Polymers and Polymer-Based Materials for the Detection of (Nitro-)explosives
Abstract
:1. Introduction
2. Common Approaches to the Detection of NACs by Using Polymer-Based Materials
2.1. Linear Conjugated Polymers
2.2. Conjugated Microporous Polymers
2.3. Branched Polymers
3. Modern Accents/Trends in the Development/Research of Polymers/Polymer-Based Materials for the Detection of NACs
3.1. Polymer Nanoparticles for Detection in Aqueous Media
3.2. Aggregates of Polymeric Probes
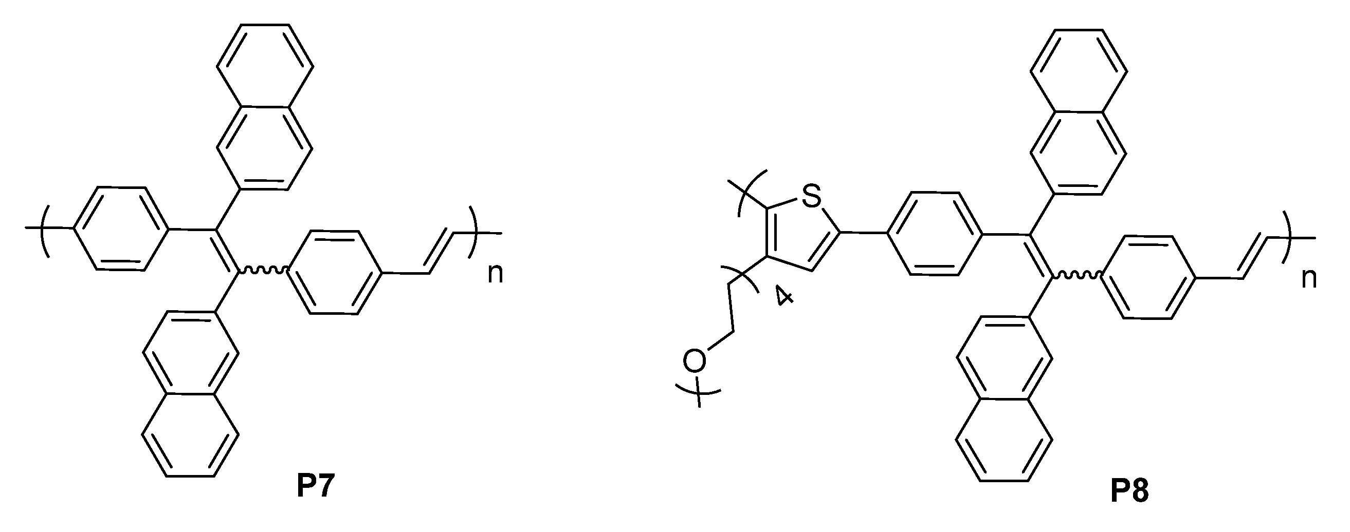
3.2.1. Linear Conjugated Polymers
3.2.2. AIE-Active Porous Conjugated Polymers
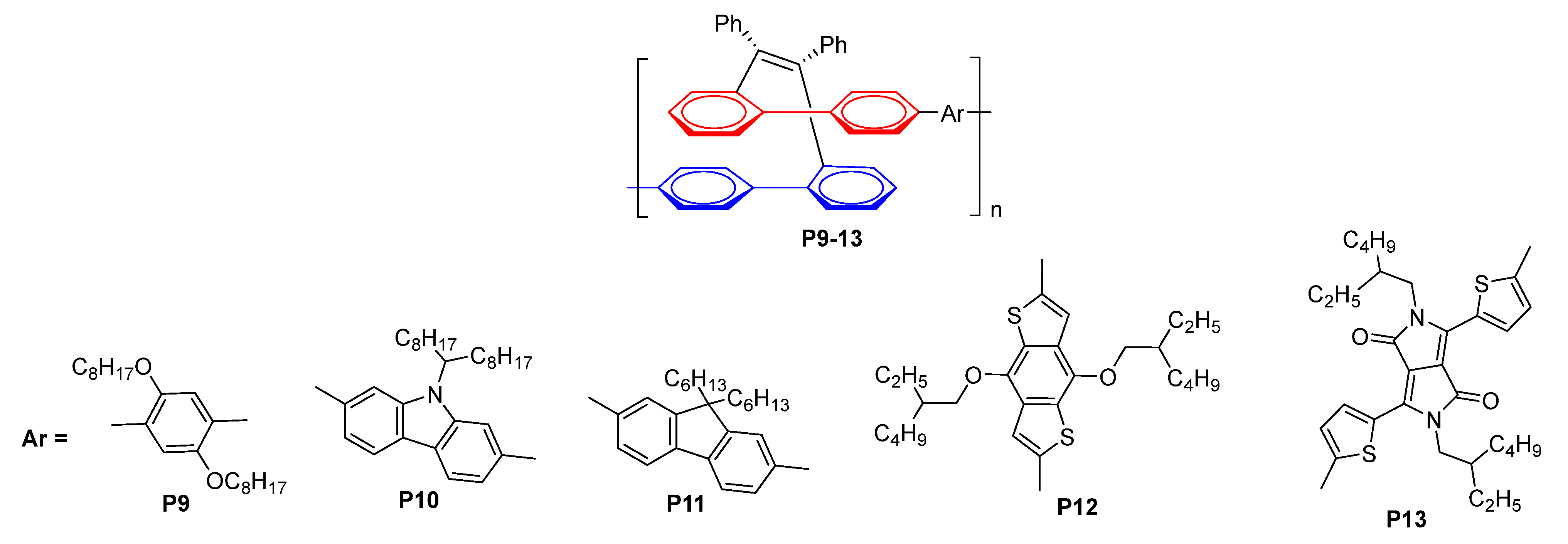
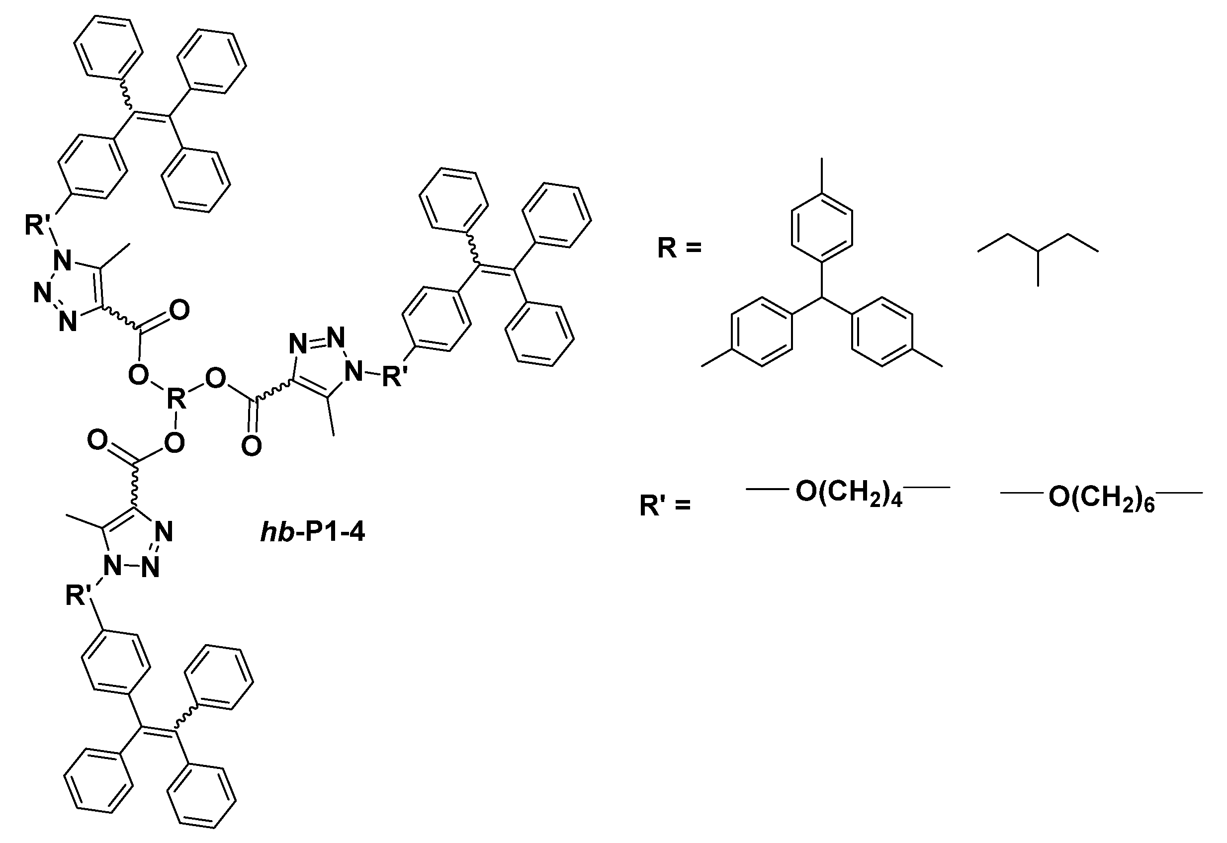
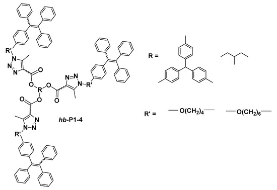
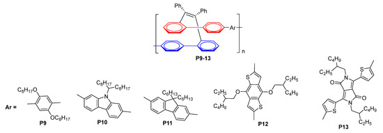
3.2.3. AIE-Active Hyperbranched Conjugated Polymers
3.3. Donor–Acceptor Architecture of Conjugated Polymers
3.4. Polymer Sensors Based on Cluster Luminogens
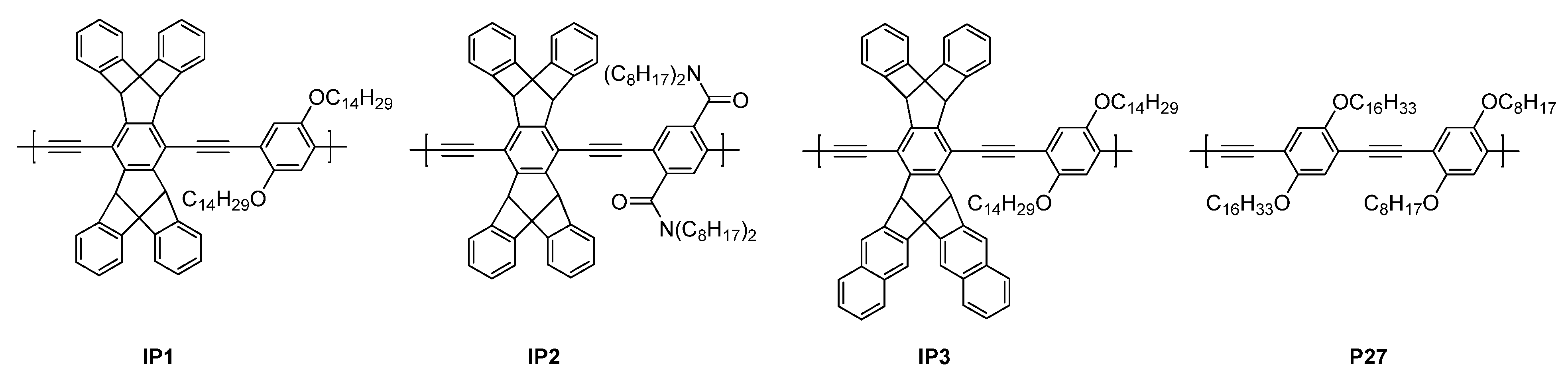
3.5. Iptycene-Based Fluorescent Conjugated Polymer Sensors
3.6. Pyrene-Containing Excimer-Based Polymer Sensors
3.7. Optical Sensors Based on Porous Fluorescent Polymers: The Molecular Imprinting Technique
3.8. Optical Sensors Based on Fluorescent Polymers Containing Macrocycles
3.9. Paper-Based Sensors
4. Conclusions and Future Perspectives
Author Contributions
Funding
Institutional Review Board Statement
Informed Consent Statement
Conflicts of Interest
Abbreviations
| ACQ | Aggregation-caused quenching |
| AFP | Amplifying fluorescent polymers |
| AIE | Aggregation-induced emission |
| CD | Carbon dots |
| CP | Conjugated polymer |
| DNP | Dinitrophenol |
| DNT | Dinitrotoluene |
| FRET | Förster resonance energy transfer |
| KSV | Stern–Volmer constant |
| LOD | Limits of detection |
| MIP | Molecularly imprinted polymer |
| NACs | Nitroaromatic compounds (nitroaromatics) |
