Refinement and Modification of Al2O3 Inclusions in High-Carbon Hard Wire Steel via Rare Earth Lanthanum
Abstract
1. Introduction
2. Experimental Methods and Procedures
3. Analysis of Results
3.1. Morphology and Composition of Inclusions
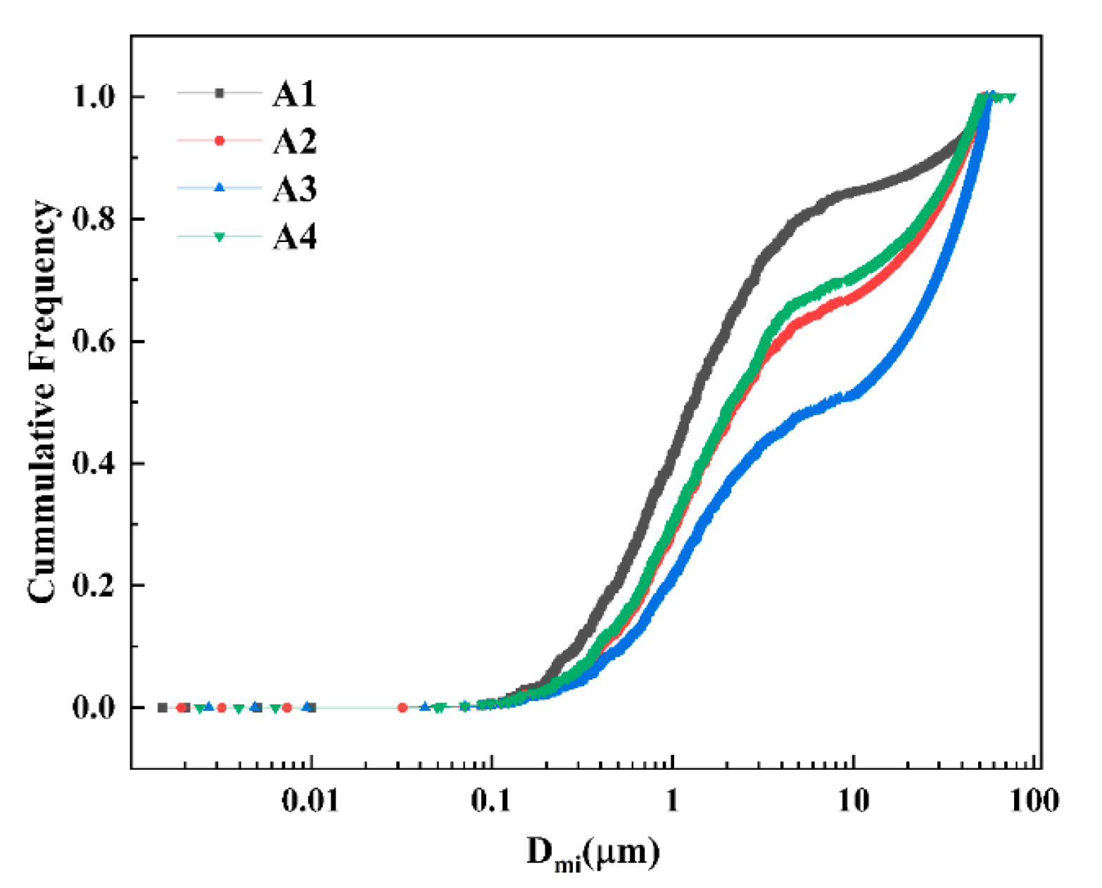
3.2. Characteristic Parameters of Inclusions
3.3. Thermodynamic Calculation
3.4. Transformation of Inclusions during Solidification
4. Conclusions
- (1)
- By adding a suitable amount of rare earth element La, the harmful Al2O3 inclusions in high-carbon hard wire steel were modified via rare earth, which were flakey and spherical, and most of the size was refined to about 2 μm, and the distribution was more dispersed.
