Quality of Fine Yarns from Modacrylic/Polyacrylate/Lyocell Blends Intended for Affordable Flame-Resistant Underwear
Abstract
1. Introduction
| Target Group | Use | Fibres for Underwear |
|---|---|---|
| consumers | usually | cotton/elastane, 100% cotton [20] |
| less often | polyester, polyamide 6.6, polypropylene [21] wool, bamboo viscose, cellulose modal [22] | |
| firefighters, soldiers, police officers | usually | cotton/elastane, polyester [12] |
| less often | 100% meta-aramid [23], blends of meta-aramid with viscose FR or cotton [24], blends of modacrylic with cotton [25,26] or lyocell [27,28] or lyocell/polyamide [29], 100% polyamide-imide, blends of polyamide-imide with viscose FR, wool/viscose FR [30,31], polyoxazole/CO/PES [32], wool/elastane/antistatic fibre [33], chloro fibre/viscose FR/cotton/polyamide [24] | |
| racecar drivers and their crews | usually | 100% meta-aramid [23,34] |
| less often | 100% wool, 100% polyamide-imide, wool/modacrylic [35] |
| Fibre | Trademark | LOI 1 (%) | Tdecomp in air 2 (°C) | Tenacity (cN/dtex) | Density (g/cm3) | Moisture Regain (%) | Reference |
|---|---|---|---|---|---|---|---|
| meta-aramid | Nomex | 28 | 427 | 2.3–4.4 | 1.37–1.38 | 4–8.3 | [36] |
| modacrylic | Protex | 26–33 | 247–277 | 1.6–2.2 | 1.35–1.37 | 0.4–4.0 | [37] |
| polyoxazole | Arselon | 30 | 465 | >2.8 | 1.43 | 10–12 | [14,38] |
| polyamide-imide | Kermel | 30 | 200/380 | 4–4.4 | 1.34 | 4 | [33] |
| polybenzimidazole | PBI | 41 | 450 | 2.4 | 1.43 | 15.0 | [1] |
| OPAN 3 | Panox | >45 | 310 | 1.6 | 1.39 | 10.0 | [39] |
2. Materials and Methods
2.1. Sample Preparation
2.2. Testing of Fibres
2.3. Testing of Yarns
2.4. Testing of Knitted Fabrics
2.5. Hypothesis Testing
3. Results and Discussion
3.1. Fibres
3.2. Yarns
- the number of thin places was the highest in the compact yarns, making these two yarns more prone to tearing than the other yarns.
- the number of neps was significantly higher in yarns with MAC 1.0 fibres than in yarns with MAC 1.7. It was statistically demonstrated that the linear density of MAC fibres has an influence on the unevenness of the yarns, i.e., on the number of neps in the yarn. Neps occurred most frequently during carding, namely between the carding drum and the caps, when the caps are too close to the carding drum. The neps in the yarn mainly affect the aesthetic appearance of the knitted fabric.
3.3. Moisture Regain and Water Sorption
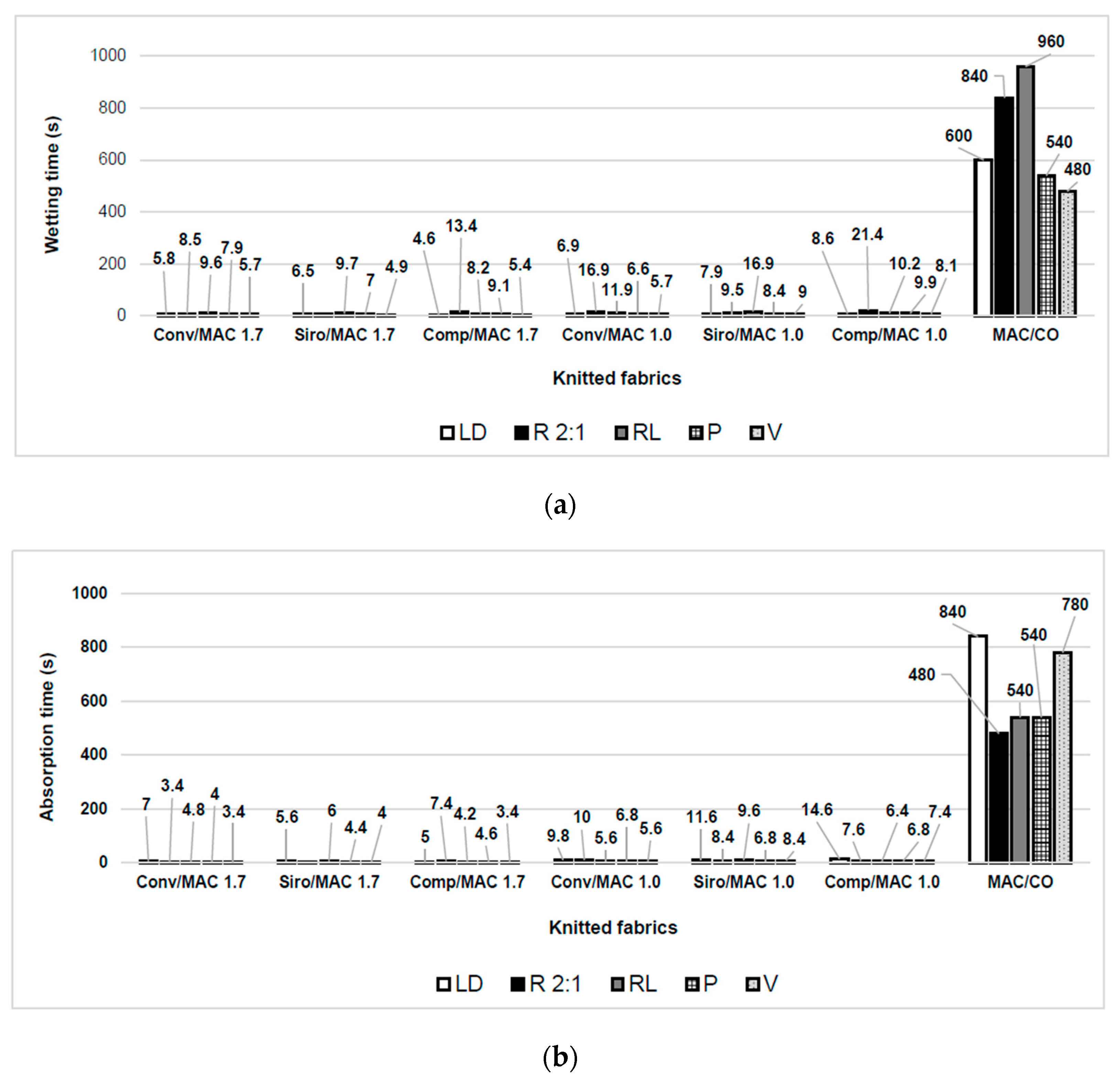
3.4. Wetting Time and Absorption Time