| NB | Nitrobenzene |
| NT | Nitrotoluene |
| PA (or TNP) | Picric acid (or trinitrophenol) |
| PAH | Polycyclic aromatic hydrocarbon |
| PET | Photoinduced electron transfer |
| PETN | Pentaerythritol tetranitrate |
| RDX | Research Department eXplosive (hexagen) |
| RET | Resonance energy transfer |
| SBET | Surface of a porous solid material calculated according to Brunauer–Emmett–Teller theory |
| TNT | Trinitrotoluene |
| TPE | Tetraphenylethene |
References
- Lazarowski, L.; Waggoner, L.P.; Krichbaum, S.; Singletary, M.; Haney, P.; Rogers, B.; Angle, C. Selecting Dogs for Explosives Detection: Behavioral Characteristics. Front. Vet. Sci. 2020, 7, 597. [Google Scholar] [CrossRef]
- Sigler, N.M. The Theoretical Application and Comparison of the Olfactory Sensory Organs in Swine vs. Canines for Accelerant and Explosives Detection. Honors Theses 390. 2016. Available online: https://encompass.eku.edu/honors_theses/390 (accessed on 21 January 2017).
- Webb, E.K.; Saccardo, C.C.; Poling, A.; Cox, C.; Fast, C.D. Rapidly training African giant pouched rats (Cricetomys ansorgei) with multiple targets for scent detection. Behav. Process. 2020, 174, 104085. [Google Scholar] [CrossRef] [PubMed]
- Corcelli, A.; Lobasso, S.; Lopalco, P.; Dibattista, M.; Araneda, R.; Peterlin, Z.; Firestein, S. Detection of explosives by olfactory sensory neurons. J. Hazard. Mater. 2010, 175, 1096–1100. [Google Scholar] [CrossRef] [PubMed]
- Hodgson, M. Sniffer Bees: New Flying Squad in War against Terror Archived July 9, 2012, at the Wayback Machine; The Independent: London, UK, 2006. [Google Scholar]
- Trained Wasps May Be Used to Detect Bombs, Bugs, Bodies and More. Science Daily, 21 October 2005.
- Detecting Explosives with Honeybees: Experts Develop Method to Train Air Force of Bomb-Sniffing Bees. Science Daily, 29 November 2006.
