Potassium Ferrite for Biomedical Applications
Abstract
1. Introduction
2. Materials and Methods
2.1. Potassium Ferrite Powder Preparation
2.2. Structural and Morphological Characterization
2.3. Cytotoxicity Analysis
2.4. Magnetic Characterization
3. Results and Discussion
3.1. Thermal and Structural Analysis
3.2. Morphological Analysis
3.3. Biological Analysis
3.4. Magnetic Analysis
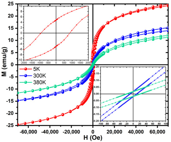
3.4.1. VSM
3.4.2. SQUID
3.4.3. MHT
4. Conclusions
Author Contributions
Funding
Data Availability Statement
Acknowledgments
Conflicts of Interest
References
- Mahmoudi, K.; Bouras, A.; Bozec, D.; Ivkov, R.; Hadjipanayis, C. Magnetic hyperthermia therapy for the treatment of glioblastoma: A review of the therapy’s history, efficacy and application in humans. Int. J. Hyperth. 2018, 34, 1316–1328. [Google Scholar] [CrossRef]
 - Kumar, P.; Burman, U.; Kaul, R.K. Ecological Risks of Nanoparticles. In Nanomaterials in Plants, Algae, and Microorganisms; Elsevier: Amsterdam, The Netherlands, 2018; pp. 429–452. [Google Scholar] [CrossRef]
 - Hussain, M.I.; Xia, M.; Na Ren, X.; Akhtar, K.; Nawaz, A.; Sharma, S.K.; Javed, Y. Ferrite Nanoparticles for Biomedical Applications. In Magnetic Nanoheterostructures: Diagnostic, Imaging and Treatment; Springer: Cham, Switzerland, 2020; pp. 243–265. [Google Scholar] [CrossRef]
 - Bañobre-López, M.; Teijeiro, A.; Rivas, J. Magnetic nanoparticle-based hyperthermia for cancer treatment. Rep. Pract. Oncol. Radiother. 2013, 18, 397–400. [Google Scholar] [CrossRef]
 - Khanna, L.; Verma, N.K. Study on novel, superparamagnetic and biocompatible PEG/KFeO2 nanocomposite. J. Appl. Biomed. 2015, 13, 23–32. [Google Scholar] [CrossRef]
 - Khanna, L.; Verma, N. Synthesis, Characterization and Biocompatibility of Potassium Ferrite Nanoparticles. J. Mater. Sci. Technol. 2014, 30, 30–36. [Google Scholar] [CrossRef]
 - Moon, S.; Shim, I.; Kim, C. Crystallographic and Magnetic Properties of KFeO2. In Proceedings of the 2006 IEEE International Magnetics Conference (INTERMAG), San Diego, CA, USA, 8–12 May 2006; p. 991. [Google Scholar] [CrossRef]
 - Zhang, S.; Sun, J.; Gao, J.; Jiang, W.; Cheng, L.; Wang, H.; Lin, J.; Peng, C.; Wang, J. K+ extraction induced phase evolution of KFeO2. Phys. Chem. Chem. Phys. 2022, 24, 4620–4625. [Google Scholar] [CrossRef]
 - Tomkowicz, Z.; Szytuła, A. Crystal and magnetic structure of KFeO2. J. Phys. Chem. Solids 1977, 38, 1117–1123. [Google Scholar] [CrossRef]
 - Tangra, A.K.; Singh, G. Investigation of cytotoxicity of superparamagnetic KFeO2 nanoparticles on MCF-7 cell lines for biomedical applications. J. Mater. Sci. Mater. Electron. 2021, 32, 11232–11242. [Google Scholar] [CrossRef]
 - Anastas, P.; Eghbali, N. Green Chemistry: Principles and Practice. Chem. Soc. Rev. 2010, 39, 301–312. [Google Scholar] [CrossRef]