3.5. Thermal Properties and Burning Behaviour
4. Conclusions
Author Contributions
Funding
Institutional Review Board Statement
Informed Consent Statement
Data Availability Statement
Conflicts of Interest
References
- Horrocks, A.; Eichhorn, H.; Schwaenke, H.; Saville, N.; Thomas, C. Thermally Resistant Fibres. In High-Performance Fibres; CRC Press: Boca Raton, FL, USA, 2001. [Google Scholar] [CrossRef]
- Thermal Protective Clothing for Firefighters; Song, G., Mandal, S., Rossi, R.M., Eds.; Elsevier: Amsterdam, The Netherlands, 2017. [Google Scholar] [CrossRef]
- Yang, C.Q.; Yang, H. The Flame Retardant Nomex/Cotton, Nylon/Cotton and Polyester/Cotton Blend Fabrics for Protective Clothing. In Advances in Modern Woven Fabrics Technology; InTech: Alsip, IL, USA, 2011. [Google Scholar] [CrossRef]
- Cimilli Duru, S.; Candan, C.; Uygun Nergis, B. Innovation in the Comfort of Intimate Apparel. In Textile Manufacturing Processes; IntechOpen: London, UK, 2019. [Google Scholar] [CrossRef]
- Suganthi, T.; Senthilkumar, P. Moisture-Management Properties of Bi-Layer Knitted Fabrics for Sportswear. J. Ind. Text. 2018, 47, 1447–1463. [Google Scholar] [CrossRef]
- Wang, F.; Annaheim, S.; Morrissey, M.; Rossi, R.M. Real Evaporative Cooling Efficiency of One-Layer Tight-Fitting Sportswear in a Hot Environment. Scand. J. Med. Sci. Sports 2014, 24, e129–e139. [Google Scholar] [CrossRef]
- Keiser, C. Steam Burns Moisture Management in Firefighter Protective Clothing. Ph.D. Dissertation, ETH Zürich, Zurich, Switzerland, 2007. [Google Scholar]
- Cheng, P.; Chen, D.; Wang, J. Study on the Influence of Underwear on Local Thermal and Moisture Comfort of Human Body. Therm. Sci. 2021, 25 Pt A, 2589–2608. [Google Scholar] [CrossRef]
- Petrilli, T.; Ackerman, M. Tests of Undergarments Exposed to Fire. Available online: https://www.fs.usda.gov/t-d/pubs/htmlpubs/htm08512348/index.htm (accessed on 26 February 2023).
- Harrocks, A. Flame-Retardant Finishing of Textiles. Rev. Prog. Color. 1986, 16, 62–101. [Google Scholar] [CrossRef]
- Schmid, M.; Annaheim, S.; Camenzind, M.; Rossi, R.M. Determination of Critical Heat Transfer for the Prediction of Materials Damages during a Flame Engulfment Test. Fire Mater. 2016, 40, 1036–1046. [Google Scholar] [CrossRef]
- Avsec, R.P. Best Undergarments to Protect Firefighter from Burns. Available online: https://www.firerescue1.com/fire-products/personal-protective-equipment-ppe/articles/best-undergarments-to-protect-firefighter-from-burns-lVlzkxVjEFn7kAlu/ (accessed on 26 February 2023).