- Hall, M. Scientists recruit wasps for war on terror. USA Today, 26 December 2005. [Google Scholar]
- Saha, D.; Mehta, D.; Altan, E.; Chandak, R.; Traner, M.; Lo, R.; Gupta, P.; Singamaneni, S.; Chakrabartty, S.; Raman, B. Explosive sensing with insect-based biorobots. Biosens. Bioelectron. X 2020, 6, 100050. [Google Scholar] [CrossRef]
- Yinon, J. Chapter 2—Detection of Explosives by Mass Spectrometry. In Counterterrorist Detection Techniques of Explosives; Springer: Berlin/Heidelberg, Germany, 2007; pp. 41–59. [Google Scholar] [CrossRef]
- Eiceman, G.A.; Schmidt, H.; Cagan, A.A. Chapter 3—Explosives Detection Using Differential Mobility Spectrometry. In Counterterrorist Detection Techniques of Explosives; Springer: Berlin/Heidelberg, Germany, 2007; pp. 61–90. [Google Scholar] [CrossRef]
- Wang, J. Chapter 4—Electrochemical Sensing of Explosives. In Counterterrorist Detection Techniques of Explosives; Springer: Berlin/Heidelberg, Germany, 2007; pp. 91–107. [Google Scholar] [CrossRef]
- Senesac, L.; Thundat, T. Chapter 5—Explosive Vapor Detection Using Microcantilever Sensors. In Counterterrorist Detection Techniques of Explosives; Springer: Berlin/Heidelberg, Germany, 2007; pp. 109–130. [Google Scholar] [CrossRef]
- Lanza, R.C. Chapter 6—Neutron Techniques for Detection of Explosives. In Counterterrorist Detection Techniques of Explosives; Springer: Berlin/Heidelberg, Germany, 2007; pp. 131–155. [Google Scholar] [CrossRef]
- Miller, J.B. Chapter 7—Nuclear Quadrupole Resonance Detection of Explosives. In Counterterrorist Detection Techniques of Explosives; Springer: Berlin/Heidelberg, Germany, 2007; pp. 157–198. [Google Scholar] [CrossRef]
- Harding, G.; Harding, A. Chapter 8—X-ray Diffraction Imaging for Explosives Detection. In Counterterrorist Detection Techniques of Explosives; Springer: Berlin/Heidelberg, Germany, 2007; pp. 199–235. [Google Scholar]
- Sheen, D.M.; McMakin, D.L.; Hall, T.E. Chapter 9—Detection of Explosives by Millimeter-wave Imaging. In Counterterrorist Detection Techniques of Explosives; Springer: Berlin/Heidelberg, Germany, 2007; pp. 237–277. [Google Scholar]
- Federici, J.F.; Gary, D.; Barat, R.; Michalopoulou, Z.-H. Chapter 11—Detection of Explosives by Terahertz Imaging. In Counterterrorist Detection Techniques of Explosives; Springer: Berlin/Heidelberg, Germany, 2007; pp. 323–366. [Google Scholar] [CrossRef]
- Munson, C.A.; Gottfried, J.L.; De Lucia, F.C.; McNesby, K.L.; Miziolek, A.W. Chapter 10—Laser-based Detection Methods of Explosives. In Counterterrorist Detection Techniques of Explosives; Springer: Berlin/Heidelberg, Germany, 2007; pp. 279–321. [Google Scholar] [CrossRef]
- Adegoke, O.; Nic Daeid, N. Colorimetric optical nanosensors for trace explosive detection using metal nanoparticles: Advances, pitfalls, and future perspective. Emerg. Top. Life Sci. 2021, 5, 367–379. [Google Scholar]
- Almog, J.; Zitrin, S. Chapter 4—Colorimetric Detection of Explosives. In Aspects of Explosives Detection; Springer: Berlin/Heidelberg, Germany, 2009; pp. 41–58. [Google Scholar] [CrossRef]
- Sun, X.; Wang, Y.; Lei, Y. Fluorescence based explosive detection: From mechanisms to sensory materials. Chem. Soc. Rev. 2015, 44, 8019–8061. [Google Scholar] [CrossRef] [PubMed]
- Wu, X.; Tong, H.; Wang, L. Fluorescent Polymer Materials for Detection of Explosives. Prog. Chem. 2019, 31, 1509–1527. [Google Scholar]
- Zhou, H.; Chua, M.H.; Tang, B.Z.; Xu, J. Aggregation-induced emission (AIE)-active polymers for explosive detection. Polym. Chem. 2019, 10, 3822–3840. [Google Scholar] [CrossRef]
- Thomas, S.W., III; Swager, T.M. Chapter 10—Detection of Explosives Using Amplified Fluorescent Polymers. In Aspects of Explosives Detection; Springer: Berlin/Heidelberg, Germany, 2009; pp. 203–221. [Google Scholar] [CrossRef]
- Batool, R.; Riaz, N.; Junaid, H.M.; Waseem, M.T.; Khan, Z.A.; Nawazish, S.; Farooq, U.; Yu, C.; Shahzad, S.A. Fluorene-Based Fluorometric and Colorimetric Conjugated Polymers for Sensitive Detection of 2,4,6-Trinitrophenol Explosive in Aqueous Medium. ACS Omega 2022, 7, 1057–1070. [Google Scholar] [CrossRef]
- Giri, D.; Patra, S.K. 1,2,3-Triazolyl functionalized thiophene, carbazole and fluorene based A-alt-B type π-conjugated copolymers for the sensitive and selective detection of aqueous and vapor phase nitroaromatics (NACs). J. Mater. Chem. C 2020, 8, 14469–14480. [Google Scholar] [CrossRef]
- Liu, G.; Abdurahman, A.; Zhang, Z.; Feng, Y.; Li, F.; Zhang, M. New three-component conjugated polymers and their application as super rapid-response fluorescent probe to DNT vapor. Sensors Actuators B Chem. 2019, 296, 126592. [Google Scholar] [CrossRef]
- Nailwal, Y.; Devi, M.; Pal, S.K. Luminescent Conjugated Microporous Polymers for Selective Sensing and Ultrafast Detection of Picric Acid. ACS Appl. Polym. Mater. 2022, 4, 2648–2655. [Google Scholar] [CrossRef]
- Mothika, V.S.; Räupke, A.; Brinkmann, K.O.; Riedl, T.; Brunklaus, G.; Scherf, U. Nanometer-Thick Conjugated Microporous Polymer Films for Selective and Sensitive Vapor-Phase TNT Detection. ACS Appl. Nano Mater. 2018, 1, 6483–6492. [Google Scholar] [CrossRef]
- Gou, Z.; Zuo, Y.; Tian, M.; Lin, W. Siloxane-Based Nanoporous Polymers with Narrow Pore-size Distribution for Cell Imaging and Explosive Detection. ACS Appl. Mater. Interfaces 2018, 10, 28979–28991. [Google Scholar] [CrossRef]
- Manna, A.; Das, M.; Mukherjee, S.; Das, S. All-in-One: Sensing, Adsorptive Removal, and Photocatalytic Degradation of Nitro-Explosive Contaminants by Microporous Polycarbazole Polymer. Macromol. Rapid Commun. 2021, 42, 2000469. [Google Scholar] [CrossRef]
- Gupta, M.; Lee, H.-I. Recyclable Polymeric Thin Films for the Selective Detection and Separation of Picric Acid. ACS Appl. Mater. Interfaces 2018, 10, 41717–41723. [Google Scholar] [CrossRef] [PubMed]
- Kumar, V.; Maiti, B.; Chini, M.K.; De, P.; Satapathi, S. Multimodal Fluorescent Polymer Sensor for Highly Sensitive Detection of Nitroaromatics. Sci. Rep. 2019, 9, 7269. [Google Scholar] [CrossRef]
- Kumar, V.; Saini, S.K.; Choudhury, N.; Kumar, A.; Maiti, B.; De, P.; Kumar, M.; Satapathi, S. Highly Sensitive Detection of Nitro Compounds Using a Fluorescent Copolymer-Based FRET System. ACS Appl. Polym. Mater. 2021, 3, 4017–4026. [Google Scholar] [CrossRef]