 - Graça, M.P.F.; Prezas, P.; Costa, M.M.; Valente, M. Structural and dielectric characterization of LiNbO3 nano-size powders obtained by Pechini method. J. Sol-Gel Sci. Tech. 2012, 64, 78–85. [Google Scholar] [CrossRef]
 - Lucas, J.M.F.; Teixeira, S.S.; Gavinho, S.R.; Prezas, P.R.; Silva, C.C.; Sales, A.J.M.; Valente, M.A.; Almeida, A.F.; Freire, F.N.; Salgueiro, C.C.M.; et al. Niobium oxide prepared by sol–gel using powder coconut water. J. Mat. Sci. Mater. Electron. 2019, 30, 11346–11353. [Google Scholar] [CrossRef]
 - de Paiva, J.; Graça, M.; Monteiro, J.; Macedo, M.; Valente, M. Spectroscopy studies of NiFe2O4 nanosized powders obtained using coconut water. J. Alloys Compds. 2009, 485, 637–641. [Google Scholar] [CrossRef]
 - Fortes, S.; Duque, J.; Macêdo, M. Nanocrystals of BaFe12O19 obtained by the proteic sol–gel process. Phys. B Condens. Matter 2006, 384, 88–90. [Google Scholar] [CrossRef]
 - Brito, P.; Gomes, R.; Duque, J.; Macêdo, M. SrFe12O19 prepared by the proteic sol–gel process. Phys. B Condens. Matter 2006, 384, 91–93. [Google Scholar] [CrossRef]
 - Benali, A.; Bejar, M.; Dhahri, E.; Sajieddine, M.; Graça, M.; Valente, M. Magnetic, Raman and Mössbauer properties of double-doping LaFeO3 perovskite oxides. Mat. Chem. Phys. 2015, 149–150, 467–472. [Google Scholar] [CrossRef]
 - Amorim, C.O.; Mohseni, F.; Dumas, R.K.; Amaral, V.S. A geometry-independent moment correction method for the MPMS3 SQUID-based magnetometer. Meas. Sci. Technol. 2021, 32, 105602. [Google Scholar] [CrossRef]
 - Teixeira, S.S.; Graça, M.P.F.; Lucas, J.; Valente, M.A.; Soares, P.I.P.; Lança, M.C.; Vieira, T.; Silva, J.C.; Borges, J.P.; Jinga, L.-I.; et al. Nanostructured LiFe5O8 by a Biogenic Method for Applications from Electronics to Medicine. Nanomaterials 2021, 11, 193. [Google Scholar] [CrossRef]
 - Toby, B.H. R factors in Rietveld analysis: How good is good enough? Powder Diffr. 2006, 21, 67–70. [Google Scholar] [CrossRef]
 - Devesa, S.; Rooney, A.; Graça, M.; Cooper, D.; Costa, L. Williamson-hall analysis in estimation of crystallite size and lattice strain in Bi1.34Fe0.66Nb1.34O6.35 prepared by the sol-gel method. Mater. Sci. Eng. B Solid State Mater. Adv. Technol. 2021, 263, 114830. [Google Scholar] [CrossRef]
 - Tangra, A.K.; Singh, S.; Sun, N.X.; Lotey, G.S. Investigation of structural, Raman and photoluminescence properties of novel material: KFeO2 nanoparticles. J. Alloys Compd. 2019, 778, 47–52. [Google Scholar] [CrossRef]
 - Ma, Y.; Yan, W.; Sun, Q.; Liu, X. Raman and infrared spectroscopic quantification of the carbonate concentration in K2CO3 aqueous solutions with water as an internal standard. Geosci. Front. 2021, 12, 1018–1030. [Google Scholar] [CrossRef]
 - De Faria, D.L.A.; Venâncio Silva, S.; De Oliveira, M.T. Raman microspectroscopy of some iron oxides and oxyhydroxides. J. Raman Spectrosc. 1997, 28, 873–878. [Google Scholar] [CrossRef]