- Polybenzimidazole Fiber (PBI). In Encyclopedic Dictionary of Polymers; Springer: New York, NY, USA, 2007; p. 740. [CrossRef]
- Ryklin, D.B.; Medvetski, S.S. Study of Properties of Arselon Spun Yarn. IOP Conf. Ser. Mater. Sci. Eng. 2018, 459, 012022. [Google Scholar] [CrossRef]
- Ryklin, D.; Kvetkovsky, D.; Zhuk, D.; Dzmitrakovich, M.; Sheremet, T. Influence of Arselon Knitted Fabric Structure on Its Properties. In AIP Conference Proceedings; 2022; Volume 2430, p. 030003. Available online: https://pubs.aip.org/aip/acp/article-abstract/2430/1/030003/2822486/Influence-of-Arselon-knitted-fabric-structure-on?redirectedFrom=fulltext (accessed on 26 February 2023). [CrossRef]
- Glombikova, V.; Komarkova, P. The Efficiency of Non-Flammable Functional Underwear. Autex Res. J. 2014, 14, 174–178. [Google Scholar] [CrossRef]
- Heat Resistance Flame Retardant Modacrylic Fiber. Available online: https://www.alibaba.com/product-detail/Heat-Resistance-Flame-Retardant-Modacrylic-Fiber_62182317916.html?spm=a2700.7724857.0.0.3cd8930fM8jSwQ&s=p (accessed on 11 March 2023).
- 100% Nomex 2d 51mm Meta Aramid Fiber 1313 Fibre for Spinning Yarn. Available online: https://www.alibaba.com/product-detail/100-Nomex-2d-51mm-Meta-Aramid_1600438332839.html?spm=a2700.galleryofferlist.normal_offer.d_title.4e38ee97kK00Hs&s=p (accessed on 11 March 2023).
- TenCate. Most Popular Sustainable Fabrics in Workwear and PPE. Available online: https://www.textiletechnology.net/technical-textiles/news/tencate-most-popular-sustainable-fabrics-in-workwear-and-ppe-31688 (accessed on 17 March 2023).
- Jain, S.A. Different Types of Fabric for Underwear and Lingerie. Textile Learner. Available online: https://textilelearner.net/different-types-of-fabric-for-underwear-and-lingerie/ (accessed on 26 February 2023).
- Biotex Underwer Innovator. Action Wear for Sport and Leisure. Available online: https://www.biotex.it/images/catalogo/Catalogo-BIOTEX.pdf (accessed on 3 March 2023).
- Underwear in Merino Wool, Silk, Bamboo, Modal, Cotton. Available online: https://www.esprit-nordique.fr/en/30-underwear-in-merino-wool-silk-bamboo-modal-cotton (accessed on 26 February 2023).
- Winding Road. Underwear. Available online: https://store.windingroad.com/drivers/underwear (accessed on 3 March 2023).
- CleverTex. Roland—T-Shirt Long Sleeve. Available online: https://www.clevertex.cz/en/frwear/roland-t-shirt-long-sleeve-detail-43 (accessed on 20 March 2023).
- Men’s Anti-Fire, Flame Retardant, Antistatic Underwear. Available online: https://www.grand-froid.fr/en/390-men-s-anti-fire-flame-retardant-antistatic-underwear.html (accessed on 11 March 2023).
- Tranemo. Flame Retardand Underwear. Available online: https://www.tranemoworkwear.co.uk/underwear-fr.html (accessed on 16 March 2023).
- Inherent FR Fabrics. Available online: https://apac.tencatefabrics.com/tecasafe-ecogreen (accessed on 11 March 2023).
- Outfitters, W. Mens Lightweight FR Short Sleeve T-Shirt. Available online: https://www.bulwark.com/mens-lightweight-fr-short-sleeve-t-shirt/SMT6-5.0.html?dwvar_SMT6-5.0_color=khaki&cgid=base-layer (accessed on 20 March 2023).
- America, S.S. DRIFIRE FR Lightweight Base Layer 5.4 Ounce Desert Sand Long Sleeve Tee 446LS-DS. Available online: https://www.safetysupplyamerica.com/product/6786/drifire-fr-lightweight-base-layer-54-ounce-desert-sand-long-sleeve-tee-446ls-ds (accessed on 24 March 2023).
- Mammothworkwear—Flame Retardant Underwear & Fireproof Underwear. Available online: https://mammothworkwear.com/flame-retardant-underwear/ (accessed on 3 March 2023).
- KERMEL Fibre for Fire Fighters’ Protective Clothing. Available online: https://www.interschutz.de/apollo/interschutz_2022/obs/Binary/A1153733/1153733_03218517.pdf (accessed on 3 March 2023).
- Outfitters, W. iQ Series Comfort Knit Mens FR Long Sleeve T-Shirt. Available online: https://www.bulwark.com/iq-series-comfort-knit-mens-fr-long-sleeve-t-shirt/QT32.html?dwvar_QT32_color=blue&cgid=base-layer (accessed on 20 March 2023).