- Chen, X.; Hussain, S.; Abbas, A.; Hao, Y.; Malik, A.H.; Tian, X.; Song, H.; Gao, R. Conjugated polymer nanoparticles and their nanohybrids as smart photoluminescent and photoresponsive material for biosensing, imaging, and theranostics. Microchim. Acta 2022, 189, 83. [Google Scholar] [CrossRef]
- MacFarlane, L.R.; Shaikh, H.; Garcia-Hernandez, J.D.; Vespa, M.; Fukui, T.; Manners, I. Functional nanoparticles through π-conjugated polymer self-assembly. Nat. Rev. Mater. 2021, 6, 7–26. [Google Scholar] [CrossRef]
- Malik, A.H.; Hussain, S.; Kalita, A.; Iyer, P.K. Conjugated Polymer Nanoparticles for the Amplified Detection of Nitro-explosive Picric Acid on Multiple Platforms. ACS Appl. Mater. Interfaces 2015, 7, 26968–26976. [Google Scholar] [CrossRef]
- Ouyang, T.; Guo, X.; Cui, Q.; Zhang, W.; Dong, W.; Fei, T. Conjugated Polymer Nanoparticles Based on Anthracene and Tetraphenylethene for Nitroaromatics Detection in Aqueous Phase. Chemosensors 2022, 10, 366. [Google Scholar] [CrossRef]
- Wang, T.; Zhang, N.; Bai, R.; Bao, Y. Aggregation-enhanced FRET-active conjugated polymer nanoparticles for picric acid sensing in aqueous solution. J. Mater. Chem. C 2018, 6, 266–270. [Google Scholar] [CrossRef]
- Wu, X.; Hang, H.; Li, H.; Chen, Y.; Tong, H.; Wang, L. Water-dispersible hyperbranched conjugated polymer nanoparticles with sulfonate terminal groups for amplified fluorescence sensing of trace TNT in aqueous solution. Mater. Chem. Front. 2017, 1, 1875–1880. [Google Scholar] [CrossRef]
- Luo, J.; Xie, Z.; Xie, Z.; Lam, J.W.Y.; Cheng, L.; Chen, H.; Qiu, C.; Kwok, H.S.; Zhan, X.; Liu, Y.; et al. Aggregation-induced emission of 1-methyl-1,2,3,4,5-pentaphenylsilole. Chem. Commun. 2001, 18, 1740–1741. [Google Scholar] [CrossRef] [PubMed]
- Sánchez-Ruiz, A.; Sousa-Hervés, A.; Barrilero, J.T.; Navarro, A.; Garcia-Martinez, J.C. Aggregation-induced emission properties in fully π-conjugated polymers, dendrimers, and oligomers. Polymers 2021, 13, 213. [Google Scholar] [CrossRef]
- Hu, R.; Qin, A.; Tang, B.Z. AIE polymers: Synthesis and applications. Prog. Polym. Sci. 2020, 100, 101176. [Google Scholar] [CrossRef]
- Malik, A.H.; Habib, F.; Qazi, M.J.; Ganayee, M.A.; Ahmad, Z.; Yatoo, M.A. A short review article on conjugated polymers. J. Polym. Res. 2023, 30, 115. [Google Scholar] [CrossRef]
- Han, T.; Wang, X.; Wang, D.; Tang, B.Z. Functional Polymer Systems with Aggregation-Induced Emission and Stimuli Responses. Top. Curr. Chem. 2021, 379, 7. [Google Scholar] [CrossRef]
- Chu, Z.; Fan, Z.; Zhang, X.; Tan, X.; Li, D.; Chen, G.; Zhao, Q. A Comparison of ACQ, AIE and AEE-Based Polymers Loaded on Polyurethane Foams as Sensors for Explosives Detection. Sensors 2018, 18, 1565. [Google Scholar] [CrossRef]
- Qi, J.; Hu, X.; Dong, X.; Lu, Y.; Lu, H.; Zhao, W.; Wu, W. Towards more accurate bioimaging of drug nanocarriers: Turning aggregation-caused quenching into a useful tool. Adv. Drug Deliv. Rev. 2019, 143, 206–225. [Google Scholar] [CrossRef]
- Aldred, M.P.; Li, C.; Zhang, G.-F.; Gong, W.-L.; Li, A.D.Q.; Dai, Y.; Ma, D.; Zhu, M.-Q. Fluorescence quenching and enhancement of vitrifiable oligofluorenes end-capped with tetraphenylethene. J. Mater. Chem. 2012, 22, 7515–7528. [Google Scholar] [CrossRef]
- Chua, M.H.; Zhou, H.; Lin, T.T.; Wu, J.; Xu, J.W. Aggregation-induced emission active 3,6-bis(1,2,2-triphenylvinyl)carbazole and bis(4-(1,2,2-triphenylvinyl)phenyl)amine-based poly(acrylates) for explosive detection. J. Polym. Sci. Part A Polym. Chem. 2017, 55, 672–681. [Google Scholar] [CrossRef]
- Huang, W.; Bender, M.; Seehafer, K.; Wacker, I.; Schröder, R.R.; Bunz, U.H.F. A Tetraphenylethene-Based Polymer Array Discriminates Nitroarenes. Macromolecules 2018, 51, 1345–1350. [Google Scholar] [CrossRef]
- Zhuang, Y.; Yao, J.; Zhuang, Z.; Ni, C.; Yao, H.; Su, D.; Zhou, J.; Zhao, Z. AEE-active conjugated polymers based on di(naphthalen-2-yl)-1,2-diphenylethene for sensitive fluorescence detection of picric acid. Dye. Pigment. 2020, 174, 108041. [Google Scholar] [CrossRef]
- Jiang, N.; Zhu, D.; Su, Z.; Bryce, M.R. Recent advances in oligomers/polymers with unconventional chromophores. Mater. Chem. Front. 2021, 5, 60–75. [Google Scholar] [CrossRef]
- Zhang, Y.; Shen, P.; He, B.; Luo, W.; Zhao, Z.; Tang, B.Z. New fluorescent through-space conjugated polymers: Synthesis, optical properties and explosive detection. Polym. Chem. 2018, 9, 558–564. [Google Scholar] [CrossRef]
- Bai, M.M.; Babu, H.V.; Lakshmi, V.; Rao, M.R. Structure–property–function relationship of fluorescent conjugated microporous polymers. Mater. Chem. Front. 2021, 5, 2506–2551. [Google Scholar] [CrossRef]
- Hao, H.; Xu, C.; Luo, H.; Yang, J.; Liu, C.; Xu, B.; Shi, G.; Xing, X.; Chi, Z. An AIE luminogen-based electropolymerized film: An ultrasensitive fluorescent probe for TNP and Fe3+ in water. Mater. Chem. Front. 2021, 5, 492–499. [Google Scholar] [CrossRef]
- Liu, H.; Wang, Y.; Mo, W.; Tang, H.; Cheng, Z.; Chen, Y.; Zhang, S.; Ma, H.; Li, B.; Li, X. Dendrimer-Based, High-Luminescence Conjugated Microporous Polymer Films for Highly Sensitive and Selective Volatile Organic Compound Sensor Arrays. Adv. Funct. Mater. 2020, 30, 1910275. [Google Scholar] [CrossRef]
- Zhu, Y.; Xu, P.; Zhang, X.; Wu, D. Emerging porous organic polymers for biomedical applications. Chem. Soc. Rev. 2022, 51, 1377–1414. [Google Scholar] [CrossRef] [PubMed]
- Sengottuvelu, D.; Kachwal, V.; Raichure, P.; Raghav, T.; Laskar, I.R. Aggregation-Induced Enhanced Emission (AIEE)-Active Conjugated Mesoporous Oligomers (CMOs) with Improved Quantum Yield and Low-Cost Detection of a Trace Amount of Nitroaromatic Explosives. ACS Appl. Mater. Interfaces 2020, 12, 31875–31886. [Google Scholar] [CrossRef]
- Wang, S.; Li, H.; Huang, H.; Cao, X.; Chen, X.; Cao, D. Porous Organic Polymers as a Platform for Sensing Applications. Chem. Soc. Rev. 2022, 51, 2031–2080. [Google Scholar] [CrossRef]
- Zhang, J.; Xue, F.; Wang, Z. AIE-Active Fluorescent Porous Polymers for Recognizable Detection of Imidacloprid and Structure–Property Relationship. Chem. Mater. 2022, 34, 10701–10710. [Google Scholar] [CrossRef]
- Nabeel, F.; Rasheed, T.; Mahmood, M.F.; Khan, S.U.-D. Hyperbranched copolymer based photoluminescent vesicular probe conjugated with tetraphenylethene: Synthesis, aggregation-induced emission and explosive detection. J. Mol. Liq. 2020, 308, 113034. [Google Scholar] [CrossRef]
