Finite Element Analysis of Dynamic Recrystallization Model and Microstructural Evolution for GCr15 Bearing Steel Warm–Hot Deformation Process
Abstract
1. Introduction
2. Materials and Methods
3. Results and Discussion
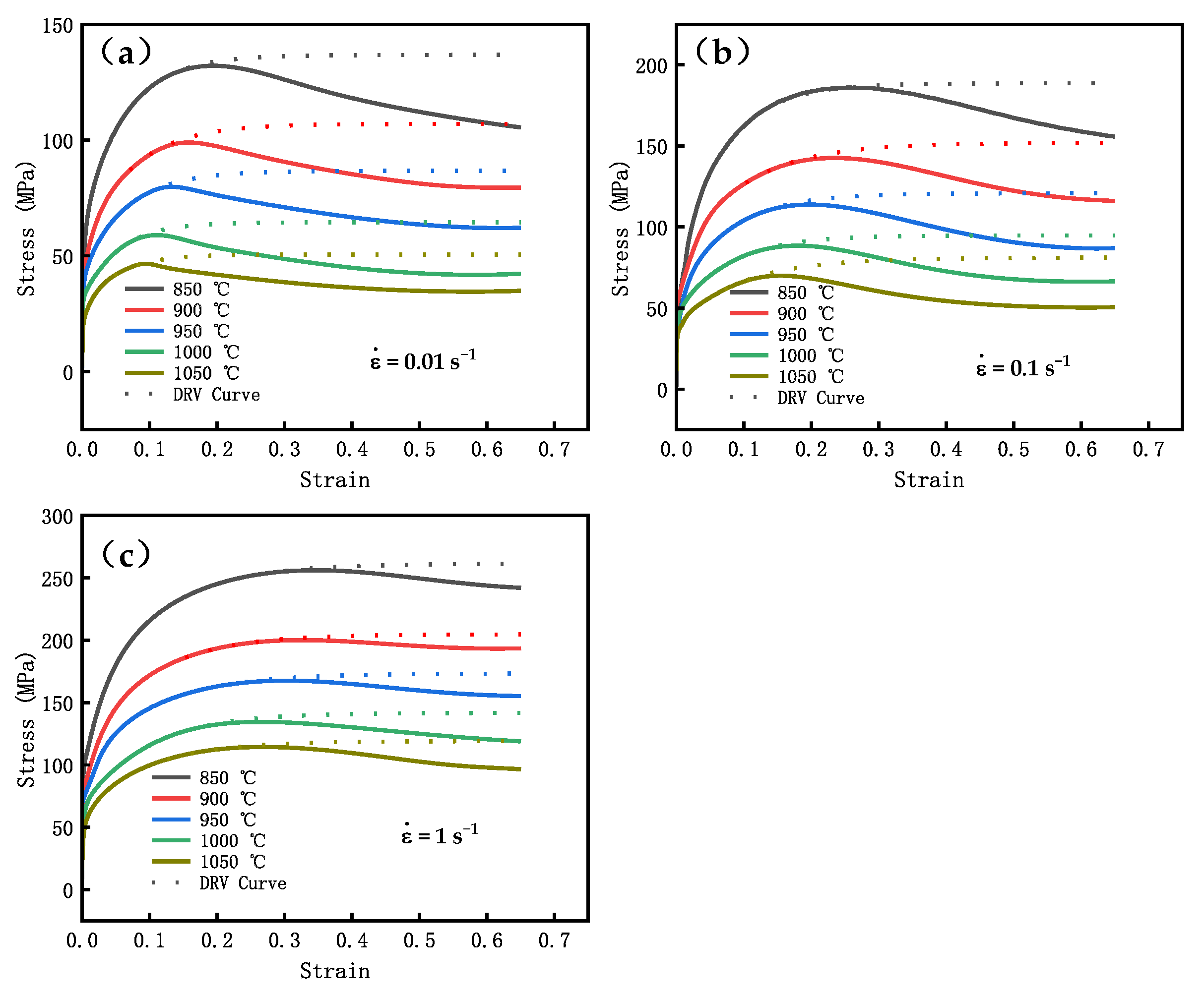
3.1. Flow Stress Curve
3.2. Hansel–Spittel Constitutive Equation for GCr15 Bearing Steel
4. Establishment of Dynamic Recrystallization Model for GCr15 Bearing Steel Warm–Hot Forming Process
4.1. Critical Strain Model for GCr15 Bearing Steel Warm–Hot Forming Process
4.2. Development of DRX Model for GCr15 Bearing Steel Warm Forming Process
4.2.1. Calculation of the DRX Fraction for GCr15 Bearing Steel Warm–Hot Forming Process
4.2.2. Analysis of the Evolution of the Recrystallization Structure of GCr15 Steel
4.2.3. Dynamic Recrystallization Characteristic Strain Determination for GCr15 Steel Temperature Forming Process
4.2.4. Establishment of Dynamic Recrystallization Fraction Model for GCr15 Steel Warm–Hot Forming Process
5. Numerical Simulation of Microstructure Evolution and DRX Model Verification of GCr15 Warm Compression Forming Process
5.1. Numerical Simulation of Warm Forming and Compression Process of Cylindrical Specimen
5.2. Simulation Results and Analysis of Deformation of GCr15 Specimen
5.2.1. Dynamic Recrystallization Fraction Result and Analysis
5.2.2. Results and Analysis of Grain Size Distribution of Dynamic Recrystallization during Forming
5.2.3. Experimental Verification of Simulation Results for GCr15 Dynamic Recrystallization
6. Conclusions
- (1)
- The GCr15 specimens exhibited varying degrees of dynamic recrystallization softening under deformation conditions ranging from 0.01 s−1 to 5 s−1 and temperatures ranging from 600 °C to 1050 °C. This resulted in a decrease in true stress after attaining the maximum stress. The flow stress curve of the alloy shows three distinct phases. At the beginning of the test, the true stress increases sharply due to the work hardening resulting from the deformation of the specimen. Once the critical strain is reached, the rate of stress increase slows down because of the DRV and DRX mechanisms until it reaches the maximum stress. As the strain level rises, the true stress value declines until it reaches a steady-state stress level, where it stabilizes. On the other hand, at a specific strain rate, the maximum stress decreases as the deformation temperature elevates. Conversely, at a specific temperature, the maximum stress is proportional to the strain rate.