- Shiels, B.P.; Blend of Lyocell and Flame Resistant Fibers for Protective Garments. Wo 2010/135214. Available online: https://patents.google.com/patent/WO2010135214A1/de (accessed on 11 March 2023).
- PitStopUSA. Underwear. Available online: https://pitstopusa.com/c-131725-safety-equipment-underwear.html (accessed on 3 March 2023).
- Hursa Šajatović, A.; Flinčec Grgac, S.; Zavec, D. Investigation of Flammability of Protective Clothing System for Firefighters. Materials 2022, 15, 2384. [Google Scholar] [CrossRef]
- Technical Information. Technical Guide for NOMEX Brand Fiber. Available online: http://www.nakedwhiz.com/gasketsafety/nomextechnicalguide.pdf (accessed on 3 March 2023).
- Kaneka. Protex Modacrylic Fiber. Available online: https://protexfiber.com/wp-content/uploads/2020/05/2020_Protex-fiber-information_English.pdf (accessed on 3 March 2023).
- Perepelkin, K.E.; Malan’ina, O.B.; Basok, O.M.; Makarova, R.A.; Oprits, Z.G. Thermal Degradation of Thermostable Aromatic Fibres in Air and Nitrogen Medium. Fibre Chem. 2005, 37, 196–198. [Google Scholar] [CrossRef]
- Carbon, S. Material Data of Our PANOX® Crimped Staple Fibers. Available online: https://pdf.aeroexpo.online/pdf/sgl-carbon-technic-sas/panox/187239-17411.html (accessed on 12 March 2023).
- Salvio, G.; Gonzato, C.; Tedesco, R.; Marti, J.B. Process for the Production of Fireproof Polyacrylate Fibre with a Low Emission of Toxic Fumes, Uniformly Dyed, and Acrylic Fibres Thus Obtained. WO2008128660A8, 30 June 2008. [Google Scholar]
- Alongi, J.; Fogagnolo, M.; Fogagnolo, D.; Camino, G. Polyacrylate-Based Flameproof Fibres Modified through the Application of Nanotechnologies and Procedure for Their Production. WO2013114159A1, 8 August 2013. [Google Scholar]
- Shiraishi, A.; Ueno, M.; Ishiyama, Y. Fluorescent Whitened Highly Cross-Linked Polyacrylate Fiber, Manufacturing Method Therefor, and Fiber Structure Comprising Same. WO/2014/162898, 9 October 2014. [Google Scholar]
- TECSTAR Fiber. Available online: http://www.centuryproas.com/en/technical-data/tecstar-fiber.html (accessed on 3 March 2023).
- Grupo ADI. Tecstar Flame Retardant Fiber. Available online: https://www.adigrupo.com/en/chemical-products/textile/tecstar-fibra-ignifuga/ (accessed on 3 March 2023).
- Metis Fibre. Available online: http://www.colan.com.au/thermalprotective/product-development/metis-fibre/ (accessed on 3 March 2023).
- PyroTex Industries GmbH. PyroTex. The Fiber. Available online: https://pyro-tex.de/applications/the-fiber/ (accessed on 3 March 2023).
- Toyobo, U.S.A. Inc.Request for Designation of New Generic Fiber Name “Polyacrylate”. Available online: https://www.ftc.gov/system/files/documents/public_statements/639901/150107toyoborequest.pdf (accessed on 12 March 2023).
- European Commission. Commission Delegated Regulation (EU) 2018/122 of 20 October 2017. Off. J. Eur. Union. Available online: https://eur-lex.europa.eu/legal-content/EN/TXT/?uri=CELEX%3A32018R0122&qid=1677319128806 (accessed on 3 March 2023).
- ISO 1833-21; Textiles—Quantitative Chemical Analysis—Part 21: Mixtures of Chlorofibres, Certain Modacrylics, Certain Elastanes, Acetates, Triacetates with Certain Other Fibres (Method Using Cyclohexanone). Available online: https://www.iso.org/standard/40907.html (accessed on 3 March 2023).
