Next Article in Journal
Preliminary Tc Calculations for Iron-Based Superconductivity in NaFeAs, LiFeAs, FeSe and Nanostructured FeSe/SrTiO3 Superconductors
Previous Article in Journal
Prediction and Global Sensitivity Analysis of Long-Term Deflections in Reinforced Concrete Flexural Structures Using Surrogate Models
 
 
Font Type:
Arial Georgia Verdana
Font Size:
Aa Aa Aa
Line Spacing:
Column Width:
Background:
Article

Structure and Luminescent Properties of Glasses in the GeS2-Ga2S3-Sb2S3:Pr3+ System

by
Andrey Tverjanovich
*,
Yurii S. Tveryanovich
and
Christina Shahbazova
Institute of Chemistry, St. Petersburg State University, 198504 St. Petersburg, Russia
*
Author to whom correspondence should be addressed.
Materials 2023, 16(13), 4672; https://doi.org/10.3390/ma16134672
Submission received: 19 May 2023 / Revised: 13 June 2023 / Accepted: 26 June 2023 / Published: 28 June 2023

Abstract

The physicochemical, optical, and luminescent properties and structures of glasses of the Ga2S3-GeS2-Sb2S3:Pr system have been studied in a wide range of concentrations of the main components in order to reveal their correlation with the composition. According to the calculations using the Judd–Ofelt theory, glasses with a high content of Sb2S3 should provide the highest luminescence efficiency of Pr3+ ions. However, this result is leveled by enhancing the concentration quenching effect, followed by an increase of the Sb2S3 content in the glasses. The introduction of Pr leads to a significant increase in the fraction of Sb-Sb, Sb-Ge, Ge-Ge bonds in glasses enriched with Sb2S3 and GeS2. In the cases of the glasses enriched with Ga2S3, this effect was not observed, apparently because Ga promotes the formation of three-coordinated sulfur atoms.

1. Introduction

Chalcogenide glasses—due to a high transparency in a wide spectral range of 0.5–20 µm, low optical losses in the mid-infrared region, high refractive index varied from 2 to 3.3, and a high coefficient of optical nonlinearity—have a great advantage as optical materials, including fiber and planar optics [1,2].
Chalcogenide glasses are of interest not only as passive optical materials, but also as active luminescent media for the IR range if doped with rare earth ions (REIs). These materials are especially interesting for the development of optically active fibers suitable for the IR region [2,3]. This is due to the rather large optical losses in chalcogenide fibers (the best value is 12 dB/km in a multimode As2S3 fiber) [4], and, accordingly, the need for amplification when transmitting a signal over relatively long distances [5].
Taking into account the characteristic absorption of organic groups in the mid-IR range, chalcogenide glasses doped with REIs have undeniable advantages as materials for optical sensors used in chemistry, medicine, biology, and many other fields of science and industry [2,6,7].
Despite their attractiveness, there are still a number of unresolved problems associated with their application. One of these problems is a high quenching level of the REI luminescence due to the uneven distribution of rare earth ions in the glass matrix. The latter decreases the luminescence efficiency [8].
One of the main chalcogenide systems, which was studied as a chalcogenide matrix for the introduction of REIs, is the Ga2S3-GeS2 quasi-binary system. The importance of this system can be associated with the formation of GaS4/2 complex structural units, which facilitate the solubility of rare earth ions in the glass matrix [9,10]. However, it has several disadvantages, including a high synthesis temperature and a high crystallization capacity. The latter is especially critical for fabrication of optical fibers. To reduce these negative factors, the composition of the glass-forming matrix was complicated by adding a third component—Sb2S3 [11].
The structure of the two glass compositions Ge22Ga3Sb10S65 and Ge15Ga10Sb10S65 of the Ga2S3-GeS2-Sb2S3 system was studied by neutron diffraction, X-ray diffraction, and EXAFS. It was shown that Ge, Ga, Sb, and S coordination realized in glasses is 4, 4, 3, and 2, respectively. The Sb-S distances were found in the glass structure, which are 0.3–0.4 Å longer than the length of the covalent bond. On the basis of which, it was suggested that Sb atoms can have different local environments [12]. The glass formation region, density, refractive index, thermal expansion coefficient, Tg of this ternary system were studied in [13]. The additivity of the density and refractive index was shown.
In general, there are various REIs, which were introduced into chalcogenide glasses. These are mainly Er, Nd, Pr, Dy Ho. In the current work, Pr3+ was chosen as an REI, because it has not only luminescence properties at one of the wavelengths of information communication lines (1.3 μm), but it also exhibits a broadband luminescence in the mid-IR region of the spectrum between 3.5 and 5.2 μm, suitable for the fabrication of detectors sensitive to CO2, CO, and N2O [14,15]. In addition, luminescent glasses of this system containing Er3+ [11,16,17], Ho3+ [18], Nd3+, and Dy3+ [19] ions were previously studied, but we did not find any information on studies of glasses of this ternary system containing Pr3+ ions. So far, only glasses with selenium instead of sulfur [20] or glasses belonging to quasi-binary sections were studied. Thus, this study is aimed at the investigation of the physicochemical, optical, and luminescent properties and structures of glasses of the Ga2S3-GeS2-Sb2S3:Pr pseudo-ternary system in a wide range of concentrations of the main components in order to reveal their correlation with the composition. Moreover, it is necessary to reveal the correlation between the chemical structure of the glass matrix and the uniformity distribution of Pr3+ ions in it.
According to the studies carried out, glasses of this system with a high content of Sb2S3 have a high crystallization stability. In turn, due to the Judd–Ofelt theory, they should have a high efficiency of Pr3+ luminescence. At the same time, these glasses are characterized by a high degree of inhomogeneity in the distribution of Pr3+ ions in the glass matrix, which leads to strong concentration quenching. The effectiveness of increasing the content of Ga2S3 in glass as an agent promoting the dissolution of Pr in the glass matrix is highly limited in concentration. The nature of the concentration changes in the properties of glasses at a high content of Ga2S3 and Sb2S3 is not monotonic, indicating some kind of structural–chemical interaction of the corresponding structural units in the glass. The introduction of Pr into glasses dramatically changes the distribution of chemical bonds in them, increasing the proportion of metal–metal (M-M) bonds.

2. Materials and Methods

2.1. Materials

The glass compositions for the synthesis and study were chosen so that they belonged to four cuts on the concentration triangle (GeS2-GaS1.5-SbS1.5) (Figure 1, Table 1). In the first group of cuts, at a fixed relative content of Sb2S3, the mutual ratio of Ga2S3 and GeS2 changed (two sections). In the second group of cuts, at a fixed ratio of Ga2S3 and GeS2, the relative content of Sb2S3 changed (two sections). These choices of compositions make it possible to study the influence of each of the components on the properties of the chosen glasses. In addition, the literature data on the region of glass formation in this system were also taken into account when choosing the aforementioned composition [16]. The selected compositions are marked on the concentration triangle in Figure 1 with an asterisk and a serial number.
The glass synthesis was carried out by fusing pure components in evacuated to high vacuum and sealed quartz ampoules during several stages in a constantly swinging furnace. The maximum synthesis temperature was 950 °C. All glasses were obtained by quenching a quartz ampoule with a sample melt from the synthesis temperature in air. Thus, glassy matrices were synthesized for the further preparation of glasses containing praseodymium ions with different concentrations. The synthesis of glasses with praseodymium was carried out in one stage using a similar procedure.