- (2)
- Through the combination of thermodynamics and experiment, with the increase in rare earth La, when the addition amount of La is 0.024%, the inclusion modification is not complete; when the addition of La is 0.096%, the inclusion modification is excessive. It was basically confirmed that the optimum rare earth La addition in the experiment is 0.063%, the modification effect of inclusions is the best, and the Al2O3 inclusions are wrapped by a LaS + La2O3 ring. During the solidification process of liquid steel, the type and content of inclusions change as the temperature decreases.
Author Contributions
Funding
Institutional Review Board Statement
Informed Consent Statement
Data Availability Statement
Conflicts of Interest
References
- Srivastava, A.; Kamaraj, A.; Mandal, D.; Mondal, K.; Mandal, G.K. Role of Synthetic Slag Treatment on the Morphology of Non-Metallic Inclusions and Subsequent Cold Drawability of the High Carbon Wire Rod Steel. Met. Mater. Int. 2021, 28, 1763–1777. [Google Scholar] [CrossRef]
- Fang, F.; Zhao, Y.; Liu, P.; Zhou, L.; Hu, X.-J.; Zhou, X.; Xie, Z.-H. Deformation of cementite in cold drawn pearlitic steel wire. Mater. Sci. Eng. A 2014, 608, 11–15. [Google Scholar] [CrossRef]
- Chen, H.; Zhang, C.; Chen, H.; Yang, Z.G.; Chen, L. Understanding microstructure-evolution-dependent fracture behaviors in pearlitic steels. J. Iron Steel Res. Int. 2020, 27, 334–341. [Google Scholar] [CrossRef]
- Affane, D.; Yarou, M.F. Well-posed control problems related to second-order differential inclusions. Evol. Equations Control Theory 2022, 11, 1229–1249. [Google Scholar] [CrossRef]
- Godon, J.; Antoine, P.; Vogt, J.-B.; Bouquerel, J. Influence of steel cleanliness on drawability of fine filaments with high tensile strength. Met. Res. Technol. 2019, 116, 513–519. [Google Scholar] [CrossRef]
- Harada, A.; Matsui, A.; Nabeshima, S. Composition Change of Inclusions in High Carbon Steel before and after Addition of Aluminum. ISIJ Int. 2021, 61, 715–723. [Google Scholar] [CrossRef]
- Wang, H.; Xiong, L.; Zhang, L.; Wang, Y.; Shu, Y.; Zhou, Y. Investigation of RE-O-S-As Inclusions in High Carbon Steels. Met. Mater. Trans. B 2017, 48, 2849–2858. [Google Scholar] [CrossRef]
- Tanaka, Y.; Pahlevani, F.; Moon, S.-C.; Dippenaar, R.; Sahajwalla, V. In situ characterisation of MnS precipitation in high carbon steel. Sci. Rep. 2019, 9, 10096. [Google Scholar] [CrossRef]
- Geng, R.-M.; Li, J.; Shi, C.-B. Influence of cerium treatment on inclusion modification and as-cast microstructure of high-strength low-alloy steel. J. Iron Steel Res. Int. 2022, 29, 1659–1668. [Google Scholar] [CrossRef]
- Li, B.; Zhu, H.; Zhao, J.; Song, M.; Li, J.; Xue, Z. Effect of rare-earth La on inclusion evolution in high-Al steel. Steel Res. Int. 2022, 93, 2100347. [Google Scholar] [CrossRef]
