 | 1.17 ± 0.02 | 0.25 ± 0.04 | 1.15 ± 0.02 | 0.22 |
| SIR 5 | 1.44 ± 0.05 | 1.20 ± 0.02 | 0.24 ± 0.03 | 1.18 ± 0.03 | 0.20 |
| SIR 6 | 1.25 ± 0.03 | 1.16 ± 0.03 | 0.22 ± 0.03 | 1.14 ± 0.02 | 0.19 |
| Resin | Kd, mL/g | Capacity, Nd, mg/Resin, 1 g |
|---|---|---|
| SIR 1 | 14 ± 5 | 1.4 ± 0.2 |
| SIR 2 | 67 ± 5 | 6.9 ± 0.3 |
| SIR 3 | 75 ± 7 | 7.3 ± 0.3 |
| SIR 4 | 134 ± 7 | 12.6 ± 0.5 |
| SIR 5 | 213 ± 8 | 18.7 ± 0.4 |
| The Experiment Number | Kd, mL/g | Capacity of Resin SIR 5: mg Nd/1.0 g of Resin |
|---|---|---|
| 1 | 232 | 21.2 |
| 2 | 225 | 21.0 |
| 3 | 226 | 20.8 |
| Average value | 227 ± 10 | 21.0 ± 0.5 |
| Resin | Kd, mL/g | Capacity, Nd(mg)/1 g Resin |
|---|---|---|
| SIR 5 | 227 ± 10 | 21.2 ± 0.5 |
| SIR 6 | 112 ± 7 | 11.9 ± 0.2 |
| Element | Concentration, mg/L |
|---|---|
| Fe | 0.21 ± 0.03 |
| Nd | 303.1 ± 0.4 |
| B | <detection limit |
| Co | <detection limit |
| Pr | 47.3 ± 0.2 |
| Dy | 4.35 ± 0.02 |
| Al | 1.34 ± 0.01 |
| Mn | <detection limit |
| Cu | 0.065 ± 0.01 |
| Ni | <detection limit |
Disclaimer/Publisher’s Note: The statements, opinions and data contained in all publications are solely those of the individual author(s) and contributor(s) and not of MDPI and/or the editor(s). MDPI and/or the editor(s) disclaim responsibility for any injury to people or property resulting from any ideas, methods, instructions or products referred to in the content. |
© 2023 by the authors. Licensee MDPI, Basel, Switzerland. This article is an open access article distributed under the terms and conditions of the Creative Commons Attribution (CC BY) license (https://creativecommons.org/licenses/by/4.0/).
Share and Cite
Kovalenko, O.V.; Baulin, V.E.; Shulga, Y.M.; Baulin, D.V.; Gutsev, G.L.; Tsivadze, A.Y. Composite Resins Impregnated by Phosphorus Organic Extractants for Separation of Rare Earth Elements from Nitrate-Based Leachate of Permanent Magnets. Materials 2023, 16, 6614. https://doi.org/10.3390/ma16196614
Kovalenko OV, Baulin VE, Shulga YM, Baulin DV, Gutsev GL, Tsivadze AY. Composite Resins Impregnated by Phosphorus Organic Extractants for Separation of Rare Earth Elements from Nitrate-Based Leachate of Permanent Magnets. Materials. 2023; 16(19):6614. https://doi.org/10.3390/ma16196614
Chicago/Turabian StyleKovalenko, Olga V., Vladimir E. Baulin, Yuri M. Shulga, Dmitriy V. Baulin, Gennady L. Gutsev, and Aslan Yu. Tsivadze. 2023. "Composite Resins Impregnated by Phosphorus Organic Extractants for Separation of Rare Earth Elements from Nitrate-Based Leachate of Permanent Magnets" Materials 16, no. 19: 6614. https://doi.org/10.3390/ma16196614
APA StyleKovalenko, O. V., Baulin, V. E., Shulga, Y. M., Baulin, D. V., Gutsev, G. L., & Tsivadze, A. Y. (2023). Composite Resins Impregnated by Phosphorus Organic Extractants for Separation of Rare Earth Elements from Nitrate-Based Leachate of Permanent Magnets. Materials, 16(19), 6614. https://doi.org/10.3390/ma16196614