2.2. Methods

For the resulting glasses, the density was measured by hydrostatic weighing in toluene. The refractive index was measured by the change in the focal length in an IR microscope at a wavelength of 1.2 μm after the introduction of a plane–parallel sample of known thickness between the objective and the focus. A differential thermal analysis (DTA) was carried out during heating at a constant rate of 10 K/min.
X-ray diffraction studies of the samples were carried out on an automatic powder diffractometer D2 Phaser (Bruker, Billerica, MA, USA) with the following parameters: CuKα1+2 X-ray tube radiation, sample rotation speed 20 rpm, diffraction angle interval 2 theta = 7–60°, scanning step of 0.02°.
Optical absorption spectra were measured on plane–parallel polished samples. The measurements were performed on a UV-3600 spectrometer (Shimadzu, Kyoto, Japan) in the spectral range between 0.5 and 3.2 µm and on a Tensor 27 spectrophotometer (Bruker, USA) in the spectral range between 2.5 and 25 µm.
The Raman spectra of glassy samples were measured on a Senterra Raman spectrometer (Bruker, USA) with an Olimpus BX-52 optical microscope at room temperature. A 785-nm laser was used as the excitation source. The laser power was reduced to 1 mW to prevent sample heating.
Luminescence spectra were measured on a Fluorolog-3 spectrofluorimeter (Horiba Jobin Yvon, Takamatsu, Japan). The beam of the pump laser was aimed at the sample surface at an angle of approximately 90 degrees. At an angle of ~45 °C, a light guide was brought to this surface at a distance of ~2 cm from the surface in such a way that the reflected beam of the pump laser did not fall into the light guide. The luminescence excitation spectrum was measured at a wavelength of 1040 nm to determine the most effective excitation wavelength. Subsequently, the value of the pump wavelength determined in this way (607 nm) was used to excite luminescence.
The calculation of the radiative lifetime, transition probability, and branching coefficients, in accordance with the Judd–Ofelt theory, from the optical absorption spectra was carried out on the basis of work by Walsh [21]. The matrix elements for the calculation were taken from Reference [22].

3. Results and Discussion

3.1. Physicochemical Properties

All samples, both the matrices themselves, and the samples containing Pr3+ ions, were obtained in the glassy state by cooling the ampoule with the melt in air. The glassy state of the samples was monitored visually under a microscope and using XRD analysis (Figure S1a,b in Supplementary Materials (SM)). For samples 1 and 2, visual control was done using an IR microscope because of the shift of their fundamental absorption edge to a longer wavelength region relative to the visible range.
The values of density, refractive index, Tg, and Tcr for glassy matrices are given in Table 1. The obtained values of Tg and refractive index were consistent with the data discussed in Reference [13]. The density values were subsequently used to estimate the specific concentration of Pr3+ ions when calculating their absorption cross section.
The density and refractive index of glasses increased with an increased in the content of Sb2S3, while the value of Tg decreased, which was due to a decrease in the dimensionality of the structure due to an increase in the concentration of trigonal structural units relative to tetrahedral ones. The crystallization temperature behaved similarly. A change in the ratio of Ga2S3 and GeS2 at a constant Sb2S3 content did not have such an unambiguous effect on the given parameters. The effect depended on the content of Sb2S3, which may have indicated some kind of interaction between Ga2S3 and Sb2S3. This is also supported by the optical properties discussed below.
It should be noted that glasses of compositions 1 and 2 do not crystallize during heating at a rate of 10 K/min. Thus, they can be considered as promising materials for the production of bulk optical elements using rapidly developing molding technique [23].

3.2. Optical Properties

The fundamental absorption edge of the synthesized glassy matrices mainly lied in the visible range. However, for glasses with the maximum content of Sb2S3 (compositions 1 and 2), the absorption edge lied at the long-wavelength edge of the visible range, as it can be seen from the optical absorption spectra (Figure 2A). This spectral position of the band gap agrees with the literature data on the band gap for amorphous Sb2S3, Ga2S3, and glassy GeS2. So, for films of amorphous Sb2S3, Eg = 2.2–2.5 eV [24,25]; for films of amorphous Ga2S3, Eg = 2.2–3.0 [26,27]; for glassy GeS2, Eg = 3.2 eV [28]. Interestingly enough, an increase in the content of Ga2S3 relative to GeS2 at a maximum content of Sb2S3 (compositions 1 and 2) led to an increase in the band gap, even though Eg of Ga2S3 was smaller than Eg of GeS2. This may be an indication of an interaction between Sb2S3 and Ga2S3. There was no such shift observed for the samples with the minimum studied Sb2S3 content (compositions 4 and 5).
According to the IR absorption spectra (Figure 2B), the glasses were transparent up to 11 μm. Further, transmission was limited by the presence of Ge-O impurity bonds, the absorption band of which was located in the region of 12.8 μm [29]. The intensity of this absorption increased with an increase in the relative concentration of GeS2 in glasses (Figure 2B). With a significant increase in the relative content of Sb2S3 in glasses (compositions 1 and 2), a peak appeared in the region of 16.1 μm, which, apparently, was due to the presence of Sb-O bonds (the Raman spectrum of crystalline Sb2O3 was characterized by an intense band in the region of 647 cm−1 (15.5 μm) and a weak band at 592 cm−1 (16.9 μm)) [30]. Impurity Ga-O bonds (14.7 μm) [31] can also be presented in the glasses.
In addition, impurity absorption bands, due to the presence of S-H bonds (4.0 and 3.1 μm) [25], were observed in the transparency range. A small contribution of O-H (2.9 µm) [6] and CO2 (4.3 µm) [29] groups was also observed, as it could be seen in the enlarged IR spectrum (Figure 2B, inset).
The introduction of Pr into the glasses led to the appearance of additional absorption bands in the transparency range due to transitions between the levels of Pr3+ ions. The dependences of the optical absorption coefficient for glasses, for an example, of composition 1 with different Pr concentrations are shown in Figure 3. Spectral position of the absorption bands in the studied glasses, due to the transitions of Pr3+ ions, the energy of the transitions and their identification are given in Table S1 (Supplementary Materials). For 1 and, to a lesser extent, 2, the 3H4-1D2 transition was overlapped by the fundamental absorption edge.
The fundamental absorption edge shifted to a longer wavelength spectral range when a REI was introduced into glass. Broadband absorption in the region of 4.74 μm is referred to as the 3H4-3H5 transition (Figure 3, inset) and was partially overlapped by an S-H impurity absorption. Therefore, the practical use of this promising transition for broadband mid-IR luminescence is possible only after an additional purification of glasses from the impurities of S-H groups—e.g., by use of getters or by synthesis from volatile halides [4].

3.3. Luminescent Properties

According to the method described above, the luminescence spectra of all synthesized glasses were measured upon excitation by radiation with a wavelength of 607 nm. In order to study the influence of the glass composition on the concentration quenching of luminescence, the measurement of the luminescence intensity for glasses of the same matrix, but with a different content of REIs, was carried out under strictly identical conditions. The same principle was applied to all plane–parallel glass samples to standardize the size of the sample from which the signal was collected. The luminescence spectra, for an example, for glasses of composition 3 with different contents of Pr3+ ions are shown in Figure 4.
Several luminescence peaks overlapped in the wavelength range between 800 and 1100 nm. In this wavelength range, luminescence spectra could be deconvoluted in six peaks (Figure 4, inset). The results of approximation of luminescence bands and their assignments are given in Table 2.
Peaks 3 and 6 were due to the presence of neodymium impurities in praseodymium metal (see Supplementary Materials).
As it can be seen from Figure 4, the luminescence intensity for 3 decreased due to concentration quenching already at Pr3+ ions above 0.3 at.%.
Figure 5 shows the dependences of the relative luminescence intensity at 1040 nm on the content of Pr3+ ions for glasses of the studied compositions.
For glasses of composition 1, the luminescence intensity was insufficient for measurements. Possibly, this is because of the absorption of the excitation radiation by the glass matrix. For glasses of composition 2, the maximum luminescence intensity was observed at concentrations below 0.1 at.% Pr. For glasses with a low content of Sb2S3, the maximum luminescence intensity shifted towards an increase of REI content in the glass. It should be noted that the shift of the luminescence intensity maximum toward high concentrations of Pr3+ ions, with an increase in the relative content of Ga, turned out to be insignificant, in contrast to glasses with Er3+ ions [32]. Apparently, the observed strong concentration quenching was associated with the cross-relaxation process between the 1D23F4 and 3H41G4 transitions.
Let us consider the obtained data for composition 3 from the point of view of the distribution statistics of Pr3+ ions in the glass matrix. The luminescence intensity (I) was proportional to the concentration of Pr3+ atoms located at a distance of more than two interatomic distances from each other. We can write the following relationship for the luminescence intensity, which reflects the nature of the distribution of Pr3+ ions in the glass matrix [10]:
I ~ C⋅g0
g 0 = 1 b 1 b 1 S 6
where C is the concentration of Pr3+ ions and b is the fraction of Pr atoms in the total number of metal atoms (it is assumed that only Pr, Ge, Ga, or Sb atoms can occupy the second coordination sphere of Pr3+ ions). S is the so-called segregation factor. It is equal to 1 if the Pr3+ ions are distributed statistically uniformly over the metal positions of the glass structure network. On the other hand, this factor is greater than one if there is a tendency for the structural units containing these ions to agglomerate. The result of approximation for 3 is shown in Figure 5 (see black dotted line). The obtained value of the segregation factor equal to 24 indicated a very strong agglomeration and, therefore, a strong dipole–dipole interaction between Pr3+ ions.