- Kalva, N.; Tran, C.H.; Lee, M.W.; Augustine, R.; Lee, S.J.; Kim, I. Aggregation-induced emission-active hyperbranched polymers conjugated with tetraphenylethylene for nitroaromatic explosive detection. Dye. Pigment. 2021, 194, 109617. [Google Scholar] [CrossRef]
- Lang, M.-N.; Chi, W.-W.; Han, T.; Zhao, Q.-Z.; Li, H.-K.; Tang, B.Z.; Li, Y.-F. Synthesis of functional hyperbranched poly(methyltriazolylcarboxylate)s by catalyst-free click polymerization of butynoates and azides. Chin. J. Polym. Sci. 2020, 38, 1171–1177. [Google Scholar] [CrossRef]
- Yang, J.-S.; Swager, T.M. Porous Shape Persistent Fluorescent Polymer Films: An Approach to TNT Sensory Materials. J. Am. Chem. Soc. 1998, 120, 5321–5322. [Google Scholar] [CrossRef]
- Yang, J.-S.; Swager, T.M. Fluorescent Porous Polymer Films as TNT Chemosensors: Electronic and Structural Effects. J. Am. Chem. Soc. 1998, 120, 11864–11873. [Google Scholar] [CrossRef]
- Zhao, D.; Swager, T.M. Sensory Responses in Solution vs. Solid State: A Fluorescence Quenching Study of Poly(Iptycenebutadiynylene)S. Macromolecules 2005, 38, 9377–9384. [Google Scholar] [CrossRef]
- McQuade, D.T.; Pullen, A.E.; Swager, T.M. Conjugated Polymer-Based Chemical Sensors. Chem. Rev. 2000, 100, 2537–2574. [Google Scholar] [CrossRef]
- Xu, B.; Wu, X.; Li, H.; Tong, H.; Wang, L. Selective detection of TNT and picric acid by conjugated polymer film sensors with donor–acceptor architecture. Macromolecules 2011, 44, 5089–5092. [Google Scholar] [CrossRef]
- Lin, Y.; El-Khouly, M.E.; Chen, Y.; Supur, M.; Gu, L.; Li, Y.; Fukuzumi, S. A New Cyanofluorene-Triphenylamine Copolymer: Synthesis and Photoinduced Intramolecular Electron Transfer Processes. Chem. Eur. J. 2009, 15, 10818–10824. [Google Scholar] [CrossRef]
- Lu, Q.; Cai, W.; Zhang, X.; Yang, C.; Ge, H.; Chen, Y.; Niu, H.; Wang, W. Multifunctional polymers for electrochromic, memory device, explosive detection and photodetector: Donor-acceptor conjugated isoindigo derivatives with strong fluorescence. Eur. Polym. J. 2018, 108, 124–137. [Google Scholar] [CrossRef]
- Lin, X.; Lu, Q.; Yang, C.; Wang, Y.; Zhang, W.; Li, D.; Gao, Y.; Niu, H.; Wang, W. Multifunctional donor–acceptor conjugated polymers containing isoindigo and benzothiadiazole moieties for electrochromic, photoelectric sensor, 2,4,6-trinitrophenol detection and resistance memory device. J. Mater. Sci. 2021, 56, 12001–12017. [Google Scholar] [CrossRef]
- Zhang, H.; Tang, B.Z. Through-Space Interactions in Clusteroluminescence. JACS Au 2021, 1, 1805–1814. [Google Scholar] [CrossRef] [PubMed]
- Zhang, H.; Zhao, Z.; McGonigal, P.R.; Ye, R.; Liu, S.; Lam, J.W.; Kwok, R.T.; Yuan, W.Z.; Xie, J.; Rogach, A.L.; et al. Clusterization-triggered emission: Uncommon luminescence from common materials. Mater. Today 2020, 32, 275–292. [Google Scholar] [CrossRef]
- Liu, J.; Wu, F.; Xie, A.; Liu, C.; Bao, H. Preparation of nonconjugated fluorescent polymer nanoparticles for use as a fluorescent probe for detection of 2,4,6-trinitrophenol. Anal. Bioanal. Chem. 2020, 412, 1235–1242. [Google Scholar] [CrossRef]
- Liu, J.; Fu, T.; Liu, C.; Wu, F.; Wang, H. Sensitive detection of picric acid in an aqueous solution using fluorescent nonconjugated polymer dots as fluorescent probes. Nanotechnology 2021, 32, 355503. [Google Scholar] [CrossRef]
- Swager, T.M. The Molecular Wire Approach to Sensory Signal Amplification. Accounts Chem. Res. 1998, 31, 201–207. [Google Scholar] [CrossRef]
- Swager, T.M. Iptycenes in the Design of High Performance Polymers. Accounts Chem. Res. 2008, 41, 1181–1189. [Google Scholar] [CrossRef] [PubMed]
- Correa, D.S.; Medeiros, E.S.; Oliveira, J.E.; Paterno, L.G.; Mattoso, L.H.C. Nanostructured Conjugated Polymers in Chemical Sensors: Synthesis, Properties and Applications. J. Nanosci. Nanotechnol. 2014, 14, 6509–6527. [Google Scholar] [CrossRef] [PubMed]
- Thomas, S.W.I. Molecules and Materials for the Optical Detection of Explosives and Toxic Chemicals; Massachusetts Institute of Technology: Cambridge, MA, USA, 2006. [Google Scholar]
- Zhou, Q.; Swager, T.M. Methodology for Enhancing the Sensitivity of Fluorescent Chemosensors: Energy Migration in Conjugated Polymers. J. Am. Chem. Soc. 1995, 117, 7017–7018. [Google Scholar] [CrossRef]
- Zhou, Q.; Swager, T.M. Fluorescent Chemosensors Based on Energy Migration in Conjugated Polymers: The Molecular Wire Approach to Increased Sensitivity. J. Am. Chem. Soc. 1995, 117, 12593–12602. [Google Scholar] [CrossRef]
- Levitsky, I.A.; Kim, J.; Swager, T.M. Energy Migration in a Poly(Phenylene Ethynylene): Determination of Interpolymer Transport in Anisotropic Langmuir–Blodgett Films. J. Am. Chem. Soc. 1999, 121, 1466–1472. [Google Scholar] [CrossRef]
- Mei, J.; Hong, Y.; Lam, J.W.Y.; Qin, A.; Tang, Y.; Tang, B.Z. Aggregation-Induced Emission: The Whole Is More Brilliant than the Parts. Adv. Mater. 2014, 26, 5429–5479. [Google Scholar] [CrossRef]
- Klanderman, B.H.; Faber, J.W.H. Novel Bridged Anthracene Derivatives and Polyesters and Copolyesters Therefrom. J. Polym. Sci. Part A-1 Polym. Chem. 1968, 6, 2955–2965. [Google Scholar] [CrossRef]
- Chong, J.H.; MacLachlan, M.J. Iptycenes in Supramolecular and Materials Chemistry. Chem. Soc. Rev. 2009, 38, 3301–3315. [Google Scholar] [CrossRef] [PubMed]
- Yang, J.-S.; Lin, C.-S.; Hwang, C.-Y. Cu2+-Induced Blue Shift of the Pyrene Excimer Emission: A New Signal Transduction Mode of Pyrene Probes. Org. Lett. 2001, 3, 889–892. [Google Scholar] [CrossRef]
- Ali, M.A.; Shoaee, S.; Fan, S.; Burn, P.L.; Gentle, I.R.; Meredith, P.; Shaw, P.E. Detection of Explosive Vapors: The Roles of Exciton and Molecular Diffusion in Real-Time Sensing. ChemPhysChem 2016, 17, 3350–3353. [Google Scholar] [CrossRef]
- Jimenez, E.R.; Rodríguez, H. Aggregation-Induced Emission: A Review of Promising Cyano-Functionalized AIEgens. J. Mater. Sci. 2020, 55, 1366–1387. [Google Scholar] [CrossRef]
- Yamaguchi, S.; Swager, T.M. Oxidative Cyclization of Bis(Biaryl)Acetylenes: Synthesis and Photophysics of Dibenzo[g,p]Chrysene-Based Fluorescent Polymers [2]. J. Am. Chem. Soc. 2001, 123, 12087–12088. [Google Scholar] [CrossRef]
- Zahn, S.; Swager, T.M. Three-Dimensional Electronic Delocalization in Chiral Conjugated Polymers. Angew. Chem. Int. Ed. 2002, 41, 4225–4230. [Google Scholar] [CrossRef]