 - Hui, B.H.; Salimi, M.N. Production of Iron Oxide Nanoparticles by Co-Precipitation method with Optimization Studies of Processing Temperature, pH and Stirring Rate. IOP Conf. Ser. Mater. Sci. Eng. 2020, 743, 012036. [Google Scholar] [CrossRef]
 - Rana, S.; Philip, J.; Raj, B. Micelle based synthesis of cobalt ferrite nanoparticles and its characterization using Fourier Transform Infrared Transmission Spectrometry and Thermogravimetry. Mater. Chem. Phys. 2010, 124, 264–269. [Google Scholar] [CrossRef]
 - Kargin, D.B.; Konyukhov, Y.V.; Biseken, A.B.; Lileev, A.S.; Karpenkov, D.Y. Structure, Morphology and Magnetic Properties of Hematite and Maghemite Nanopowders Produced from Rolling Mill Scale. Steel Transl. 2020, 50, 151–158. [Google Scholar] [CrossRef]
 - Han, S.C.; Park, W.B.; Sohn, K.-S.; Pyo, M. KFeO2 with corner-shared FeO4 frameworks as a new type of cathode material in potassium-ion batteries. J. Solid State Electrochem. 2019, 23, 3135–3143. [Google Scholar] [CrossRef]
 - Gavinho, S.R.; Pádua, A.S.; Sá-Nogueira, I.; Silva, J.C.; Borges, J.P.; Costa, L.C.; Graça, M.P.F. Biocompatibility, Bioactivity, and Antibacterial Behaviour of Cerium-Containing Bioglass®. Nanomaterials 2022, 12, 4479. [Google Scholar] [CrossRef]
 - Gavinho, S.R.; Prezas, P.R.; Graça, M.P.F. Synthesis, Structural and electrical properties of the 45S5 Bioglass®. In Electrical Measurements: Introduction, Concepts and Applications; Nova Science Publishers Inc.: Hauppauge, NY, USA, 2017; ISBN 978-1-53612-973-1. [Google Scholar]
 - Gavinho, S.R.; Prezas, P.R.; Ramos, D.J.; Sá-Nogueira, I.; Borges, J.P.; Lança, M.C.; Silva, J.C.; Henriques, C.M.R.; Pires, E.; Kumar, J.S.; et al. Nontoxic glasses: Preparation, structural, electrical and biological properties. Int. J. App. Ceram. Tech. 2019, 16, 1885–1894. [Google Scholar] [CrossRef]
 - Cao, D.; Li, H.; Pan, L.; Li, J.; Wang, X.; Jing, P.; Cheng, X.; Wang, W.; Wang, J.; Liu, Q. High saturation magnetization of γ-Fe2O3 nano-particles by a facile one-step synthesis approach. Sci. Rep. 2016, 6, 2. [Google Scholar] [CrossRef]
 - Haynes, W.M.; Lide, D.R.; Bruno, T.J. CRC Handbook of Chemistry and Physics; CRC Press: Boca Raton, FL, USA, 2016. [Google Scholar] [CrossRef]
 - Hergt, R.; Dutz, S.; Müller, R.; Zeisberger, M. Magnetic particle hyperthermia: Nanoparticle magnetism and materials development for cancer therapy. J. Phys. Condens. Matter 2006, 18, S2919–S2934. [Google Scholar] [CrossRef]
 









| Heat Treatment Temperature (°C) | Crystalline Phase and Composition (%) | 
|---|---|
| 350 |  (98.5%) (1.5%)  | 
| 500 |  (58.4%) (41.6%)  | 
| 800 |  (36.9%) (12.9%) (50.2%)  | 
| 1000 |  (55.1%) (44.9%)  | 
| 1000 2HT |  (83.3%) (16.7%)  | 
| 1300 |  (30%) (24%) (35%) (11%)  | 
| 350 °C | 500 °C | 800 °C | 1000 °C | 1000 °C 2HT | Attribution | |