3.4. Parameters of the Judd–Ofelt Theory for the Synthesized Glasses

For the Pr3+ ion, the 4fN−15d band had a relative low energy and located close in energy to the 3P2, 3P1, 1I6, and 3P0 levels [33]. It contradicted the assumptions in the Judd–Ofelt theory, according to which the 4fN−15d configuration should be degenerate in energy and have a significant difference in energy with the 4fN configuration [34,35]. To overcome this contradiction, many different approaches have been proposed [36,37,38]. However, if we considered levels with energies less than the 3P0 level (in our case, it was even less than 1D2), then the standard method was quite sufficient for the accurate prediction of the Judd–Ofelt parameters [39]. In addition, it should be noted that all absorption bands observed and used in the calculations could be referred to the electronic transitions [40]; therefore, the magnetic dipole component could be neglected.
The calculation results are shown in Table 3 and Table 4. The values for the branching ratio are shown in Table S2 (Supplementary Materials). The standard deviation (RMS) between the theoretical and experimental line strengths was 0.15 × 10−20 cm2 in average. Such a low value indicated a very good calculation accuracy.
The obtained values of the parameters Ω2, Ω4, and Ω6 were consistent with the literature data for the Ge25Ga5S70 composition (Ω2 = 12.8, Ω4 = 4.3, Ω6 = 7.7) [41].
The value of the parameter Ω2 was associated with the degree of covalence of the bonds of the REIs and the degree of symmetry of its environment [40,42,43]. According to the data obtained, as the content of Sb2S3 and Ga2S3 in glasses increased, the degree of covalence (or the degree of asymmetry) decreased. Moreover, among the investigated glass compositions, the highest radiation probability and the lowest radiation lifetime were observed for the composition with the highest content of Sb2S3 and Ga2S3 (composition 2). This was also consistent with the correlation of the ratio Ω46 with the stimulated emissivity [43]. For 2, the ratio Ω46 was maximal. The highest calculated radiation probability was observed for the 1G4-3H5 transition, which corresponded to 1.336 μm (one of the wavelengths of information communication lines).