- Wang, L.; Xi, Z.; Li, C. Modification of Type B Inclusions by Calcium Treatment in High-Carbon Hard-Wire Steel. Metals 2021, 11, 676. [Google Scholar] [CrossRef]
- Zhang, T.-S.; Wang, D.-Y.; Liu, C.-W.; Jiang, M.-F.; Lü, M.; Wang, B.; Zhang, S.-X. Modification of Inclusions in Liquid Iron by Mg Treatment. J. Iron Steel Res. Engl. Ed. 2014, 9, 10096. [Google Scholar] [CrossRef]
- Bai, Z.; Qin, B. Thermodynamic Study on the Formation of Lanthanum Inclusions in 20MnSi Steel. In Proceedings of the 2021 4th International Conference on Advanced Electronic Materials, Computers and Software Engineering (AEMCSE), Changsha, China, 26–28 March 2021. [Google Scholar]
- Yu, Y.C.; Zhang, S.H.; Li, H.; Wang, S.B. Effects of Rare Earth Lanthanum on the Solidification Structure and Hot Ductility of Fe-43Ni Expansion Alloy. High Temp. Mater. Process. 2018, 37, 261–269. [Google Scholar] [CrossRef]
- Mao, N.; Yang, W.; Chen, D.; Lu, W.; Zhang, X.; Chen, S.; Xu, M.; Pan, B.; Han, L.; Zhang, X.; et al. Effect of Lanthanum Addition on Formation Behaviors of Inclusions in Q355B Weathering Steel. Materials 2022, 15, 7952. [Google Scholar] [CrossRef]
- Li, H.; Yu, Y.-C.; Ren, X.; Zhang, S.-H.; Wang, S.-B. Evolution of Al2O3 inclusions by cerium treatment in low carbon high manganese steel. J. Iron Steel Res. Int. 2017, 24, 925–934. [Google Scholar] [CrossRef]
- Wang, Y.; Li, C.-R.; Wang, L.-Z.; Xiong, X.-Q.; Chen, L. Effect of yttrium treatment on alumina inclusions in high carbon steel. J. Iron Steel Res. Int. 2022, 29, 655–664. [Google Scholar] [CrossRef]
- Li, Y.; Zhang, T.; Liu, C.; Jiang, M. Thermodynamic and Experimental Studies on Al Addition of 253MA Steel. Metals 2019, 9, 433. [Google Scholar] [CrossRef]
- Li, Y.; Liu, C.; Zhang, T.; Jiang, M.; Peng, C. Liquid Inclusions in Heat-Resistant Steel Containing Rare Earth Elements. Met. Mater. Trans. B 2017, 48, 956–965. [Google Scholar] [CrossRef]
- Li, Y.; Liu, C.; Jiang, M. Thermodynamic Study on Precipitation Behavior of Inclusions in09CuPCrNi Steel with Rare Earth during Solidification. In Australia-China-Japan Joint Symposium on Iron and Steelmaking; Northeastern University: Shenyang, China, 2013. [Google Scholar]
- Yu, Z.; Liu, C. Modification Mechanism of Spinel Inclusions in Medium Manganese Steel with Rare Earth Treatment. Metals 2019, 9, 804. [Google Scholar] [CrossRef]
- Xu, J.; Yang, Q.-K.; Cheng, J.; Huang, Z.-Z.; An, J.-M.; Fu, J.-X. The Evolution and Thermodynamic Analysis of Inclusions in Gear Steel after Magnesium Treatment. In Proceedings of the 2017 International Conference on Manufacturing Engineering and Intelligent Materials (ICMEIM 2017), Guangzhou, China, 25–26 February 2017. [Google Scholar] [CrossRef]
- Yang, C.; Luan, Y.; Li, D.; Li, Y. Effects of rare earth elements on inclusions and impact toughness of high-carbon chromium bearing steel. J. Mater. Sci. Technol. 2019, 35, 1298–1308. [Google Scholar] [CrossRef]