- Amara, J.P.; Swager, T.M. Synthesis and Properties of Poly(Phenylene Ethynylene)s with Pendant Hexafluoro-2-Propanol Groups. Macromolecules 2005, 38, 9091–9094. [Google Scholar] [CrossRef]
- Thomas, W.S., III; Amara, J.P.; Bjork, R.E.; Swager, T.M. Amplifying Fluorescent Polymer Sensors for the Explosives Taggant 2,3-Dimethyl-2,3-dinitrobutane (DMNB). Chem. Commun. 2005, 36, 4572–4574. [Google Scholar] [CrossRef]
- VanVeller, B.; Robinson, D.; Swager, T.M. Triptycene Diols: A Strategy for Synthesizing Planar π Systems through Catalytic Conversion of a Poly(p-Phenylene Ethynylene) into a Poly(p-phenylene vinylene). Angew. Chem. Int. Ed. 2012, 51, 1182–1186. [Google Scholar] [CrossRef]
- Narayanan, A.; Varnavski, O.P.; Swager, T.M.; Goodson, T. Multiphoton Fluorescence Quenching of Conjugated Polymers for TNT Detection. J. Phys. Chem. C 2008, 112, 881–884. [Google Scholar] [CrossRef]
- Malval, J.; Leray, I. Photophysical Properties of Poly(Triptycene Vinylene) Derivatives and Effect of Nitrotoluene Exposure. Chem. Phys. Lett. 2010, 501, 54–58. [Google Scholar] [CrossRef]
- Ansari, M.; Bera, R.; Mondal, S.; Das, N. Triptycene-Derived Photoresponsive Fluorescent Azo-Polymer as Chemosensor for Picric Acid Detection. ACS Omega 2019, 4, 9383–9392. [Google Scholar] [CrossRef]
- Swager, T.M. Polymer Electronics for Explosives Detection; Gardner, W.J., Jehuda, Y., Eds.; Springer: Dordrecht, The Netherlands, 2004; pp. 29–37. [Google Scholar]
- Wang, Z. Design, Synthesis and Characterization of Conjugated Polymers for the Detection of Nitroaromatic Explosives and Isocyanates; Carleton University: Ottawa, ON, Canada, 2009. [Google Scholar]
- Ayyavoo, K.; Velusamy, P. Pyrene Based Materials as Fluorescent Probes in Chemical and Biological Fields. New J. Chem. 2021, 45, 10997–11017. [Google Scholar] [CrossRef]
- Ghorpade, T.K.; Palai, A.K.; Rath, S.K.; Sharma, S.K.; Sudarshan, K.; Pujari, P.K.; Patri, M.; Mishra, S.P. Pentiptycene-tbutylpyrene Based Poly(arylene-ethynylene)s: Highly Sensitive and Selective TNT Sensor in Aqueous as Well as Vapor Phase. Sensors Actuators B Chem. 2017, 252, 901–911. [Google Scholar] [CrossRef]
- Sinha, J.; Kumar, A. Syntheses and Characterization of Amplified Fluorescence Poly(Aryleneethynylene)s Based on 3,4-Propylenedioxythiophenes and Their Application in TNT Sensing. Synth. Met. 2010, 160, 2265–2272. [Google Scholar] [CrossRef]
- Dudhe, R.S.; Sinha, J.; Kumar, A.; Rao, V.R. Polymer Composite-Based OFET Sensor with Improved Sensitivity towards Nitro Based Explosive Vapors. Sensors Actuators B Chem. 2010, 148, 158–165. [Google Scholar] [CrossRef]
- Ghosh, K.R.; Saha, S.K.; Wang, Z.Y. Ultra-Sensitive Detection of Explosives in Solution and Film as Well as the Development of Thicker Film Effectiveness by Tetraphenylethene Moiety in AIE Active Fluorescent Conjugated Polymer. Polym. Chem. 2014, 5, 5638–5643. [Google Scholar] [CrossRef]
- Zyryanov, G.V.; Kopchuk, D.S.; Kovalev, I.S.; Nosova, E.V.; Rusinov, V.L.; Chupakhin, O.N. Chemosensors for Detection of Nitroaromatic Compounds (Explosives). Russ. Chem. Rev. 2014, 83, 783–819. [Google Scholar] [CrossRef]
- Manandhar, E.; Wallace, K.J. Host–Guest Chemistry of Pyrene-Based Molecular Receptors. Inorganica Chim. Acta 2012, 381, 15–43. [Google Scholar] [CrossRef]
- Demirel, G.B.; Daglar, B.; Bayindir, M. Extremely Fast and Highly Selective Detection of Nitroaromatic Explosive Vapours Using Fluorescent Polymer Thin Films. Chem. Commun. 2013, 49, 6140–6142. [Google Scholar] [CrossRef]
- Jang, H.-S.; Cho, H.-S.; Uhrig, D.; Nieh, M.-P. Insight into the Interactions between Pyrene and Polystyrene for Efficient Quenching Nitroaromatic Explosives. J. Mater. Chem. C 2017, 5, 12466–12473. [Google Scholar] [CrossRef]
- Beyazkilic, P.; Yildirim, A.; Bayindir, M. Formation of Pyrene Excimers in Mesoporous Ormosil Thin Films for Visual Detection of Nitro-Explosives. ACS Appl. Mater. Interfaces 2014, 6, 4997–5004. [Google Scholar] [CrossRef]
- Ilharco, L.M.; Santos, A.M.; Silva, M.J.; Martinho, J.M.G. Intramolecular Pyrene Excimer Probing the Sol-Gel Process. Langmuir 1995, 11, 2419–2422. [Google Scholar] [CrossRef]
- Sun, X.; Brückner, C.; Nieh, M.-P.; Lei, Y. A Fluorescent Polymer Film with Self-Assembled Three-Dimensionally Ordered Nanopores: Preparation, Characterization and Its Application for Explosives Detection. J. Mater. Chem. A 2014, 2, 14613–14621. [Google Scholar] [CrossRef]
- Sun, X.; Liu, Y.; Shaw, G.; Carrier, A.; Dey, S.; Zhao, J.; Lei, Y. Fundamental Study of Electrospun Pyrene–Polyethersulfone Nanofibers Using Mixed Solvents for Sensitive and Selective Explosives Detection in Aqueous Solution. ACS Appl. Mater. Interfaces 2015, 7, 13189–13197. [Google Scholar] [CrossRef]
- Guo, L.; Zu, B.; Yang, Z.; Cao, H.; Zheng, X.; Dou, X. APTS and rGO co-Functionalized Pyrenated Fluorescent Nanonets for Representative Vapor Phase Nitroaromatic Explosive Detection. Nanoscale 2014, 6, 1467–1473. [Google Scholar] [CrossRef]
- Shaligram, S.; Wadgaonkar, P.P.; Kharul, U.K. Fluorescent Polymeric Ionic Liquids for the Detection of Nitroaromatic Explosives. J. Mater. Chem. A 2014, 2, 13983–13989. [Google Scholar] [CrossRef]
- Karadurmus, L.; Bilge, S.; Sınağ, A.; Ozkan, S.A. Molecularly imprinted polymer (MIP)-Based sensing for detection of explosives: Current perspectives and future applications. TrAC Trends Anal. Chem. 2022, 155, 116694. [Google Scholar] [CrossRef]
- Zarejousheghani, M.; Lorenz, W.; Vanninen, P.; Alizadeh, T.; Cämmerer, M.; Borsdorf, H. Molecularly imprinted polymer materials as selective recognition sorbents for explosives: A review. Polymers 2019, 11, 888. [Google Scholar] [CrossRef] [PubMed]
- Lv, P.; Xie, D.; Zhang, Z. Magnetic Carbon Dots Based Molecularly Imprinted Polymers for Fluorescent Detection of Bovine Hemoglobin. Talanta 2018, 188, 145–151. [Google Scholar] [CrossRef] [PubMed]
- Xu, S.; Lu, H. Mesoporous structured MIPs@CDs fluorescence sensor for highly sensitive detection of TNT. Biosens. Bioelectron. 2016, 85, 950–956. [Google Scholar] [CrossRef]
- Murugan, K.; Jothi, V.K.; Rajaram, A.; Natarajan, A. Novel Metal-Free Fluorescent Sensor Based on Molecularly Imprinted Polymer N-CDs@MIP for Highly Selective Detection of TNP. ACS Omega 2022, 7, 1368–1379. [Google Scholar] [CrossRef]