3.5. Glass Structure According to the Raman Spectroscopy Data

The GeS2 glass structure was composed of a GeS4/2 tetrahedra connected by corners or edges. In addition, there was a small proportion of non-stoichiometric Ge-Ge and S-S bonds. The Raman spectrum of GeS2 contained the following bands: 110, 155, 175, 209, 258, 342, 370, and 433 cm−1. The most intense A1 mode at 342 cm−1 was associated with completely symmetric vibration of the GeS4/2 tetrahedron or tetrahedra with common corners [44,45]. The 370 cm−1 mode was the A1c companion caused by vibrations of bridging sulfur atoms in the tetrahedra connected by common edges [45]. The band at 258 cm−1 was referred to as a non-stoichiometric ethane-like structure S3/2Ge-GeS3/2 [46]. The band at 433 cm−1 could be attributed to vibrations of the edge-connected tetrahedral [45,46]. The presence of nonstoichiometric S–S bonds was associated with a mode at about 485 cm−1 [47]. The bands around 110 and 150 cm−1 were the νI) and ν4(F2) vibrations of the GeS4/2 tetrahedron [48]. Approximation of the experimental Raman spectrum of GeS2 glass in the range from 280 to 470 cm−1 also resulted in revealing a broad peak at about 402 cm−1, which belonged to the F2 vibrations of the GeS4/2 tetrahedron [48,49].
Pure Ga2S3 had not been obtained in the bulk glassy state. In the multicomponent glasses containing Ga2S3, gallium was four-coordinated by sulfur, forming, like GeS2, a GaS4/2 tetrahedral [50,51]. Assuming the atomic weight of Ge as similar to those of Ga, it could be expected that the frequencies of analogous vibrations were also similar. Thus, for a fully symmetrical vibration of the GaS4/2 tetrahedral structural unit, a band was assumed at about 320 cm−1 [50] or 350 cm−1 [51]. Similarly, for Ga-Ga bonds, a band was assumed at about 260 cm−1 [50].
Pure Sb2S3 was also not obtained in the bulk glassy state. Films were obtained, the Raman spectrum of which was mainly characterized by one broad maximum at about 300 cm−1 [52]. For fully symmetric vibrations of the SbS3/2 pyramid in chalcogenide glasses, a band was assumed at about 290 cm−1 [53] and 160 cm−1 [54].
Thus, if the structure of glasses of the Ga2S3-Sb2S3-GeS2 system consisted of structural units SbS3/2, GaS4/2, GeS4/2, then we should have observed mainly the three most intense fully symmetrical modes at 300, 320 and 340 cm−1, respectively. If there were non-stoichiometric Ga-Ga or Ge-Ge bonds, then a mode should appear at about 260 cm−1. If the GeS2 content dominates in glass, then Raman peaks could also be observed at about 370, 400, and 430 cm−1.
The Raman spectra of five studied glassy matrices are shown in Figure 6. The spectra were reduced for the correction of the influence of temperature, harmonic oscillator factor, and the wavelength dependence of the scattered intensity, as was described in Reference [55].
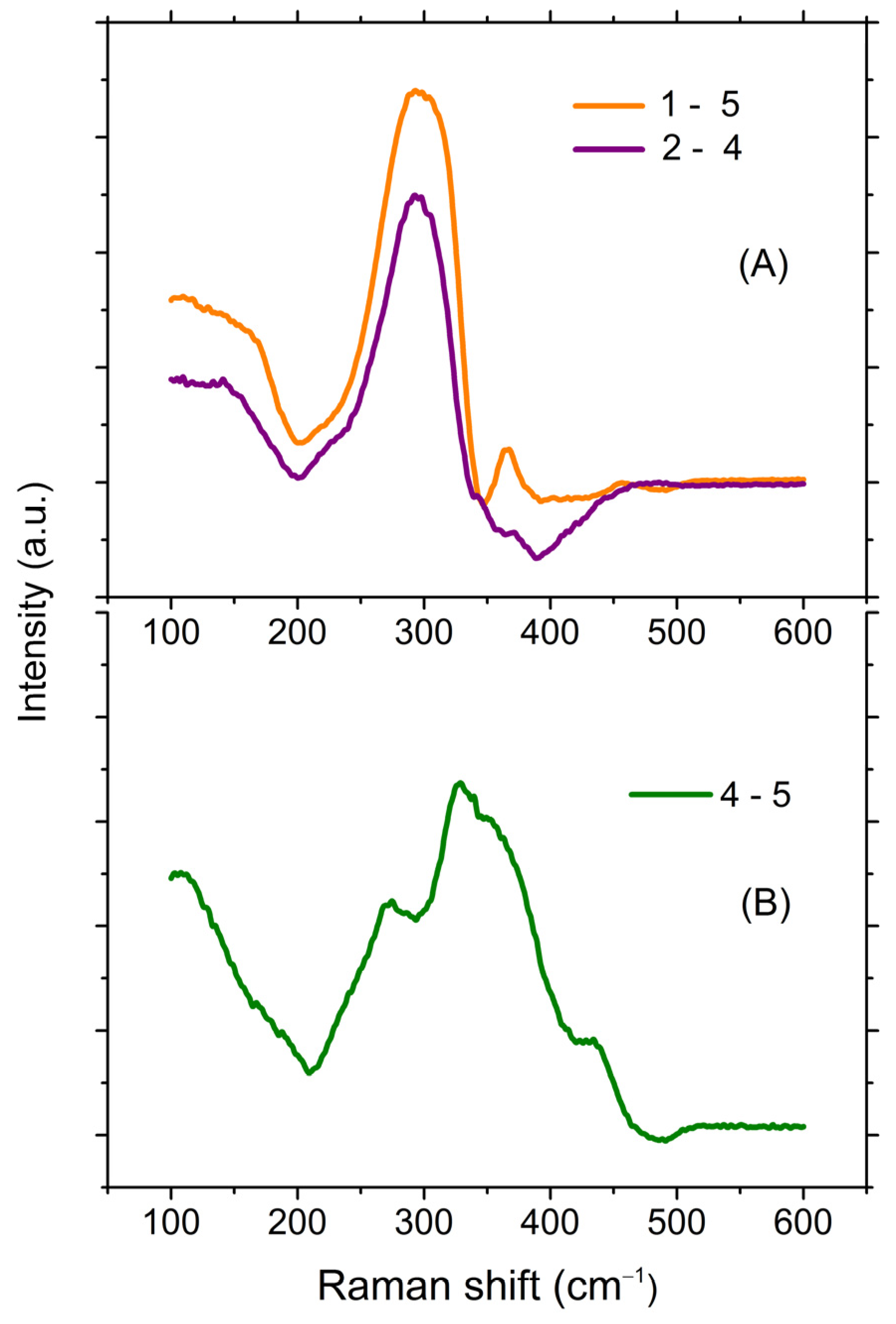
The maximum of the Raman spectrum shifts to lower frequencies and the main peak also broadened as a result of the increase in the relative content of Sb2S3 in glasses at a constant ratio of GeS2 to Ga2S3 (the sections marked with dark green dotted lines in Figure 1). This was consistent with the difference in vibration frequencies of GeS4/2 (GaS4/2) and SbS3/2 structural units. At the same time, when the ratio of GeS2 to Ga2S3 changed at a constant content of Sb2S3 (the sections marked with orange dotted lines in Figure 1), the changes were not so unambiguous. At a high content of Sb2S3 (1 and 2), there were practically no differences in the spectra. At a relatively low content of Sb2S3 (4 and 5), differences in the spectra were observed. It was not possible to unambiguously decompose them into component peaks without fixing the spectral position of these peaks because of the smooth shape of the spectra. Therefore, for a more detailed analysis of the spectra, let us consider the difference between the Raman spectra of glasses with the maximum and minimum Sb2S3 contents at a constant ratio of Ga2S3 to GeS2 (15 and 24, two sections). The subtraction was carried out on the unreduced spectra (Figure 7A).
If there were no influence of the structural environment on the SbS3/2 pyramid, then we should have observed the spectrum of glassy Sb2S3 in Figure 7A. Indeed, despite the fact that these two spectra belong to different sections, they were very similar. The spectral position of the maximum of the main peak (297 cm−1) corresponded to the spectral position of the fully symmetrical vibration of the SbS3/2 pyramid that was assumed in the literature. Variations of the intensity in the 350–450 cm−1 range, apparently, were due to the influence of the structural environment. Moreover, this effect increased with an increase in the relative content of Ga2S3.
The Raman spectrum of the glasses with a constant minimum content of Sb2S3 (4 and 5) is shown in Figure 7B. By subtracting the spectrum of glass 5 from the spectrum of glass 4, we should obtain the spectrum of the hypothetical glassy Ga2S3 and the dip corresponding to the spectrum of GeS2, which was compensated based on the spectrum of glassy GeS2. In the resulting spectrum, the most intense mode was observed at ~320 cm−1. It agreed with the data from Reference [50], in which it was assumed that the fully symmetrical vibrations of the GaS4/2 tetrahedral structural unit corresponded to the 320 cm−1 band.
The second most intense mode was located at about 270 cm−1. This band was thought to be due to the presence of non-stoichiometric Ga-Ga bonds (260 cm−1) [50]. The low-intensity mode in the region of 420 cm−1 could be attributed to the GaS4/2 edge-connected tetrahedra, by analogy, with GeS2. Thus, it can be assumed that the spectrum shown in Figure 7B corresponded to the hypothetical glassy Ga2S3.
For the glasses with a constant maximum content of Sb2S3 (1 and 2), this approach was not informative, since the spectra of glasses 1 and 2 were very similar (see Figure 6). Apparently, this was due to the large scattering cross-section of Sb2S3. However, from a comparison of spectra 1 and 2 in Figure 6, we can conclude that with an increase in the Ga2S3 content, the intensity of the 250 cm−1 signal increased. The latter, with a certain assumption, could be explained by an increase in the part of Ga-Ga homobonds.
Now, let us consider the effect of the introduction of the REIs on the structure of the studied glasses. The Raman spectra of two studied glassy matrices—e.g., with different contents of Pr3+ ions—are shown in Figure 8.
The introduction of a rare earth ion into the glasses with a minimum relative content of Ga2S3 (1 and 5) had the greatest effect on the spectrum. The most pronounced effect was observed for glass with a maximum relative content of Sb2S3 (1). The main changes in the Raman spectra of all studied compositions were the following: peak at 485 cm−1 disappeared; peaks at about 170, 210, and 260 cm−1 appeared (Table S3, Supplementary Materials).
The question arises about the identification of the bands appearing at about 170 and 210 cm−1 upon the introduction of the Pr. The Raman signals at these frequencies were observed in lanthanide sulfides—e.g., the band at 220 cm−1 was associated with vibrations of the La–S [56] or Tm–S [57] bonds. However, the concentration of rare earth ions is so low that it is unlikely that these bands were caused by Pr-S bond vibrations.
On the other hand, the characteristic coordination of Pr3+ ions by sulfur atoms was no less than 6 (the coordination of La3+ and Ce3+ ions in chalcogenide glasses is 8) [58]; therefore, the introduction of Pr into the glass matrix should have led to a deficiency of sulfur atoms relative to the stoichiometric composition. If we look at the Raman spectrum—e.g., of 5 in the region of the band caused by vibrations of S-S bonds (~485 cm−1) on an enlarged scale (Figure 8C)—then we will see that non-stoichiometric S-S bonds in the original matrix disappeared already with the introduction of 0.1 at.% Pr3+ ions.
It should be noted that the replacement of GeS2 by Ga2S3 reduced this effect. Thus, for 2, non-stoichiometric S-S bonds disappeared when 0.9 at.% of Pr3+ ions were introduced (Figure 8C). Thus, a deficiency of sulfur atoms was formed, leading to the formation of metal–metal (M-M) homobonds. Indeed, vibrations of Sb-Sb bonds corresponded to a band at 163–170 cm−1 [59,60]. At the same time, the band at 210 cm−1 could be attributed to vibrations of mixed Sb–Ge bonds [61,62]. This attribution corresponded to a change in the intensity of these bands with a change in the composition of the glassy matrix. The maximum intensity of these bands was observed for glasses with the maximum relative content of Sb2S3 and GeS2 (1). The effect of an increase in the fraction of M–M bonds at the addition of Pr was consistent with the shift of the fundamental absorption edge to the long wavelength range of the spectrum. In Ga2S3, according to the stoichiometry, there was not enough sulfur to form the structural unit GaS4/2, which is characteristic of glasses containing Ga2S3. As a result, Ga-Ga bonds and three-coordinated sulfur appeared in the glass. The proportion of the three-coordinated sulfur increased with a decreasing sulfur–gallium ratio in the sample. Thus, almost all sulfur had a coordination of three in the amorphous GaS film [63]. Therefore, the absence of a sharp increase in the proportion of M–M bonds in glasses rich in Ga2S3 upon the introduction of Pr was apparently due to the fact that gallium promotes an increase of sulfur coordination from two to three.