- Mills, P.Y.; Schmitt, T.E.; Patrick, G. Flame and Heat Resistant Yarns and Fabrics. US 2015/0159304 A1, 11 June 2013. [Google Scholar]
- Nayak, R.; Kanesalingam, S.; Houshyar, S.; Wang, L.; Padhye, R.; Vijayan, A. Evaluation of Thermal, Moisture Management and Sensorial Comfort Properties of Superabsorbent Polyacrylate Fabrics for the next-to-Skin Layer in Firefighters’ Protective Clothing. Text. Res. J. 2018, 88, 1077–1088. [Google Scholar] [CrossRef]
- Cook, J.G. Handbook of Textile Fibres; Volume I—Natural Fibres, Reprinted; Woodhead Publishing: Cambridge, UK, 2001. [Google Scholar]
- Militký, J. Textilni Vlakna. Klasicka a Specialníi. 1.; Technicka Univerzita v Liberci: Liberec, Czech Republic, 2012. [Google Scholar]
- White, P. Lyocell: The Production Process and Market Development. In Regenerated Cellulose Fibres; Elsevier: Amsterdam, The Netherlands, 2001; pp. 62–87. [Google Scholar] [CrossRef]
- Martina, O.; Gabriele, S.; Verena, S. Lyocell Fiber with Novel Cross Section. EP 3536831 A1, 11 September 2019. [Google Scholar]
- Lal Regar, M.; Islam Amjad, A.; Joshi, S. Effect of Solvent Treatment on Siro and Ring Spun TFO Polyester Yarn. Tekstilec 2021, 64, 47–54. [Google Scholar] [CrossRef]
- Nikolić, M.; Lesjak, F.; Štritof, A. The Future of Ring Spinning. Tekstilec 2000, 43, 188–195. [Google Scholar]
- Shahid, M.A.; Hossain, M.D.; Nakib-Ul-Hasan, M.; Islam, M.A. Comparative Study of Ring and Compact Yarn-Based Knitted Fabric. Procedia Eng. 2014, 90, 154–159. [Google Scholar] [CrossRef]
- Srinivasan, J. Engineering Finer and Softer Textile Yarns. In Technical Textile Yarns; Das, R.A., Ed.; Elsevier: Amsterdam, The Netherlands, 2010; pp. 185–214. [Google Scholar] [CrossRef]
- Gong, R.H. Specialist Yarn and Fabric Structures; Woodhead Publishing Limited: Cambridge, UK, 2011. [Google Scholar] [CrossRef]
- Soltani, P.; Shahrabi, J.; Asadi, S.; Hadavandi, E.; Johari, M.S. A Study on Siro, Solo, Compact, and Conventional Ring-Spun Yarns. Part III: Modeling Fiber Migration Using Modular Adaptive Neuro-Fuzzy Inference System. J. Text. Inst. 2013, 104, 755–765. [Google Scholar] [CrossRef]
- An, S.K.; Gam, H.J.; Cao, H. Evaluating Thermal and Sensorial Performance of Organic Cotton, Bamboo-Blended, and Soybean-Blended Fabrics. Cloth. Text. Res. J. 2013, 31, 157–166. [Google Scholar] [CrossRef]
- Petrusic, S.; Onofrei, E.; Bedek, G.; Codau, C.; Dupont, D.; Soulat, D. Moisture Management of Underwear Fabrics and Linings of Firefighter Protective Clothing Assemblies. J. Text. Inst. 2015, 106, 1270–1281. [Google Scholar] [CrossRef]
- Nawaz, N.; Troynikov, O.; Watson, C. Evaluation of Surface Characteristics of Fabrics Suitable for Skin Layer of Firefighters’ Protective Clothing. Phys. Procedia 2011, 22, 478–486. [Google Scholar] [CrossRef]
- Molnar, K. DSC Study of Polyacrylonitrile Nano- and Microfibers. Available online: https://www.researchgate.net/publication/289286368_DSC_study_of_polyacrylonitrile_nano-_and_microfibers (accessed on 12 March 2023).
- ImageJ. Version 1.52a. National Institutes of Health, USA. 2023. Available online: https://imagej.nih.gov/ij (accessed on 30 January 2023).
- ISO 1973; Textile Fibres—Determination of Linear Density—Gravimetric Method and Vibroscope Method. Available online: https://www.iso.org/standard/80023.html (accessed on 20 December 2022).
- ISO 6989; Textile Fibres—Determination of Length and Length Distribution of Staple Fibres (by Measurement of Single Fibres). ISO/TC 38/SC 23 Fibres and Yarns. Available online: https://www.iso.org/standard/13551.html (accessed on 20 December 2022).
- ISO 5079; Textile Fibres—Determination of Breaking Force and Elongation at Break of Individual Fibres. ISO/TC 38/SC 23 Fibres and Yarns. Available online: https://www.iso.org/standard/76604.html (accessed on 20 December 2022).
- EN ISO 2060; Textiles—Yarn from Packages—Determination of Linear Density (Mass per Unit Length) by the Skein Method. ISO/TC 38/SC 23 Fibres and Yarns. Available online: https://www.iso.org/standard/6837.html (accessed on 20 December 2022).
- ISO 6939; Textiles—Yarns from Packages—Method of Test for Breaking Strength of Yarn by the Skein Method. 1988. Available online: https://www.iso.org/standard/13478.html (accessed on 20 December 2022).
- ISO/TR 6741-4; Textiles—Fibres and Yarns—Determination of Commercial Mass of Consignments—Part 4: Values Used for the Commercial Allowances and the Commercial Moisture Regains. ISO/TC 38/SC 23 Fibres and Yarns. 1987; p. 6. Available online: https://www.iso.org/standard/13202.html (accessed on 20 December 2022).
- DIN 53814; Testing of Textiles; Determination of Water Retention Power of Fibres and Yarn Cuttings. Deutsches Institut fur Normung E.V. (DIN). 1974; p. 3. Available online: https://global.ihs.com/doc_detail.cfm?document_name=DIN%2053814&item_s_key=00336368 (accessed on 20 December 2022).