|---|---|---|---|---|---|---|
| ) | 268 | 273 | ||||
| 395 | ||||||
| 508 | 509 | 508 | ||||
| 656 | 670 | 682 | 667 | 673 | , or | |
| 1021 | Not identified | |||||
| 1059 | 1056 | 1056 | 1058 | |||
| 1370 | 1351 | 1386 | 1373 | 1360 | or | |
| 1578 | 1596 | 
| HT Temp. (°C) | Vibration Modes (cm−1) | ||||||||||||||
|---|---|---|---|---|---|---|---|---|---|---|---|---|---|---|---|
| 1000 (2HT) | 3056 | 2930 | 2352 | 1620 | 1338 | 1052 | 980 | 828 | 700 | 548 | |||||
| 1000 | 3137 | 1442 | 1362 | 1059 | 878 | 842 | 769 | 618 | |||||||
| 800 | 3143 | 2356 | 1442 | 1351 | 1060 | 881 | 702 | 615 | 537 | ||||||
| 500 | 3119 | 2355 | 1650 | 1343 | 878 | 844 | 692 | 564 | |||||||
| 350 | 3205 | 2344 | 1591 | 1367 | 1004 | 830 | 767 | 700 | 562 | ||||||
| Atributtion | O-H [6]  |  atm. [25]  |  atm. [25]  | [26]  | C-O [23]  | Fe-K [6]  | Fe-K [6]  | C-O [23]  | Fe-O [6]  | [23]  | M-O [10]  | M-O [10]  | |||
| Heat Treatment (°C) | ΔT (°C); [0; 650] s  | SAR (W/g) | 
|---|---|---|
| 350 | 16.8 ± 1.01 | 24.2 ± 3.58 | 
| 500 | 18.0 ± 0.15 | 21.8 ± 4.29 | 
| 800 | 2.67 ± 0.68 | 2.65 ± 1.21 | 
| 1000 | 3.93 ± 0.29 | 5.76 ± 0.96 | 
| 1000 (2HT) | 1.97 ± 0.46 | 1.55 ± 0.06 | 
Disclaimer/Publisher’s Note: The statements, opinions and data contained in all publications are solely those of the individual author(s) and contributor(s) and not of MDPI and/or the editor(s). MDPI and/or the editor(s) disclaim responsibility for any injury to people or property resulting from any ideas, methods, instructions or products referred to in the content.  | 
© 2023 by the authors. Licensee MDPI, Basel, Switzerland. This article is an open access article distributed under the terms and conditions of the Creative Commons Attribution (CC BY) license (https://creativecommons.org/licenses/by/4.0/).
Share and Cite
Carvalho, J.P.F.; Vieira, T.; Silva, J.C.; Soares, P.I.P.; Ferreira, N.M.; Amorim, C.O.; Teixeira, S.S.; Graça, M.P.F. Potassium Ferrite for Biomedical Applications. Materials 2023, 16, 3880. https://doi.org/10.3390/ma16103880
Carvalho JPF, Vieira T, Silva JC, Soares PIP, Ferreira NM, Amorim CO, Teixeira SS, Graça MPF. Potassium Ferrite for Biomedical Applications. Materials. 2023; 16(10):3880. https://doi.org/10.3390/ma16103880
Chicago/Turabian StyleCarvalho, João P. F., Tânia Vieira, Jorge Carvalho Silva, Paula I. P. Soares, Nuno M. Ferreira, Carlos O. Amorim, Sílvia Soreto Teixeira, and Manuel P. F. Graça. 2023. "Potassium Ferrite for Biomedical Applications" Materials 16, no. 10: 3880. https://doi.org/10.3390/ma16103880
APA StyleCarvalho, J. P. F., Vieira, T., Silva, J. C., Soares, P. I. P., Ferreira, N. M., Amorim, C. O., Teixeira, S. S., & Graça, M. P. F. (2023). Potassium Ferrite for Biomedical Applications. Materials, 16(10), 3880. https://doi.org/10.3390/ma16103880
        