4. Conclusions

Pr3+ ions were non-uniformly distributed in the Ga2S3-GeS2-Sb2S3 glass matrix that led to a dipole–dipole interaction between ions and strong concentration quenching. The degree of non-uniformity of distribution increased with an increase in the relative content of Sb2S3. For compositions containing 65 mol.% Sb2S3, the luminescence intensity decreased for Pr concentrations of more than 0.1 at.%. With a decrease in the content of Sb2S3, it was possible to effectively introduce Pr into glasses up to 0.3 at.%. Complex structural units of GaS4/2+ effectively contributed to the dissolution of REIs in the glass matrix, only up to a certain limit of Ga2S3 concentrations. Thus, for compositions containing 13 and 35 mol.% Ga2S3, the concentration positions of the maximum luminescence intensity were approximately the same, which was apparently due to the saturation of the REI surroundings with the GaS4/2+ structural units. The calculations based on the Judd–Ofelt theory, which does not take into account the nature of REI distribution, showed that, namely, glasses with a high content of Sb2S3 should have a high luminescence efficiency. Moreover, at the same Sb2S3 content, glasses with a higher Ga2S3 content should have a higher luminescence efficiency. In addition, the studied glasses with an Sb2S3 content of 65 mol % did not crystallize at a heating rate of 10 K/min; therefore, they could be considered as materials for not only fiber optics, but also for the fabrication of bulk optical elements using an intensively developing molding technique. If it would be possible to reduce the degree of inhomogeneity of the REI distribution, for example, by optimizing the temperature of quenching and increasing the quenching rate, then the glasses with a high content of Sb2S3 were the most technologically advanced and promising as IR luminescent materials.
The Raman spectroscopy data for a wide range of compositions made it possible to identify the Raman spectra of hypothetical bulk glassy Sb2S3 and Ga2S3. The obtained spectrum of the hypothetical bulk glassy Ga2S3 demonstrated a large fraction of nonstoichiometric Ga-Ga bonds. Adding a few tenths of a percent of Pr to glasses led to a very significant increase in the content of Sb-Sb, Sb-Ge, and Ge-Ge bonds, which probably were in the third coordination sphere of REI. The magnitude of this effect increased with an increase in the proportion of Sb2S3 and GeS2 in the glass. Reducing this effect for glasses enriched with Ga2S3 could be explained by the assumption that gallium promotes the formation of three-coordinated sulfur, which reduces the deficit of chalcogen and reduces the fraction of M-M bonds.

Supplementary Materials

The following supporting information can be downloaded at: https://www.mdpi.com/article/10.3390/ma16134672/s1. Refs. [64,65] are cited in the Supplementary Materials.

Author Contributions

Conceptualization, A.T.; methodology, A.T. and Y.S.T.; validation, A.T.; formal analysis, A.T.; investigation, A.T. and C.S.; resources, A.T.; data curation, A.T.; writing—original draft preparation, A.T.; writing—review and editing, A.T. and Y.S.T.; visualization, A.T.; supervision, A.T.; project administration, A.T.; funding acquisition, A.T. All authors have read and agreed to the published version of the manuscript.

Funding

This work was supported by the Russian Science Foundation under grant No. 22-23-00074, https://rscf.ru/en/project/22-23-00074/ (accessed on 27 June 2023).

Institutional Review Board Statement

Not applicable.

Informed Consent Statement

Not applicable.

Data Availability Statement

Not applicable.

Acknowledgments

The part measurements were carried out in the resource centers of St. Petersburg State University: “Centre for Optical and Laser Materials Research”, “Center for X-ray diffraction studies”, and “Chemical Analysis Materials Research Centre”.

Conflicts of Interest

The authors declare no conflict of interest.