- Pavko-Čuden, A.; Elesini, U.S. Elastane Addition Impact on Structural and Transfer Properties of Viscose and Polyacrylonitrile Knits. Acta Chim. Slov. 2010, 57, 957–962. [Google Scholar]
- Sampath, M.B.; Senthilkumar, M. Effect of Moisture Management Finish on Comfort Characteristics of Microdenier Polyester Knitted Fabrics. J. Ind. Text. 2009, 39, 163–173. [Google Scholar] [CrossRef]
- Evaluation of Wettability. AATCC Technical Manual; American Association of Textile Chemists and Colorists: Durham, NC, USA, 1980.
- ISO 15025; Protective Clothing—Protection against Flame—Method of Test for Limited Flame Spread. ISO/TC 94/SC 13. 2016; p. 21. Available online: https://www.iso.org/standard/61739.html (accessed on 20 December 2022).
- EN 532; Protective Clothing-Protection against Heat and Flame-Test Method for Limited Flame Spread. European Committee for Standardization (CEN). 2002. Available online: https://standards.iteh.ai/catalog/standards/cen/83146734-9cd6-4e21-a911-2e756ac5fc64/en-532-1994 (accessed on 20 December 2022).
- DIN 53906:1974-02; Testing of Textiles—Determination of the Burning Behaviour—Vertically Method; Ignition by Application of Flame to Base of Specimen. DIN e. V.: Berlin, Germany, 1974; p. 6. Available online: https://www.beuth.de/de/norm/din-53906/11617607 (accessed on 20 December 2022).
- StatPoint, I. Statgraphics Centurion XV. Statgraphics Technologies, Inc. 2008. Available online: https://www.statgraphics.com/ (accessed on 30 January 2023).
- Ramos-Fernández, J.M.; Blasco, R.B.; Nicolás, S.F.; Sarrio, I.S.; Bernabeu, J.P. Inter-Laboratory Trial of Textile Fibres, Including Testing and Related Services for the Technical Analysis of “Polyacrylate” Fibre; Final Report; 2016; Available online: https://www.mercell.com/en/tender/48076962/inter-laboratory-trial-of-textile-fibres-including-testing-and-related-services-for-the-technical-analysis-of-polyacrylate-fibre-tender.aspx (accessed on 25 January 2023).
- Testex. All about Yarn Hairiness. Available online: https://www.testextextile.com/all-about-yarn-hairiness/ (accessed on 16 March 2023).
- Pavlović, Ž.; Lozo, M.; Iveković, G.; Vrljičak, Z. The Impact of Yarns Produced by Different Spinning Processes on Elongation Properties of Plain Double Knit Jersey Fabrics. In Proceedings of the 49th IFKT International Congress “Stepping into the future…”, Lodz, Poland, 2–4 October 2018; Mielicka, E., Ed.; Textile Research Institute: Łódź, Poland, 2018. [Google Scholar]
- Kopitar, D.; Pavlovic, Z.; Skenderi, Z.; Vrljicak, Z. Comparison of Double Jersey Knitted Fabrics Made of Regenerated Cellulose Conventional and Unconventional Yarns. Tekstilec 2022, 65, 25–35. [Google Scholar] [CrossRef]
- Gupta, B. Textile Fiber Morphology, Structure and Properties in Relation to Friction. Frict. Text. Mater. 2008, 3–36. [Google Scholar] [CrossRef]
- Bedek, G.; Salaün, F.; Martinkovska, Z.; Devaux, E.; Dupont, D. Evaluation of Thermal and Moisture Management Properties on Knitted Fabrics and Comparison with a Physiological Model in Warm Conditions. Appl. Ergon. 2011, 42, 792–800. [Google Scholar] [CrossRef]
- Kofler, P.; Herten, A.; Heinrich, D.; Bottoni, G.; Hasler, M.; Faulhaber, M.; Bechtold, T.; Nachbauer, W.; Burtscher, M. Viscose as an Alternative to Aramid in Workwear: Influence on Endurance Performance, Cooling, and Comfort. Text. Res. J. 2013, 83, 2085–2092. [Google Scholar] [CrossRef]