- Apodaca, D.C.; Turner, N.; Bowyer, M.; Holdsworth, C.Z.; McCluskey, A. Tailoring the Preparation of Fluorescent Molecularly Imprinted Polymers (MIPs) toward the Detection of Chemical Warfare Agents. Sens. Transducers 2018, 28, 43–53. [Google Scholar]
- Gorai, P.; Kumar, S.; Marques, C.; Singh, P.K.; Jha, R. Imprinted Polymer Functionalized Concatenated Optical Microfiber: Hypersensitive and Selective. IEEE Sensors J. 2023, 23, 329–336. [Google Scholar] [CrossRef]
- Li, Z.; Yang, Y.-W. Conjugated macrocycle polymers. Polym. Chem. 2021, 12, 4613–4620. [Google Scholar] [CrossRef]
- Chong, H.; Xu, Y.; Han, Y.; Yan, C.; Su, D.; Wang, C. Pillar [5] arene-based “Three-components” Supramolecular Assembly and the Performance of Nitrobenzene-based Explosive Fluorescence Sensing. ChemistrySelect 2021, 6, 9363–9367. [Google Scholar] [CrossRef]
- Qin, P.; Yang, H.-H.; Zhao, X.-X.; Qu, W.-J.; Yao, H.; Wei, T.-B.; Lin, Q.; Shi, B.; Zhang, Y.-M. A supramolecular polymer network constructed by pillar[5]arene-based host–guest interactions and its application in nitro explosive detection. J. Incl. Phenom. Macrocycl. Chem. 2022, 102, 295–302. [Google Scholar] [CrossRef]
- Barata, P.D.; Costa, A.I.; Prata, J.V. Calix[4]arene–carbazole-containing polymers: Synthesis and properties. React. Funct. Polym. 2012, 72, 627–634. [Google Scholar] [CrossRef]
- Costa, A.I.; Ferreira, L.F.; Prata, J.V. Novel fluorescent (p-phenylene ethynylene)-calix[4]arene-based polymer: Design, synthesis, and properties. J. Polym. Sci. Part A 2008, 46, 6477–6488. [Google Scholar] [CrossRef]
- Barata, P.D.; Prata, J.V. Cooperative Effects in the Detection of a Nitroaliphatic Liquid Explosive and an Explosive Taggant in the Vapor Phase by Calix[4]arene-Based Carbazole-Containing Conjugated Polymers. ChemPlusChem 2014, 79, 83–89. [Google Scholar] [CrossRef]
- Barata, P.D.; Prata, J.V. Fluorescent calix[4]arene-carbazole-containing polymers as sensors for nitroaromatic explosives. Chemosensors 2020, 8, 128. [Google Scholar] [CrossRef]
- Lin, H.; Cheng, X.; Yin, M.-J.; Bao, Z.; Wei, X.; Gu, B. Flexible porphyrin doped polymer optical fibers for rapid and remote detection of trace DNT vapor. Anal. 2020, 145, 5307–5313. [Google Scholar] [CrossRef]
- Lei, T.; Guan, M.; Liu, J.; Lin, H.-C.; Pfattner, R.; Shaw, L.; McGuire, A.F.; Huang, T.-C.; Shao, L.; Cheng, K.-T.; et al. Biocompatible and totally disintegrable semiconducting polymer for ultrathin and ultralightweight transient electronics. Proc. Natl. Acad. Sci. USA 2017, 114, 5107–5112. [Google Scholar] [CrossRef]
- Feng, H.T.; Wang, J.H.; Zheng, Y.S. CH3–π Interaction of Explosives with Cavity of a TPE Macrocycle: The Key Cause for Highly Selective Detection of TNT. ACS Appl. Mater. Interfaces 2014, 6, 20067–20074. [Google Scholar] [CrossRef]
- Zhou, H.; Wang, X.; Lin, T.T.; Song, J.; Tang, B.Z.; Xu, J. Poly(triphenyl ethene) and poly(tetraphenyl ethene): Synthesis, aggregation-induced emission property and application as paper sensors for effective nitro-compounds detection. Polym. Chem. 2016, 7, 6309–6317. [Google Scholar] [CrossRef]
- Sun, R.; Huo, X.; Lu, H.; Feng, S.; Wang, D.; Liu, H. Recyclable fluorescent paper sensor for visual detection of nitroaromatic explosives. Sensors Actuators B Chem. 2018, 265, 476–487. [Google Scholar] [CrossRef]
- Yan, C.; Qin, W.; Li, Z.; Zhou, Y.; Cui, Y.; Liang, G. Quantitative and rapid detection of explosives using an efficient luminogen with aggregation-induced emission characteristics. Sens. Actuators B Chem. 2020, 302, 127201. [Google Scholar] [CrossRef]
- Lu, W.; Zhang, J.; Huang, Y.; Théato, P.; Huang, Q.; Chen, T. Self-Diffusion Driven Ultrafast Detection of ppm-Level Nitroaromatic Pollutants in Aqueous Media Using a Hydrophilic Fluorescent Paper Sensor. ACS Appl. Mater. Interfaces 2017, 9, 23884–23893. [Google Scholar] [CrossRef] [PubMed]
- Cui, B.; Gao, C.; Fan, J.; Liu, J.; Feng, B.; Ruan, X.; Yang, Y.; Yuan, Y.; Chu, K.; Yan, Z.; et al. Integrating a Luminescent Porous Aromatic Framework into Indicator Papers for Facile, Rapid, and Selective Detection of Nitro Compounds. Molecules 2022, 27, 6252. [Google Scholar] [CrossRef] [PubMed]
- Hussain, E.; Li, Y.; Cheng, C.; Zhuo, H.; Shahzad, S.A.; Ali, S.; Ismail, M.; Qi, H.; Yu, C. Benzo[ghi]perylene and coronene as ratiometric fluorescence probes for the selective sensing of nitroaromatic explosives. Talanta 2019, 207, 120316. [Google Scholar] [CrossRef]
- Kovalev, I.S.; Taniya, O.S.; Slovesnova, N.V.; Kim, G.A.; Santra, S.; Zyryanov, G.V.; Kopchuk, D.S.; Majee, A.; Charushin, V.N.; Chupakhin, O.N. Fluorescent Detection of 2,4-DNT and 2,4,6-TNT in Aqueous Media by Using Simple Water-Soluble Pyrene Derivatives. Chem. Asian J. 2016, 11, 775–781. [Google Scholar] [CrossRef]
- Guo, M.X.; Yang, L.; Jiang, Z.W.; Peng, Z.W.; Li, Y.F. Al-based metal-organic gels for selective fluorescence recognition of hydroxyl nitro aromatic compounds. Spectrochim. Acta Part A Mol. Biomol. Spectrosc. 2017, 187, 43–48. [Google Scholar] [CrossRef]
- Guo, X.; Gao, B.; Cui, X.; Wang, J.; Dong, W.; Duan, Q.; Fei, T.; Su, Z. PL sensor for sensitive and selective detection of 2,4,6-trinitrophenol based on carbazole and tetraphenylsilane polymer. Dye. Pigment. 2021, 191, 109379. [Google Scholar] [CrossRef]
- Lv, X.J.; Qi, L.; Gao, X.Y.; Wang, H.; Huo, Y.; Zhang, Z.Q. Selective detection of 2,4,6-trinitrophenol based on a fluorescent nanoscale bis (8-hydroxyquinoline) metal complex. Talanta 2016, 150, 319–323. [Google Scholar] [CrossRef] [PubMed]
- Abuzalat, O.; Wong, D.; Park, S.S.; Kim, S. Highly selective and sensitive fluorescent zeolitic imidazole frameworks sensor for nitroaromatic explosive detection. Nanoscale 2020, 12, 13523–13530. [Google Scholar] [CrossRef] [PubMed]
- Fan, Y.; Tao, T.; Wang, H.; Liu, Z.; Huang, W.; Cao, H. A Schiff base-functionalized graphene quantum dot nanocomposite for preferable picric acid sensing. Dye. Pigment. 2021, 191, 109355. [Google Scholar] [CrossRef]
- Gonzalez, C.M.; Iqbal, M.; Dasog, M.; Piercey, D.G.; Lockwood, R.; Klapötke, T.M.; Veinot, J.G.C. Detection of high-energy compounds using photoluminescent silicon nanocrystal paper based sensors. Nanoscale 2014, 6, 2608–2612. [Google Scholar] [CrossRef]
- Infantry: Electronic Nose for Explosives. StrategyPage, 28 June 2006.