References

  1. Eggleton, B.J.; Luther-Davies, B.; Richardson, K. Chalcogenide photonics. Nat. Photonics 2011, 5, 41–148. [Google Scholar] [CrossRef]
  2. Cui, S.; Chahal, R.; Boussard-Plédel, C.; Nazabal, V.; Doualan, J.-L.; Troles, J.; Lucas, J.; Bureau, B. From Selenium to Tellurium Based Glass Optical Fibers for Infrared Spectroscopies. Molecules 2013, 18, 5373–5388. [Google Scholar] [CrossRef] [PubMed]
  3. Li, L.; Bian, J.; Jiao, Q.; Liu, Z.; Dai, S.; Lin, C. GeS2–In2S3–CsI Chalcogenide Glasses Doped with Rare Earth Ions for Near- and Mid-IR Luminescence. Sci. Rep. 2016, 6, 37577. [Google Scholar] [CrossRef] [PubMed]
  4. Shiryaev, V.S.; Churbanov, M.F. Preparation of high-purity chalcogenide glasses. In Chalcogenide Glasses, Preparation, Properties and Applications; Adam, J.-L., Zhang, X., Eds.; Woodhead Pub.: Oxford, UK, 2014; Chapter 1; pp. 3–35. [Google Scholar] [CrossRef]
  5. Yang, Z.; Pan, H.; Chen, Y.; Wang, R.; Shen, X. Emission properties of Er3+-doped Ge20Ga5Sb10Se65 glasses in near- and mid-infrared. Infrared Phys. Technol. 2018, 89, 277–281. [Google Scholar] [CrossRef]
  6. Anne, M.-L.; Keirsse, J.; Nazabal, V.; Hyodo, K.; Inoue, S.; Boussard-Pledel, C.; Lhermite, H.; Charrier, J.; Yanakata, K.; Loreal, O.; et al. Chalcogenide Glass Optical Waveguides for Infrared Biosensing. Sensors 2009, 9, 7398–7411. [Google Scholar] [CrossRef]
  7. Mishra, S.; Jaiswal, P.; Lohia, P.; Dwivedi, D.K. Chalcogenide glasses for sensor application: A Review. In Proceedings of the 5th IEEE Uttar Pradesh Section International Conference on Electrical, Electronics and Computer Engineering (UPCON), Gorakhpur, India, 2–4 November 2018; pp. 1–5. [Google Scholar] [CrossRef]
  8. Colmenares, Y.N.; Bell, M.J.; Messaddeq, S.H.; Messaddeq, Y. Improved emission cross-section of erbium and demonstration of energy transfer in As2Se3 thin films. J. Mater. Chem. C 2022, 10, 8740–8749. [Google Scholar] [CrossRef]
  9. Lee, T.H.; Symdiankin, S.I.; Hegedus, J.; Heo, J.; Elliott, S.R. Spatial distribution of rare-earth ions and GaS4 tetrahedra in chalcogenide glasses studied via laser spectroscopy and ab initio molecular dynamics simulation. Phys. Rev. B 2010, 81, 104204. [Google Scholar] [CrossRef]
  10. Tver’yanovich, Y.S.; Tverjanovich, A. Rare-earth doped chalcogenide glasses. In Semiconducting Chalcogenide Glass; Fairman, R., Ushkov, B., Eds.; Elsevier Academic: Amsterdam, The Netherlands; San Diego, CA, USA, 2004; Chapter 4; pp. 169–207. [Google Scholar]
  11. Himics, D.; Strizik, L.; Holubova, J.; Benes, L.; Palka, K.; Frumarova, B.; Oswald, J.; Tverjanovich, A.S.; Wagner, T. Physico-chemical and optical properties of Er3+-doped and Er3+/Yb3+-co-doped Ge25Ga9.5Sb0.5S65 chalcogenide glass. Pure Appl. Chem. 2017, 89, 429–436. [Google Scholar] [CrossRef]
  12. Pethes, I.; Nazabal, V.; Chahal, R.; Bureau, B.; Kaban, I.; Beuneu, B.; Bednarcike, J.; Jóvári, P. The structure of near stoichiometric Ge-Ga-Sb-S glasses: A reverse Monte Carlo study. J. Non-Cryst. Solids 2019, 505, 340–346. [Google Scholar] [CrossRef]
  13. Ichikawa, M.; Wakasugi, T.; Kadono, K. Glass formation, physico-chemical properties, and structure of glasses based on Ga2S3–GeS2–Sb2S3 system. J. Non-Cryst. Solids 2010, 356, 2235–2240. [Google Scholar] [CrossRef]
  14. Li, M.; Xu, Y.; Jia, X.; Yang, L.; Long, N.; Liu, Z.; Dai, S. Mid-infrared emission properties of Pr3+-doped Ge–Sb–Se–Ga–I chalcogenide glasses. Opt. Mater. Express 2018, 8, 992–1000. [Google Scholar] [CrossRef]
  15. Nazabal, V.; Adam, J.-L. Infrared luminescence of chalcogenide glasses doped with rare earth ions and their potential applications. Opt. Mater. X 2022, 15, 100168. [Google Scholar] [CrossRef]
  16. Strizik, L.; Zhang, J.; Wagner, T.; Oswald, J.; Kohoutek, T.; Walsh, B.; Prikryl, J.; Svoboda, R.; Liu, C.; Frumarova, B.; et al. Green, red and near-infrared photon up-conversion in Ga–Ge–Sb–S:Er3+ amorphous chalcogenides. J. Lumin. 2014, 147, 209–215. [Google Scholar] [CrossRef]
  17. Ichikawa, M.; Ishikawa, Y.; Wakasugi, T.; Kadono, K. Mid-infrared emissions from Er3+ in Ga2S3–GeS2–Sb2S3 glasses. J. Mater. Res. 2010, 25, 2111–2119. [Google Scholar] [CrossRef]
  18. Ichikawa, M.; Ishikawa, Y.; Wakasugi, T.; Kadono, K. Mid-infrared emissions from Ho3+ in Ga2S3-GeS2-Sb2S3 glass. J. Lumin. 2012, 132, 784–788. [Google Scholar] [CrossRef]
  19. Ichikawa, M.; Ishikawa, Y.; Wakasugi, T.; Kadono, K. Near- and mid-infrared emissions from Dy3+ and Nd3+-doped Ga2S3–GeS2–Sb2S3 glass. Opt. Mater. 2013, 35, 1914–1917. [Google Scholar] [CrossRef]
  20. Ma, C.; Guo, H.; Xu, Y.; Wu, Z.; Li, M.; Jia, X.; Nie, Q. Effect of glass composition on the physical properties and luminescence of Pr3+ ion-doped chalcogenide glasses. J. Am. Ceram. Soc. 2019, 102, 6794–6801. [Google Scholar] [CrossRef]
  21. Walsh, B.M. Juadd-Ofelt Theory: Principles and Practices. In Advances in Spectroscopy for Lasers and Sensing; Di Bartolo, B., Forte, O., Eds.; Springer: Amsterdam, The Netherlands, 2006; pp. 403–433. [Google Scholar] [CrossRef]
  22. Weber, M.J. Spontaneous emission probabilities and quantum efficiencies for excited states of Pr3+ in LaF3. J. Chem. Phys. 1968, 48, 4774–4780. [Google Scholar] [CrossRef]
  23. Kreilkamp, H.; Grunwald, T.; Dambon, O.; Klocke, F. Analysis of form deviation in non-isothermal glass molding. Proceedings Optical Components and Materials XV. Proc. SPIE 2018, 10528, 105280Q. [Google Scholar] [CrossRef]
  24. Krishnan, B.; Arato, A.; Cardenas, E.; Das Roy, T.K.; Castillo, G.A. On the structure, morphology, and optical properties of chemical bath deposited Sb2S3 thin films. Appl. Surf. Sci. 2008, 254, 3200–3206. [Google Scholar] [CrossRef]
  25. Versavel, M.Y.; Haber, J.A. Structural and optical properties of amorphous and crystalline antimony sulfide thin-films. Thin Solid Films 2007, 515, 7171–7176. [Google Scholar] [CrossRef]
  26. Popescu, M.; Sava, F.; Lőrinczi, A.; Velea, A.; Simandan, I.D.; Galca, A.C.; Matei, E.; Socol, G.; Gherendi, F.; Savastru, D.; et al. Amorphous thin films in the gallium–chalcogen system. Phys. Status Solidi B 2016, 253, 1033–1037. [Google Scholar] [CrossRef]
  27. Alharbi, S.R.; Qasrawi, A.F. Dielectric dispersion in Ga2S3 Thin Films. Plasmonics 2017, 12, 1045–1049. [Google Scholar] [CrossRef]
  28. Terakado, N.; Tanaka, K. The structure and optical properties of GeO2–GeS2 glasses. J. Non-Cryst. Solids 2008, 354, 1992–1999. [Google Scholar] [CrossRef]
  29. Snopatin, G.; Shiryaev, V.; Plotnichenko, V.; Dianov, E.; Churbanov, M. High-Purity Chalcogenide Glasses for Fiber Optics. Inorg. Mater. 2009, 45, 1439–1460. [Google Scholar] [CrossRef]
  30. Qurashi, A. Facile Catalyst-free Straightforward Thermal Evaporation of Ultra-long Antimony oxide Microwires: Synthesis and Characterization. Superlattices Microstruct. 2015, 81, 161–166. [Google Scholar] [CrossRef]
  31. Kadono, K.; Furukawa, M.; Yamamoto, S.; Wakasugi, T.; Okada, A. The formation and properties of glasses based on Ga2S3-Bi2S3 system. J. Asian Ceram. Soc. 2020, 8, 284–290. [Google Scholar] [CrossRef]
  32. Tverjanovich, A.; Grigoriev, Y.G.; Degtyarev, S.V.; Kurochkin, A.V.; Man’shina, A.A.; Tver’yanovich, Y.S. Up- conversion fluorescence in Er-doped chalcogenide glasses based on Ga2S3-GeS2 system. J. Non-Cryst. Solids 2001, 286, 89–92. [Google Scholar] [CrossRef]
  33. Sattayaporn, S.; Loiseau, P.; Aka, G.; Klimin, S.; Boldyrev, K.; Mavrin, B. Fine spectroscopy and Judd-Ofelt analysis of Pr3+ doped Sr0.7La0.3Mg0.3Al11.7O19 (Pr:ASL). J. Lumin. 2020, 219, 116895. [Google Scholar] [CrossRef]
  34. Judd, B.R. Optical absorption intensities of rare-earth ions. Phys. Rev. 1962, 127, 750–761. [Google Scholar] [CrossRef]
  35. Ofelt, G.S. Intensities of crystal spectra of rare-earth ions. J. Chem. Phys. 1962, 37, 511–520. [Google Scholar] [CrossRef]
  36. Quimby, R.S.; Miniscalco, W.J. Modified Judd-Ofelt technique and application to optical transitions in Pr3+-doped glass. J. Appl. Phys. 1994, 75, 613–615. [Google Scholar] [CrossRef]
  37. Goldner, P.; Auzel, F. Application of standard and modified Judd-Ofelt theories to a praseodymium-doped fluorozirconate glass. J. Appl. Phys. 1996, 79, 7972–7977. [Google Scholar] [CrossRef]
  38. Dunina, E.; Kornienko, A.; Fomicheva, L. Modified theory of f-f transition intensities and crystal field for systems with anomalously strong configuration interaction. Cent. Eur. J. Phys. 2008, 6, 407–414. [Google Scholar] [CrossRef]
  39. Olivier, M.; Doualan, J.-L.; Nazabal, V.; Camy, P.; Adam, J.-L. Spectroscopic study and Judd–Ofelt analysis of Pr3+-doped Zr–Ba–La–Al glasses in visible spectral range. J. Opt. Soc. Am. B 2013, 30, 2032–2042. [Google Scholar] [CrossRef]
  40. Zhang, F.; Bi, Z.; Huang, A.; Xiao, Z. Luminescence and Judd–Ofelt analysis of the Pr3+ doped fluorotellurite glass. J. Lumin. 2015, 160, 85–89. [Google Scholar] [CrossRef]
  41. Wei, K.; Machewirth, D.P.; Wenzel, J.; Snitzer, E.; Sigel, G.H., Jr. Pr3+-doped Ge-Ga-S glasses for 1.3 optical fiber amplifiers. J. Non-Cryst. Solids 1995, 182, 257–261. [Google Scholar] [CrossRef]
  42. Hehlen, M.P.; Brik, M.G.; Kramer, K.W. 50th anniversary of the Judd–Ofelt theory: An experimentalist’s view of the formalism and its application. J. Lumin. 2013, 136, 221–239. [Google Scholar] [CrossRef]
  43. Bhatia, B.; Parihar, V.; Singh, S.; Verma, A.S. Spectroscopic Properties of Pr3+ in Lithium Bismuth Borate Glasses. Am. J. Condens. Matter Phys. 2013, 3, 80–88. [Google Scholar] [CrossRef]
  44. Lucovsky, G.; Galeener, F.L.; Keezer, R.C.; Geils, R.H.; Six, H.A. Structural interpretation of the infrared and Raman spectra of glasses in the alloy system Ge1-xSx. Phys. Rev. B 1974, 10, 5134–5146. [Google Scholar] [CrossRef]
  45. Holomb, R.; Johansson, P.; Mitsa, V.; Rosola, I. Local structure of technologically modified g-GeS2: Resonant Raman and absorption edge spectroscopy combined with ab initio calculations. Philos. Mag. 2005, 85, 2947–2960. [Google Scholar] [CrossRef]
  46. Jackson, K.; Briley, A.; Grossman, S.; Porezag, D.V.; Pederson, M.R. Raman-active modes of a-GeSe2 and a-GeS2: A first-principles study. Phys. Rev. B 1999, 60, R14985–R14989. [Google Scholar] [CrossRef]