- Varga, K.; Noisternig, M.F.; Griesser, U.J.; Aljaž, L.; Koch, T. Thermal and Sorption Study of Flame-Resistant Fibers. Lenziger Ber. 2011, 89, 50–59. [Google Scholar]
- Jones, L.N.; Rivett, D.; Tucker, D.J. Wool and Related Mammalian Fibers. In Handbook of Fiber Chemistry; Lewin, M., Ed.; CRC Press: Boca Raton, FL, USA, 2002. [Google Scholar]
- Matusiak, M.; Kamińska, D. Liquid Moisture Transport in Cotton Woven Fabrics with Different Weft Yarns. Materials 2022, 15, 6489. [Google Scholar] [CrossRef] [PubMed]
- Carrillo, F.; Colom, X.; Suñol, J.; Saurina, J. Structural FTIR Analysis and Thermal Characterisation of Lyocell and Viscose-Type Fibres. Eur. Polym. J. 2004, 40, 2229–2234. [Google Scholar] [CrossRef]
- Stygienė, L.; Krauledas, S.; Abraitienė, A.; Varnaitė-Žuravliova, S.; Dubinskaitė, K. Flammability and Thermoregulation Properties of Knitted Fabrics as a Potential Candidate for Protective Undergarments. Materials 2022, 15, 2647. [Google Scholar] [CrossRef]
- Needles, H.L. Textile Fibers, Dyes, Finishes and Processes: A Concise Guide (Pollution Technology Review), 1st ed.; Noyes Publications: Norwich, NY, USA, 1987. [Google Scholar]









| Fibre | Linear Density (dtex) | Tenacity (cN/tex) | LOI (%) | Moisture Regain (%) | Supplier |
|---|---|---|---|---|---|
| MAC 1.7 | 1.7 | 29.2 | 32.5 | 3–3.5 | Formosa Plastics Corp. |
| MAC 1.0 | 1.0 | 29.2 | 32.5 | 3–3.5 | Formosa Plastics Corp. |
| PAC | 2.5 | 14–20 | 42 | 11 | Technical Fibres Tecstar S.L. |
| CLY | 1.25 | >34 | <20 | 8–14 | Lenzing AG |
| Fibre Blend | Fibre Component 1 | Fibre Component 2 | Fibre Component 3 | |||
|---|---|---|---|---|---|---|
| Type | Content (%) | Type | Content (%) | Type | Content (%) | |
| MAC 1.7/PAC/CLY | MAC 1.7 | 55 | PAC | 15 | CLY | 30 |
| MAC 1.0/PAC/CLY | MAC 1.0 | 55 | PAC | 15 | CLY | 30 |
| Yarn | Roving | Spinning Process | Spinning Machine | Ring Diameter (mm) | Linear Density (tex) | Twist (m−1) |
|---|---|---|---|---|---|---|
| Conv/MAC 1.7 | MAC 1.7/PAC/CLY | Conventional | Zinser RM350 | 40 | 14.7 | 1000 |
| Comp/MAC 1.7 | MAC 1.7/PAC/CLY | Compact | Zinser RM351 | 40 | 14.7 | 1000 |
| Siro/MAC 1.7 | MAC 1.7/PAC/CLY | Sirospun | Zinser RM350 | 45 | 14.7 | 1100 |
| Conv/MAC 1.0 | MAC 1.0/PAC/CLY | Conventional | Zinser RM350 | 40 | 14.7 | 1000 |
| Comp/MAC 1.0 | MAC 1.0/PAC/CLY | Compact | Zinser RM351 | 40 | 14.7 | 1000 |
| Siro/MAC 1.0 | MAC 1.0/PAC/CLY | Sirospun | Zinser RM350 | 45 | 14.7 | 1100 |
| Knitted Fabric 1 | Yarn | Fibre Blend |
|---|---|---|
| Knit/Conv/MAC 1.7 | Conv/MAC 1.7 | MAC 1.7/PAC/CLY |
| Knit/Comp/MAC 1.7 | Comp/MAC 1.7 | MAC 1.7/PAC/CLY |
| Knit/Siro/MAC 1.7 | Siro/MAC 1.7 | MAC 1.7/PAC/CLY |
| Knit/Conv/MAC 1.0 | Conv/MAC 1.0 | MAC 1.0/PAC/CLY |
| Knit/Comp/MAC 1.0 | Comp/MAC 1.0 | MAC 1.0/PAC/CLY |
| Knit/Siro/MAC 1.0 | Siro/MAC 1.0 | MAC 1.0/PAC/CLY |
| Knit/MAC 1.5/CO | Conventional ring spinning | 65% MAC 1.5 dtex/35% cotton LS |
| Fibre | Length (mm) | Diameter (μm) | Linear Density (dtex) | Breaking Force (cN) | Tenacity (cN/dtex) | Breaking Elongation (%) | Young Modulus (MPa) |
|---|---|---|---|---|---|---|---|
| MAC 1.7 | 36.5 | 9.0 | 1.71 ± 0.04 | 5.42 ± 0.22 | 3.17 | 35.92 ± 0.44 | 217.5 ± 8.59 |
| MAC 1.0 | 35.4 | 10.4 | 1.05 ± 0.02 | 3.29 ± 0.12 | 3.13 | 36.10 ± 0.70 | 104.5 ± 8.92 |
| PAC | 49.7 | 10.1 | 2.54 ± 0.06 | 2.89 ± 0.05 | 1.14 | 27.68 ± 1.75 | 76.2 ± 2.52 |
| CLY | 35.9 | 13.6 | 1.45 ± 0.03 | 5.51 ± 0.23 | 3.80 | 11.69 ± 0.30 | 488 ± 26.09 |
| Yarn | Um 1 (%) | CVm 2 (%) | Thin Places 3 (km−1) | Thick Places 4 (km−1) | Neps 5 (km−1) | Hairiness |