- Ma, J.; Bock, W. Fiber-Optic Sensors for Explosives Detection. Open Opt. J. 2013, 7, 141–158. [Google Scholar] [CrossRef]
- Gardner, J.; Yinon, J. Electronic Noses & Sensors for the Detection of Explosives; Springer: Amsterdam, The Netherlands, 2004; ISBN 9781402023170. [Google Scholar]
- Verma, P.; Goudar, R.H. Mobile phone based explosive vapor detection system (MEDS): A methodology to save humankind. Int. J. Syst. Assur. Eng. Manag. 2017, 8, 151–158. [Google Scholar] [CrossRef]
- Kovalev, I.S.; Sadieva, L.K.; Taniya, O.S.; Yurk, V.M.; Minin, A.S.; Santra, S.; Zyryanov, G.V.; Charushin, V.N.; Chupakhin, O.N.; Tsurkan, M.V. Computer vision vs. spectrofluorometer-assisted detection of common nitro-explosive components with bola-type PAH-based chemosensors. RSC Adv. 2021, 11, 25850–25857. [Google Scholar] [CrossRef]
- Wu, Z.; Duan, H.; Li, Z.; Guo, J.; Zhong, F.; Cao, Y.; Jia, D. Multichannel Discriminative Detection of Explosive Vapors with an Array of Nanofibrous Membranes Loaded with Quantum Dots. Sensors 2017, 17, 2676. [Google Scholar] [CrossRef]
- Wu, W.; Shi, N.; Zhang, J.; Wu, X.; Wang, T.; Yang, L.; Yang, R.; Ou, C.; Xue, W.; Feng, X.; et al. Electrospun fluorescent sensors for the selective detection of nitro explosive vapors and trace water. J. Mater. Chem. A 2018, 6, 18543–18550. [Google Scholar] [CrossRef]
- Zyryanov, G.V.; Palacios, M.A.; Anzenbacher, P., Jr. Simple molecule-based fluorescent sensors for vapor detection of TNT. Org. Lett. 2008, 10, 3681–3684. [Google Scholar] [CrossRef]
- Khasanov, A.F.; Kopchuk, D.S.; Kovalev, I.S.; Taniya, O.S.; Giri, K.; Slepukhin, P.A.; Santra, S.; Rahman, M.; Majee, A.; Charushin, V.N.; et al. Extended cavity pyrene-based iptycenes for the turn-off fluorescence detection of RDX and common nitroaromatic explosives. New J. Chem. 2017, 41, 2309–2320. [Google Scholar] [CrossRef]
- Liu, X.; Hu, Y.; Zhou, Y.; Zhang, P.; Gao, L.; Liu, B.; Wu, Z.; Zhang, L. PPV Nanotube Sensor Arrays for Explosives Identification by Excitation Wavelength Regulation. Macromol. Mater. Eng. 2021, 306, 2100276. [Google Scholar] [CrossRef]
- Liu, R.; Li, Z.; Huang, Z.; Li, K.; Lv, Y. Biosensors for explosives: State of art and future trends. TrAC Trends Anal. Chem. 2019, 118, 123–137. [Google Scholar] [CrossRef]
- Balan, B.; Vijayakumar, C.; Tsuji, M.; Saeki, A.; Seki, S. Detection and Distinction of DNT and TNT with a Fluorescent Conjugated Polymer Using the Microwave Conductivity Technique. J. Phys. Chem. B 2012, 116, 10371–10378. [Google Scholar] [CrossRef] [PubMed]
- Shaw, P.E.; Chen, S.S.Y.; Wang, X.; Burn, P.L.; Meredith, P. High-Generation Dendrimers with Excimer-like Photoluminescence for the Detection of Explosives. J. Phys. Chem. C 2013, 117, 5328–5337. [Google Scholar] [CrossRef]
- Abd-El-Aziz, A.S.; Abdelghani, A.A.; Wagner, B.D.; Abdelrehim, E.M. Aggregation enhanced excimer emission (AEEE) with efficient blue emission based on pyrene dendrimers. Polym. Chem. 2016, 7, 3277–3299. [Google Scholar] [CrossRef]
- Santos, A.P.L.; Deokaran, G.O.; Costa, C.V.; Gama, L.I.; Júnior, E.G.M.; de Assis, A.M.; de Freitas, J.D.; de Araujo, W.R.; Dias, R.P.; da Silva, J.C.; et al. A “turn-off” fluorescent sensor based on electrospun polycaprolactone nanofibers and fluorene(bisthiophene) derivative for nitroaromatic explosive detection. Forensic Sci. Int. 2021, 329, 111056. [Google Scholar] [CrossRef]

















































































































Disclaimer/Publisher’s Note: The statements, opinions and data contained in all publications are solely those of the individual author(s) and contributor(s) and not of MDPI and/or the editor(s). MDPI and/or the editor(s) disclaim responsibility for any injury to people or property resulting from any ideas, methods, instructions or products referred to in the content. |
© 2023 by the authors. Licensee MDPI, Basel, Switzerland. This article is an open access article distributed under the terms and conditions of the Creative Commons Attribution (CC BY) license (https://creativecommons.org/licenses/by/4.0/).
Share and Cite
Taniya, O.S.; Khasanov, A.F.; Sadieva, L.K.; Santra, S.; Nikonov, I.L.; Al-Ithawi, W.K.A.; Kovalev, I.S.; Kopchuk, D.S.; Zyryanov, G.V.; Ranu, B.C. Polymers and Polymer-Based Materials for the Detection of (Nitro-)explosives. Materials 2023, 16, 6333. https://doi.org/10.3390/ma16186333
Taniya OS, Khasanov AF, Sadieva LK, Santra S, Nikonov IL, Al-Ithawi WKA, Kovalev IS, Kopchuk DS, Zyryanov GV, Ranu BC. Polymers and Polymer-Based Materials for the Detection of (Nitro-)explosives. Materials. 2023; 16(18):6333. https://doi.org/10.3390/ma16186333
Chicago/Turabian StyleTaniya, Olga S., Albert F. Khasanov, Leila K. Sadieva, Sougata Santra, Igor L. Nikonov, Wahab K. A. Al-Ithawi, Igor S. Kovalev, Dmitry S. Kopchuk, Grigory V. Zyryanov, and Brindaban C. Ranu. 2023. "Polymers and Polymer-Based Materials for the Detection of (Nitro-)explosives" Materials 16, no. 18: 6333. https://doi.org/10.3390/ma16186333
APA StyleTaniya, O. S., Khasanov, A. F., Sadieva, L. K., Santra, S., Nikonov, I. L., Al-Ithawi, W. K. A., Kovalev, I. S., Kopchuk, D. S., Zyryanov, G. V., & Ranu, B. C. (2023). Polymers and Polymer-Based Materials for the Detection of (Nitro-)explosives. Materials, 16(18), 6333. https://doi.org/10.3390/ma16186333