  47. Blaineau, S.; Jund, P. Vibrational signature of broken chemical order in a GeS2 glass: A molecular dynamics simulation. Phys. Rev. B 2004, 69, 064201. [Google Scholar] [CrossRef]
  48. Lucovsky, G.; deNeufville, J.P.; Galeener, F.L. Study of the optic modes of Ge0.3Se0.7 glass by infrared and Raman spectroscopy. Phys. Rev. B 1974, 9, 1591–1597. [Google Scholar] [CrossRef]
  49. Boolchand, P.; Grothaus, J.; Tenhover, M.; Hazle, M.A.; Grasselli, R.K. Structure of GeS2 glass: Spectroscopic evidence for broken chemical order. Phys. Rev. B 1986, 33, 5421–5434. [Google Scholar] [CrossRef]
  50. Tverjanovich, A.; Tveryanovich, Y.S.; Loheider, S. Raman spectra of gallium sulfide based glasses. J. Non-Cryst. Solids 1996, 208, 49–55. [Google Scholar] [CrossRef]
  51. Wang, X.F.; Gu, S.X.; Yu, J.G.; Zhao, X.J.; Tao, H.Z. Structural investigations of GeS2–Ga2S3–CdS chalcogenide glasses using Raman spectroscopy. Solid State Commun. 2004, 130, 459–464. [Google Scholar] [CrossRef]
  52. Oommen, R.; Mathew, J.N.; Rajalakshmi, U.P. Structural and morphological studies of Sb2S3 thin films. J. Ovonic Res. 2010, 6, 259–266. [Google Scholar]
  53. Frumarová, B.; Němec, P.; Frumar, M.; Oswald, J.; Vlček, M.J. Synthesis and optical properties of the Ge–Sb–S:PrCl3 glass system. Non-Cryst. Solids 1999, 256–257, 266. [Google Scholar] [CrossRef]
  54. Wang, J.; Xinlan Yu, X.; Long, N.; Sun, X.; Yin, G.; Jiao, Q.; Liu, X.; Dai, S.; Lin, C. Spontaneous crystallization of PbCl2 nanocrystals in GeS2-Sb2S3 based chalcogenide glasses. J. Non-Cryst. Solids 2019, 521, 119543. [Google Scholar] [CrossRef]
  55. Tverjanovich, A.; Cuisset, A.; Fontanari, D.; Bychkov, E. Structure of Se-Te glasses by Raman spectroscopy and DFT modeling. J. Am. Ceram. Soc. 2018, 101, 5188–5197. [Google Scholar] [CrossRef]
  56. Lucazeau, G.; Barnier, S.; Loireau-Lozac’h, A.M. Vibrational spectra, electronic transitions and short order structure of rare earth—Gallium sulphide glasses. Spec. Acta. Part A 1978, 34, 21–27. [Google Scholar] [CrossRef]
  57. Yang, S.; Wang, X.; Guo, H.; Dong, G.; Peng, B.; Qiu, J.; Zhang, R.; Shi, Y. Broadband near infrared emission in Tm3+-Dy3+ codoped amorphous chalcohalide films fabricated by pulsed laser deposition. Opt. Express 2011, 19, 26529–26535. [Google Scholar] [CrossRef] [PubMed]
  58. Drewitt, J.W.E.; Salmon, P.S.; Zeidler, A.; Benmore, C.J.; Hannon, A.C. Structure of rare-earth chalcogenide glasses by neutron and x-ray diffraction. J. Phys. Condens. Matter. 2017, 29, 225703. [Google Scholar] [CrossRef] [PubMed]
  59. Watanabe, I.; Noguchi, S.; Shimizu, T. Study on local structure in amorphous Sb-S films by Raman scattering. J. Non-Cryst. Solids 1983, 58, 35–40. [Google Scholar] [CrossRef]
  60. Lannin, J.S. Raman scattering properties of amorphous As and Sb. Phys. Rev. B 1977, 15, 3863–3871. [Google Scholar] [CrossRef]
  61. Nazabal, V.; Němec, P.; Jurdyc, A.; Zhang, S.; Charpentier, F.; Lhermite, H.; Charrier, J.; Guin, J.; Moreac, A.; Frumar, M.; et al. Optical waveguide based on amorphous Er3+-doped Ga-Ge-Sb-S(Se) pulsed laser deposited thin films. Thin Solid Films 2010, 518, 4941–4947. [Google Scholar] [CrossRef]
  62. Pethes, I.; Nazabal, V.; Ari, J.; Kaban, I.; Darpentigny, J.; Welter, E.; Gutowski, O.; Bureau, B.; Messaddeq, Y.; Jóvári, P. Atomic level structure of Ge-Sb-S glasses: Chemical short range order and long Sb-S bonds. J. Alloys Compd. 2019, 774, 1009–1016. [Google Scholar] [CrossRef]
  63. Tverjanovich, A.S.; Khomenko, M.; Bereznev, S.; Fontanari, D.; Sokolov, A.; Usuki, T.; Ohara, K.; Le Coq, D.; Masselin, P.; Bychkov, E. Glassy GaS: Transparent and unusually rigid thin films for visible to mid-IR memory applications. Phys. Chem. Chem. Phys. 2020, 22, 25560–25573. [Google Scholar] [CrossRef]
  64. Quimby, R.S.; Aitken, B.G. Anomalous temperature quenching of fluorescence in Pr3+ doped sulfide glass. J. Appl. Phys. 1997, 82, 3992–3996. [Google Scholar] [CrossRef]
  65. Mooney, J.; Kambhampati, P. Get the basics right: Jacobian conversion of wavelength and energy scales for quantitative analysis of emission spectra. J. Phys. Chem. Lett. 2013, 4, 3316–3318. [Google Scholar] [CrossRef]
Figure 1. The studied compositions (asterisks, numbers) and the sections to which they belong (dotted lines) in the GeS2-GaS1.5-SbS1.5 ternary diagram. A photo of the glass composition 4 is shown in the inset.
Figure 1. The studied compositions (asterisks, numbers) and the sections to which they belong (dotted lines) in the GeS2-GaS1.5-SbS1.5 ternary diagram. A photo of the glass composition 4 is shown in the inset.
Materials 16 04672 g001
Figure 2. Optical absorption spectra of the studied glassy matrices. (A) Visible and NIR spectral range. (B) IR spectral range (inset is part of the spectrum on an enlarged scale). The numbers correspond to the glass compositions.
Figure 2. Optical absorption spectra of the studied glassy matrices. (A) Visible and NIR spectral range. (B) IR spectral range (inset is part of the spectrum on an enlarged scale). The numbers correspond to the glass compositions.
Materials 16 04672 g002
Figure 3. Optical absorption spectra of glasses of composition 1 with Pr content varied from 0.3 to 2 at.%.
Figure 3. Optical absorption spectra of glasses of composition 1 with Pr content varied from 0.3 to 2 at.%.
Materials 16 04672 g003
Figure 4. Luminescence spectra for glasses of composition 3 with different contents of Pr3+ ions (0.1, 0.3, 0.6, 0.9 and 1.2 at. %). The corresponding curves are marked with different line colors. The inset shows a fragment of the spectrum for the composition with 0.3 at.% Pr3+ and the result of its fitting by 6 peaks.
Figure 4. Luminescence spectra for glasses of composition 3 with different contents of Pr3+ ions (0.1, 0.3, 0.6, 0.9 and 1.2 at. %). The corresponding curves are marked with different line colors. The inset shows a fragment of the spectrum for the composition with 0.3 at.% Pr3+ and the result of its fitting by 6 peaks.
Materials 16 04672 g004
Figure 5. Dependence of the luminescence intensity at 1040 nm on the concentration of Pr3+ ions for the studied glasses (points with dashed lines). The graphs are shifted relative to each other along the y-axis for clarity. The numbers 25 correspond to the numbers of the composition. The black dotted line is an approximation according to Equations (1) and (2).
Figure 5. Dependence of the luminescence intensity at 1040 nm on the concentration of Pr3+ ions for the studied glasses (points with dashed lines). The graphs are shifted relative to each other along the y-axis for clarity. The numbers 25 correspond to the numbers of the composition. The black dotted line is an approximation according to Equations (1) and (2).
Materials 16 04672 g005
Figure 6. Raman spectra of the studied glassy compositions. The numbers indicate the serial numbers of the compositions.
Figure 6. Raman spectra of the studied glassy compositions. The numbers indicate the serial numbers of the compositions.
Materials 16 04672 g006
Figure 7. Differences in the Raman spectra of the glasses of compositions: (A) 15 and 24; (B) 45.
Figure 7. Differences in the Raman spectra of the glasses of compositions: (A) 15 and 24; (B) 45.
Materials 16 04672 g007
Figure 8. The Raman spectra of the studied glasses containing Pr3+ ions. (A) composition 1; (B) composition 5; (C) the enlarged scale of the spectra in the region of the peak due to vibrations of S-S bonds ((1) is composition 2; (2) is composition 5).
Figure 8. The Raman spectra of the studied glasses containing Pr3+ ions. (A) composition 1; (B) composition 5; (C) the enlarged scale of the spectra in the region of the peak due to vibrations of S-S bonds ((1) is composition 2; (2) is composition 5).
Materials 16 04672 g008
Table 1. Composition and physicochemical properties of the glasses with the compositions 15. The refractive index is specified for a wavelength of 1.2 µm.
Table 1. Composition and physicochemical properties of the glasses with the compositions 15. The refractive index is specified for a wavelength of 1.2 µm.
No CompositionGaS1.5 (mol. %)GeS2
(mol. %)
SbS1.5
(mol. %)
d (g/cm3)nTg
(°C)
Tcr
(°C)
15.5929.4165.003.922.4258absent
214.7120.2965.003.852.5240absent
330.0141.3928.603.422.4312400
435.0348.3116.663.342.3354414
513.3170.0316.663.282.2346483
Table 2. Spectral position of the luminescence bands in the studied glasses upon excitation at 607 nm (3H4-1D2) and their identification.
Table 2. Spectral position of the luminescence bands in the studied glasses upon excitation at 607 nm (3H4-1D2) and their identification.
NoWavelength (μm)Energy (cm−1)Transition
10.83312,0051D2-3H6
20.86711,5341D2-3F2
30.911,111Nd3+ (4F3/2-4I9/2)
41.0199011D2-3F3
51.04196061D2-3F4 and 1G4-3H4
61.0819251Nd3+ (4F3/2-4I11/2)
71.33674851G4-3H5
Table 3. The Judd–Ofelt parameters for the glasses of compositions 15 containing Pr3+ ions.
Table 3. The Judd–Ofelt parameters for the glasses of compositions 15 containing Pr3+ ions.
No CompositionΩ2
(10−20 cm2)
Ω4
(10−20 cm2)
Ω6
(10−20 cm2)
Radiative Lifetime from 1G4 (ms)
19.775.345.380.304
28.135.394.780.287
310.042.365.670.330
49.734.455.690.361
512.622.956.660.385
Table 4. The calculated transition probabilities for the studied glasses of compositions 15.
Table 4. The calculated transition probabilities for the studied glasses of compositions 15.
TransitionTransition Probabilities (s−1)
12345
1G4-3F4117.2124.6106.698.491.4
1G4-3F317.918.817.815.615.1
1G4-3F216.719.110.412.79.0
1G4-3H61110.51168.0975.9909.4855.8
1G4-3H51804.51917.21709.11545.11449.7
1G4-3H4224.4240.2208.8191.6176.6
Disclaimer/Publisher’s Note: The statements, opinions and data contained in all publications are solely those of the individual author(s) and contributor(s) and not of MDPI and/or the editor(s). MDPI and/or the editor(s) disclaim responsibility for any injury to people or property resulting from any ideas, methods, instructions or products referred to in the content.