- (2)
- The critical strain model of DRX during the warm–hot forming process of GCr15 was established using the work hardening rate method. The DRX kinetic model of GCr15 steel was developed with the stress–strain method. Under a fixed strain rate, the required strain to achieve the same DRX fraction decreases as the deformation temperature increases. However, at a constant temperature, it increases with an increase in strain rate.
- (3)
- By performing secondary development on the Forge® software, the established deformation dynamic recrystallization model, critical strain model, and Hansel–Spittle constitutive model for GCr15 steel were integrated into the software. The finite element simulation results suggest the distribution of the DRX fraction during the deformation of GCr15. The recrystallization fraction rises with a lower strain rate and a higher deformation temperature, which is completely consistent with the evolution law of the actual DRX volume fraction. In addition, a higher strain rate and a lower temperature can obtain a finer recrystallization grain structure.
- (4)
- The compressed specimens after isothermal compression present a bulging shape, and three typical deformation regions can be observed when the sample is cut along the axial direction. In the severe deformation region of the compressed sample, the deformation resistance is lower, resulting in a higher deformation amount and finer, more uniform grain size. The slight deformation region undergoes relatively uniform deformation due to minimal frictional effects. However, in the difficult deformation region, significant frictional effects make deformation more challenging, resulting in larger grain sizes in this area. Comparing the metallographic photos of the simulation results and the actual test results, it is found that the two have a high degree of agreement. It is further verified that the established related models have high accuracy and can provide a specific theoretical reference for actual production. It also shows that the finite element method (FEM) can provide an effective way for analyzing and predicting the microstructure evolution of the ring warm–hot deformation process.