- Zhang, L.; Navrotsky, A. Thermochemistry of rare earth doped uranium oxides LnxU1−xO2−0.5x+y (Ln = La, Y, Nd). J. Nucl. Mater. 2015, 465, 682–691. [Google Scholar] [CrossRef]
- Wang, W.S.; Zhu, H.Y.; Song, M.M.; Li, J.L.; Xue, Z.L. Effect of ferromanganese additions on non-metallic inclusion characteristics in TRIP steel. J. Iron Steel Res. Int. 2022, 9, 1464–1473. [Google Scholar] [CrossRef]
- Shi, L.; Zhou, X.; Wang, D.; Qu, T.; Wang, H.; Zhu, J. Evolution of Inclusions in Magnesium–Calcium-Treated Liquid Iron. Metals 2021, 11, 1213. [Google Scholar] [CrossRef]
- Wang, Y.; Karasev, A.; Jönsson, P.G. An Investigation of Non-Metallic Inclusions in Different Ferroalloys using Electrolytic Extraction. Met.-Open Access Metall. J. 2019, 9, 687. [Google Scholar] [CrossRef]
- Rademaker, J.H.; Kleijn, R.; Yang, Y. Recycling as a Strategy against Rare Earth Element Criticality: A Systemic Evaluation of the Potential Yield of NdFeB Magnet Recycling. Environ. Sci. Technol. 2013, 47, 10129–10136. [Google Scholar] [CrossRef]
- Wang, L.Z. Basic Research on Fine Dispersion of Non-Metallic Inclusions in Aluminum Deoxidized Steel; Beijing University of Science and Technology: Beijing, China, 2017. [Google Scholar]
- Li, Y.; Wang, L.; Chen, C.; Li, J.; Li, X. Effect of Mg Treatment on the Nucleation and Ostwald Growth of Inclusions in Fe-O-Al-Mg Melt. Materials 2020, 13, 3355. [Google Scholar] [CrossRef]
- Wang, H.; Yu, P.; Jiang, S.; Bai, B.; Wang, Y. Evolution of inclusions in steelmaking process of rare earth steels containing arsenic with alumina crucibles. Met.-Open Access Metall. J. 2020, 10, 275. [Google Scholar] [CrossRef]
- He, Y.; Zhang, L.; An, X.; Wan, G.; Zhu, W.; Luo, Y. Enhanced fluoride removal from water by rare earth (La and Ce) modified alumina: Adsorption isotherms, kinetics, thermodynamics and mechanism. Sci. Total. Environ. 2019, 688, 184–198. [Google Scholar] [CrossRef]
- Geng, J. Effect of Ce-La on inclusion evolution in Al-killed high strength steel. Metall. Res. Technol. 2020, 117, 616. [Google Scholar] [CrossRef]
- Wang, Y.; Zhang, F.; Wang, T. A novel bainitic steel comparable to maraging steel in mechanical properties. Scr. Mater. 2013, 68, 763–766. [Google Scholar] [CrossRef]
- Wang, H.; Bao, Y.-P.; Zhao, M.; Wang, M.; Yuan, X.-M.; Gao, S. Effect of Ce on the cleanliness, microstructure and mechanical properties of high strength low alloy steel Q690E in industrial production process. Int. J. Miner. Met. Mater. 2019, 26, 1372–1384. [Google Scholar] [CrossRef]
- Wang, Y.; Yang, Z.; Zhang, F.; Qin, Y.; Wang, X.; Lv, B. Microstructures and properties of a novel carburizing nanobainitic bearing steel. Mater. Sci. Eng. A 2020, 777, 139086. [Google Scholar] [CrossRef]









| Element | C | Mn | Si | P | S | Al | O | La | Bal. |
|---|---|---|---|---|---|---|---|---|---|
| A1 | 0.8260 | 0.8300 | 0.2100 | 0.0190 | 0.0180 | 0.0254 | 0.0150 | - | 98.0566 |