|---|---|---|---|---|---|---|
| Conv/MAC 1.7 | 11.8 ± 0.08 | 15.00 ± 0.13 | 12 ± 4.77 | 106 ± 9.14 | 77 ± 10.44 | 4.43 ± 0.06 |
| Comp/MAC 1.7 | 12.80 ± 0.47 | 16.28 ± 0.61 | 62 ± 29.90 | 229 ± 79.43 | 136 ± 33.20 | 4.14 ± 0.05 |
| Siro/MAC 1.7 | 12.15 ± 0.09 | 15.39 ± 0.12 | 31 ± 6.60 | 131 ± 9.54 | 82 ± 9.30 | 4.26 ± 0.03 |
| Conv/MAC 1.0 | 12.43 ± 0.03 | 15.85 ± 0.13 | 18 ± 5.38 | 229 ± 6.96 | 265 ± 27.62 | 4.37 ± 0.05 |
| Comp/MAC 1.0 | 13.14 ± 0.21 | 17.01 ± 0.32 | 43 ± 14.88 | 425 ± 39.94 | 466 ± 61.76 | 4.36 ± 0.10 |
| Siro/MAC 1.0 | 12.17 ± 0.07 | 15.53 ± 0.10 | 10 ± 5.70 | 187 ± 14.88 | 171 ± 10.89 | 4.36 ± 0.05 |
| Yarn | Linear Density (tex) | Twist Multiplier | Breaking Force (cN) | Tenacity (cN/tex) | Breaking Elongation (%) | Young Modulus (MPa) |
|---|---|---|---|---|---|---|
| Conv/MAC 1.7 | 14.64 ± 0.07 | 3826.2 | 133.49 ± 1.68 | 9.12 | 6.38 ± 0.12 | 2.50 |
| Siro/MAC 1.7 | 14.58 ± 0.04 | 3818.4 | 126.88 ± 1.78 | 8.70 | 6.265 ± 0.13 | 2.25 |
| Comp/MAC 1.7 | 14.44 ± 0.11 | 3800.0 | 143.07 ± 2.14 | 9.90 | 6.87 ± 0.10 | 2.38 |
| Conv/MAC 1.0 | 14.87 ± 0.03 | 3856.2 | 154.26 ± 2.33 | 10.37 | 7.71 ± 0.13 | 1.92 |
| Siro/MAC 1.0 | 14.60 ± 0.08 | 3821.0 | 113.24 ± 2.02 | 7.76 | 5.54 ± 0.13 | 2.34 |
| Comp/MAC 1.0 | 14.70 ± 0.06 | 3834.1 | 165.27 ± 2.79 | 11.24 | 6.70 ± 0.145 | 2.20 |
| Fibre | Near a Flame | In a Flame | After Removal from a Flame | Residue | Smell |
|---|---|---|---|---|---|
| PAC | No changes | Burn | Extinguished | Slightly charred the remnant, which quickly disintegrated | Unpleasant smell of plastic |
| CLY | No changes | Burn | Burn completely | Ash | Smell of burnt paper |
| MAC | Shrinkage | Burn | Extinguished | A hard black charred residue that does not disintegrate | Unpleasant smell of plastic |
Disclaimer/Publisher’s Note: The statements, opinions and data contained in all publications are solely those of the individual author(s) and contributor(s) and not of MDPI and/or the editor(s). MDPI and/or the editor(s) disclaim responsibility for any injury to people or property resulting from any ideas, methods, instructions or products referred to in the content. |
© 2023 by the authors. Licensee MDPI, Basel, Switzerland. This article is an open access article distributed under the terms and conditions of the Creative Commons Attribution (CC BY) license (https://creativecommons.org/licenses/by/4.0/).
Share and Cite
Rijavec, T.; Leskovšek, M.; Sukič, N.; Rajar, B.; Pavko Čuden, A. Quality of Fine Yarns from Modacrylic/Polyacrylate/Lyocell Blends Intended for Affordable Flame-Resistant Underwear. Materials 2023, 16, 4386. https://doi.org/10.3390/ma16124386
Rijavec T, Leskovšek M, Sukič N, Rajar B, Pavko Čuden A. Quality of Fine Yarns from Modacrylic/Polyacrylate/Lyocell Blends Intended for Affordable Flame-Resistant Underwear. Materials. 2023; 16(12):4386. https://doi.org/10.3390/ma16124386
Chicago/Turabian StyleRijavec, Tatjana, Mirjam Leskovšek, Neža Sukič, Barbara Rajar, and Alenka Pavko Čuden. 2023. "Quality of Fine Yarns from Modacrylic/Polyacrylate/Lyocell Blends Intended for Affordable Flame-Resistant Underwear" Materials 16, no. 12: 4386. https://doi.org/10.3390/ma16124386
APA StyleRijavec, T., Leskovšek, M., Sukič, N., Rajar, B., & Pavko Čuden, A. (2023). Quality of Fine Yarns from Modacrylic/Polyacrylate/Lyocell Blends Intended for Affordable Flame-Resistant Underwear. Materials, 16(12), 4386. https://doi.org/10.3390/ma16124386