Author Contributions
Funding
Institutional Review Board Statement
Informed Consent Statement
Data Availability Statement
Conflicts of Interest
References
- ReferencesQian, D.S.; Yang, J.; Mao, H.J.; Hua, L. Experiment study on warm ring rolling of 52100 bearing steel coupling microstructure spheroidization. In Proceedings of the International Conference on the Technology of Plasticity (ICTP), Cambridge, UK, 17–22 September 2017; pp. 1236–1241. [Google Scholar]
- Yao, Y.; Liu, C.; Gao, Y.; Jiang, S. Deformation mechanism of Mg-Gd-Y-Zr alloy during hot ring rolling. Mater. Charact. 2021, 177, 111154. [Google Scholar] [CrossRef]
- Jiadong, D.; Jikang, L.; Zhe, C.; Dongsheng, Q.; Huajie, M.; Yin, F. An experiment study on a novel constructive hot ring rolling process. Procedia Manuf. 2020, 50, 134–138. [Google Scholar] [CrossRef]
- Barbosa, J.V.; Melo, T.M.F.D.; Santos, D.B. Dynamic and static softening behavior of a titanium added ultra-low carbon steel during hot and warm deformation. J. Mater. Res. Technol. 2020, 9, 2810–2817. [Google Scholar] [CrossRef]
- Li, L.; Wu, H.; Guo, C.; Feng, Y. Deformation behavior and softening mechanism in ferrite steel during warm deformation. J. Mater. Res. Technol. 2022, 18, 3977–3990. [Google Scholar] [CrossRef]
- Ji, Z.; Chen, H.; Qiang, Y. Formability analysis of bearing ring produced by short-flow warm extrusion processing. Procedia Manuf. 2019, 37, 111–118. [Google Scholar] [CrossRef]
- Ryttberg, K.; Knutson Wedel, M.; Recina, V.; Dahlman, P.; Nyborg, L. The effect of cold ring rolling on the evolution of microstructure and texture in 100Cr6 steel. Mater. Sci. Eng. A 2010, 527, 2431–2436. [Google Scholar] [CrossRef]
- Zhang, Z.; Jiang, Y.; Chen, Y. Microstructure and deformation mechanism of Ag-12 wt% SnO2 composite during hot compression. J. Alloy. Compd. 2017, 728, 719–726. [Google Scholar] [CrossRef]
- Baron, T.J.; Khlopkov, K.; Pretorius, T.; Balzani, D.; Brands, D.; Schroder, J. Modeling of Microstructure Evolution with Dynamic Recrystallization in Finite Element Simulations of Martensitic Steel. Steel Res. Int. 2016, 87, 37–45. [Google Scholar] [CrossRef]
- Deng, X.; Qu, Z.; Zhang, L.; Ju, D. Modeling and simulation of dynamic recrystallization of GCr15 steel using cellular automaton method. In Proceedings of the 8th International Forum on Advanced Materials Science and Technology (IFAMST-8), Fukuoka City, Japan, 1–4 August 2012; Fukuoka Inst Technol: Fukuoka City, Japan, 2013; pp. 156–159. [Google Scholar]
- Yue, C.-X.; Zhang, L.-W.; Liao, S.-L.; Pei, J.-B.; Gao, H.-J.; Jia, Y.-W.; Lian, X.-J. Research on the dynamic recrystallization behavior of GCr15 steel. Mater. Sci. Eng. A Struct. Mater. Prop. Microstruct. Process. 2009, 499, 177–181. [Google Scholar] [CrossRef]