Share and Cite

MDPI and ACS Style

Tverjanovich, A.; Tveryanovich, Y.S.; Shahbazova, C. Structure and Luminescent Properties of Glasses in the GeS2-Ga2S3-Sb2S3:Pr3+ System. Materials 2023, 16, 4672. https://doi.org/10.3390/ma16134672

AMA Style

Tverjanovich A, Tveryanovich YS, Shahbazova C. Structure and Luminescent Properties of Glasses in the GeS2-Ga2S3-Sb2S3:Pr3+ System. Materials. 2023; 16(13):4672. https://doi.org/10.3390/ma16134672

Chicago/Turabian Style

Tverjanovich, Andrey, Yurii S. Tveryanovich, and Christina Shahbazova. 2023. "Structure and Luminescent Properties of Glasses in the GeS2-Ga2S3-Sb2S3:Pr3+ System" Materials 16, no. 13: 4672. https://doi.org/10.3390/ma16134672

APA Style

Tverjanovich, A., Tveryanovich, Y. S., & Shahbazova, C. (2023). Structure and Luminescent Properties of Glasses in the GeS2-Ga2S3-Sb2S3:Pr3+ System. Materials, 16(13), 4672. https://doi.org/10.3390/ma16134672

Note that from the first issue of 2016, this journal uses article numbers instead of page numbers. See further details here.

Article Metrics

Back to TopTop