| A2 | 0.8200 | 0.7900 | 0.2400 | 0.0180 | 0.0070 | 0.1220 | 0.0095 | 0.0240 | 97.9695 |
| A3 | 0.8200 | 0.7800 | 0.2400 | 0.0170 | 0.0070 | 0.1160 | 0.0049 | 0.0630 | 97.9521 |
| A4 | 0.8100 | 0.7800 | 0.2300 | 0.0170 | 0.0060 | 0.1070 | 0.0064 | 0.0960 | 97.9476 |
| Number | Reaction | ΔGθ/(J·mol−1) |
|---|---|---|
| 1 | 2[Al] + 3[O] = Al2O3(s) | −1225196 + 393.78 T |
| 2 | 2[La] + 3[O] = La2O3(s) | −1511520 + 379.5 T |
| 3 | 2[La] + 2[O] + [S] = La2O2S(s) | −1425820 + 351.0T |
| 4 | [La] + [Al] + 3[O] = LaAlO3(s) | −801616 + 28.9 T |
| 5 | 3[La] + 4[S] = La3S4(s) | −1738380 + 609.6 T |
| 6 | 2[La] + 3[S] = La2S3(s) | −1200990 + 425.0 T |
| 7 | [La] + [S] = LaS(s) | −445180 + 141.5 T |
| 8 | 2[La] + Al2O3(s) = La2O3(s) + 2[Al] | −286520 + 270.28 T |
| Number | a[O] | a[S] | a[Al] | a[La] |
|---|---|---|---|---|
| A2 | 0.00117 | 0.00855 | 0.00131 | 0.02152 |
| A3 | 0.00061 | 0.00857 | 0.00123 | 0.05956 |
| A4 | 0.00084 | 0.00731 | 0.00119 | 0.08921 |
| C | Mn | Si | P | S | Al | O | La | |
|---|---|---|---|---|---|---|---|---|
| O | −0.45 | −0.021 | −0.131 | 0.07 | −0.133 | −3.9 | −0.2 | −0.57 |
| S | 0.11 | −0.026 | 0.063 | 0.029 | −0.028 | 0.035 | −0.27 | - |
| La | - | - | - | - | - | - | −4.98 | - |
| Al | 0.091 | - | 0.0056 | - | 0.03 | 0.045 | −6.6 | - |
Disclaimer/Publisher’s Note: The statements, opinions and data contained in all publications are solely those of the individual author(s) and contributor(s) and not of MDPI and/or the editor(s). MDPI and/or the editor(s) disclaim responsibility for any injury to people or property resulting from any ideas, methods, instructions or products referred to in the content. |
© 2023 by the authors. Licensee MDPI, Basel, Switzerland. This article is an open access article distributed under the terms and conditions of the Creative Commons Attribution (CC BY) license (https://creativecommons.org/licenses/by/4.0/).
Share and Cite
Ning, Z.; Li, C.; Wang, J.; Zhai, Y.; Xiong, X.; Chen, L. Refinement and Modification of Al2O3 Inclusions in High-Carbon Hard Wire Steel via Rare Earth Lanthanum. Materials 2023, 16, 5070. https://doi.org/10.3390/ma16145070
Ning Z, Li C, Wang J, Zhai Y, Xiong X, Chen L. Refinement and Modification of Al2O3 Inclusions in High-Carbon Hard Wire Steel via Rare Earth Lanthanum. Materials. 2023; 16(14):5070. https://doi.org/10.3390/ma16145070
Chicago/Turabian StyleNing, Zhoushao, Changrong Li, Jie Wang, Yongqiang Zhai, Xingqiang Xiong, and Lu Chen. 2023. "Refinement and Modification of Al2O3 Inclusions in High-Carbon Hard Wire Steel via Rare Earth Lanthanum" Materials 16, no. 14: 5070. https://doi.org/10.3390/ma16145070
APA StyleNing, Z., Li, C., Wang, J., Zhai, Y., Xiong, X., & Chen, L. (2023). Refinement and Modification of Al2O3 Inclusions in High-Carbon Hard Wire Steel via Rare Earth Lanthanum. Materials, 16(14), 5070. https://doi.org/10.3390/ma16145070