- Tikhonova, M.; Belyakov, A.; Kaibyshev, R. Strain-induced grain evolution in an austenitic stainless steel under warm multiple forging. Mater. Sci. Eng. A 2013, 564, 413–422. [Google Scholar] [CrossRef]
- Arun Babu, K.; Mozumder, Y.H.; Athreya, C.N.; Sarma, V.S.; Mandal, S. Implication of initial grain size on DRX mechanism and grain refinement in super-304H SS in a wide range of strain rates during large-strain hot deformation. Mater. Sci. Eng. A 2022, 832, 142269. [Google Scholar] [CrossRef]
- Dong, B.; Chai, J.; Wu, G.; Zhang, H.; Zhang, Z.; Yu, J.; Xue, Y.; Meng, M. Dynamic recrystallization behavior and strengthening mechanism of Mg–Gd–Y–Zn–Zr alloy during isothermal MDF process. J. Mater. Res. Technol. 2022, 21, 1419–1433. [Google Scholar] [CrossRef]
- Tang, B.; Li, H.; Guo, N.; Zhang, H.; Liu, G.; Li, X.; Zuo, Y. Revealing ductile/quasi-cleavage fracture and DRX-affected grain size evolution of AA7075 alloy during hot stamping process. Int. J. Mech. Sci. 2021, 212, 106843. [Google Scholar] [CrossRef]
- Han, Y.; He, S.; Chen, T.; Shao, J.; Liu, C.; Chen, Z.; Yang, Z. Microstructure and mechanical properties of Mg97Y2Zn1 alloy sheets processed by hot rolling. Mater. Sci. Eng. A 2022, 856, 144002. [Google Scholar] [CrossRef]
- Quan, G.Z.; Shi, R.J.; Zhao, J.; Liu, Q.; Xiong, W.; Qiu, H.M. Modeling of dynamic recrystallization volume fraction evolution for AlCu4SiMg alloy and its application in FEM. Chin. J. Nonferr. Met. 2019, 29, 1138–1151. [Google Scholar] [CrossRef]
- Lin, C.-N.; Tzeng, Y.-C.; Lee, S.-L.; Fuh, Y.-K.; Łukaszek-Sołek, A.; Lin, C.-Y.; Chen, M.-C.; Pan, T.-A. Optimization of hot deformation processing parameters for as-extruded 7005 alloys through the integration of 3D processing maps and FEM numerical simulation. J. Alloys Compd. 2023, 948, 169804. [Google Scholar] [CrossRef]
- ASTM E209; Standard Practice for Compression Tests of Metallic Materials at Elevated Temperatures with Conventional or Rapid Heating Rates and Strain Rates. ASTM: West Conshohocken, PA, USA, 2018.
- Chen, X.; Lian, T.; Zhang, B.; Du, Y.; Du, K.; Liu, B.; Li, Z.; Tian, X.; Jung, D.W. The Parameters Identification of High-Temperature Constitutive Model Based on Inverse Optimization Method and 3D Processing Map of Cr8 Alloy Steel. Materials 2021, 14, 2216. [Google Scholar] [CrossRef] [PubMed]
- Savaedi, Z.; Motallebi, R.; Mirzadeh, H. A review of hot deformation behavior and constitutive models to predict flow stress of high-entropy alloys. J. Alloys Compd. 2022, 903, 163964. [Google Scholar] [CrossRef]
- Chen, X.; Du, Y.; Du, K.; Lian, T.; Liu, B.; Li, Z.; Zhou, X. Identification of the Constitutive Model Parameters by Inverse Optimization Method and Characterization of Hot Deformation Behavior for Ultra-Supercritical Rotor Steel. Materials 2021, 14, 1958. [Google Scholar] [CrossRef]
- Wang, H.; Wang, C.; Li, M.; Ma, R.; Zhao, J. Constitutive Equations for Describing the Hot Compressed Behavior of TC4–DT Titanium Alloy. Materials 2020, 13, 3424. [Google Scholar] [CrossRef] [PubMed]
- Zhao, M.; Huang, L.; Li, C.; Su, Y.; Guo, S.; Li, J.; Sun, C.; Li, P. Flow Stress Characteristics and Constitutive Modeling of Typical Ultrahigh-Strength Steel under High Temperature and Large Strain. Steel Res. Int. 2023, 94, 2200648. [Google Scholar] [CrossRef]
- Sellars, C.M.; Whiteman, J.A. Recrystallization and grain growth in hot rolling. Met. Sci. J. 1978, 13, 187–194. [Google Scholar] [CrossRef]
- Poliak, E.I.; Jonas, J.J. Initiation of Dynamic Recrystallization in Constant Strain Rate Hot Deformation. ISIJ Int. 2007, 43, 684–691. [Google Scholar] [CrossRef]
- Karhausen, K.; Kopp, R. Model for integrated process and microstructure simulation in hot forming. Steel Res. 1992, 63, 247–256. [Google Scholar] [CrossRef]
- Karhausen, K.; Kopp, R.; Souza, M.M.D. Numerical simulation method for designing thermomechanical treatments, illustrated by bar rolling. Scand. J. Metall. 1991, 20, 351–363. [Google Scholar]
- Kopp, R.; Cho, M.-L.; de Souza, M.M. Multi-level simulation of metal-forming processes. Steel Res. 1988, 59, 161–164. [Google Scholar] [CrossRef]
- Laasraoui, A.; Jonas, J.J. Prediction of steel flow stresses at high temperatures and strain rates. Metall. Mater. Trans. A 1991, 22, 1545–1558. [Google Scholar] [CrossRef]
- Laasraoui, A.; Jonas, J.J. Recrystallization of austenite after deformation at high temperatures and strain rates-analysis and modeling. Metall. Trans. A 1991, 22, 151–160. [Google Scholar] [CrossRef]
- Jonas, J.J.; Sellars, C.M.; Tegart, W.J.M. Strength and structure under hot-working conditions. Metall. Rev. 1969, 14, 1–24. [Google Scholar] [CrossRef]





















| Fe | C | S | P | Mn | Si | Cr | Mo | Cu | Ni |
|---|---|---|---|---|---|---|---|---|---|
| Balance | 0.96 | 0.006 | 0.013 | 0.36 | 0.19 | 1.46 | 0.02 | 0.06 | 0.08 |
| A | ||||||||
|---|---|---|---|---|---|---|---|---|
| 4.16 × 106 | −0.00463 | 0.1382 | −0.093 | 0.00209 | 0.00317 | −2.0621 | 2.66 × 10−4 | −0.8565 |
| /s−1 | T/°C | Fitting Parameters | ||||||
|---|---|---|---|---|---|---|---|---|
| A | B | C | D | R2 | ||||
| 0.01 | 850 | 8.47014 | −76.891 | 740.9507 | −2696.4 | 0.96842 | 0.091598 | 0.195 |
| 900 | 7.71935 | −69.0227 | 850.89 | −4010.29 | 0.97922 | 0.070726 | 0.158 | |
| 950 | 8.25778 | −121.652 | 1844.788 | −9544.48 | 0.92666 | 0.064428 | 0.133 | |
| 1000 | 7.83118 | −129.471 | 2411.967 | −15586.7 | 0.90924 | 0.051582 | 0.111 | |
| 1050 | 8.15413 | −168.286 | 3375.513 | −23384.8 | 0.92356 | 0.048116 | 0.094 | |
| 0.1 | 850 | 8.41727 | −43.066 | 248.1561 | −664.752 | 0.95863 | 0.124435 | 0.256 |
| 900 | 7.82255 | −46.4115 | 366.5169 | −1184.33 | 0.96725 | 0.103157 | 0.234 | |
| 950 | 8.27077 | −73.5862 | 706.0572 | −2532.06 | 0.97569 | 0.092949 | 0.198 | |
| 1000 | 7.86564 | −80.9397 | 902.8293 | −3586.9 | 0.94904 | 0.083901 | 0.18 | |
| 1050 | 7.80172 | −103.649 | 1425.969 | −6598.36 | 0.93148 | 0.072037 | 0.154 | |
| 1 | 850 | 8.52139 | −41.3525 | 211.2415 | −430.082 | 0.96166 | 0.163722 | 0.347 |
| 900 | 8.38092 | −46.3749 | 258.0802 | −561.636 | 0.96158 | 0.153172 | 0.326 | |
| 950 | 7.77295 | −39.1519 | 230.4801 | −559.416 | 0.97828 | 0.137334 | 0.303 | |
| 1000 | 7.68793 | −45.0763 | 328.8014 | −936.054 | 0.96539 | 0.117088 | 0.266 | |
| 1050 | 7.8954 | −55.4391 | 390.8831 | −1030.36 | 0.9636 | 0.126455 | 0.269 | |
| 0.01 s−1 | 0.1 s−1 | 1 s−1 | |
|---|---|---|---|
| 850 °C | 136.7623 | 188.5939 | 261.4116 |
| 900 °C | 107.0416 | 151.9632 | 204.7171 |
| 950 °C | 86.7559 | 120.7993 | 173.3112 |
| 1000 °C | 64.4685 | 94.79529 | 141.7204 |
| 1050 °C | 50.6158 | 81.09207 | 119.1046 |
| 0.01 s−1 | 0.1 s−1 | 1 s−1 | |
|---|---|---|---|
| 850 °C | 0.362 | 0.434 | 0.481 |
| 900 °C | 0.277 | 0.385 | 0.424 |
| 950 °C | 0.249 | 0.349 | 0.432 |
| 1000 °C | 0.216 | 0.312 | 0.413 |
| 1050 °C | 0.194 | 0.263 | 0.433 |
Disclaimer/Publisher’s Note: The statements, opinions and data contained in all publications are solely those of the individual author(s) and contributor(s) and not of MDPI and/or the editor(s). MDPI and/or the editor(s) disclaim responsibility for any injury to people or property resulting from any ideas, methods, instructions or products referred to in the content. |
© 2023 by the authors. Licensee MDPI, Basel, Switzerland. This article is an open access article distributed under the terms and conditions of the Creative Commons Attribution (CC BY) license (https://creativecommons.org/licenses/by/4.0/).
Share and Cite
Chen, X.; Sun, J.; Yang, Y.; Liu, B.; Si, Y.; Zhou, J. Finite Element Analysis of Dynamic Recrystallization Model and Microstructural Evolution for GCr15 Bearing Steel Warm–Hot Deformation Process. Materials 2023, 16, 4806. https://doi.org/10.3390/ma16134806
Chen X, Sun J, Yang Y, Liu B, Si Y, Zhou J. Finite Element Analysis of Dynamic Recrystallization Model and Microstructural Evolution for GCr15 Bearing Steel Warm–Hot Deformation Process. Materials. 2023; 16(13):4806. https://doi.org/10.3390/ma16134806
Chicago/Turabian StyleChen, Xuewen, Jiawei Sun, Yisi Yang, Bingqi Liu, Yahui Si, and Junzhuo Zhou. 2023. "Finite Element Analysis of Dynamic Recrystallization Model and Microstructural Evolution for GCr15 Bearing Steel Warm–Hot Deformation Process" Materials 16, no. 13: 4806. https://doi.org/10.3390/ma16134806
APA StyleChen, X., Sun, J., Yang, Y., Liu, B., Si, Y., & Zhou, J. (2023). Finite Element Analysis of Dynamic Recrystallization Model and Microstructural Evolution for GCr15 Bearing Steel Warm–Hot Deformation Process. Materials, 16(13), 4806. https://doi.org/10.3390/ma16134806
