Investigation of the Underwater Absorption and Reflection Characteristics by Using a Double-Layer Composite Metamaterial
Abstract
1. Introduction
2. Methodology and Modelling
2.1. Geometric Structure and Material
2.2. Methodology and Modeling
3. Results and Discussions
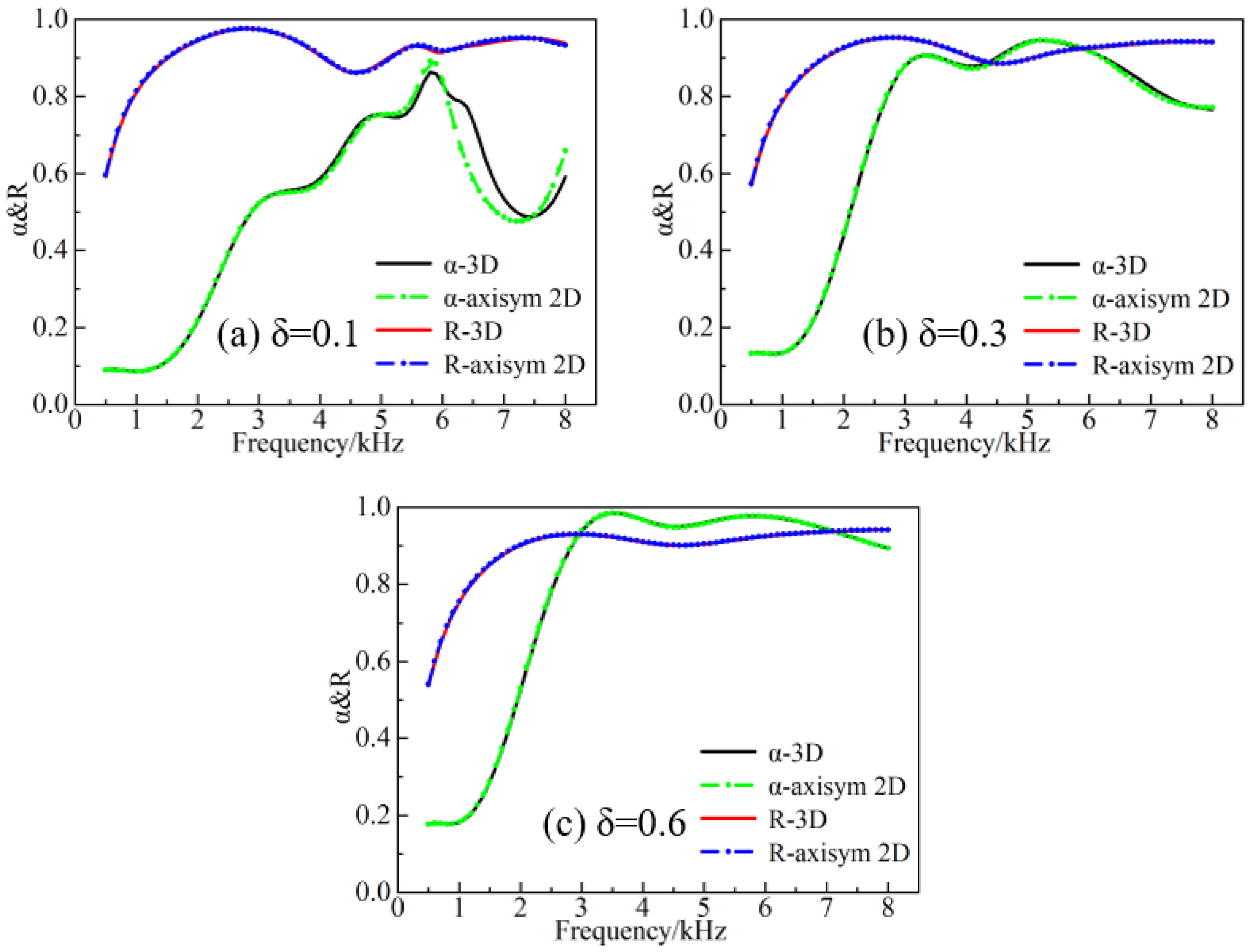
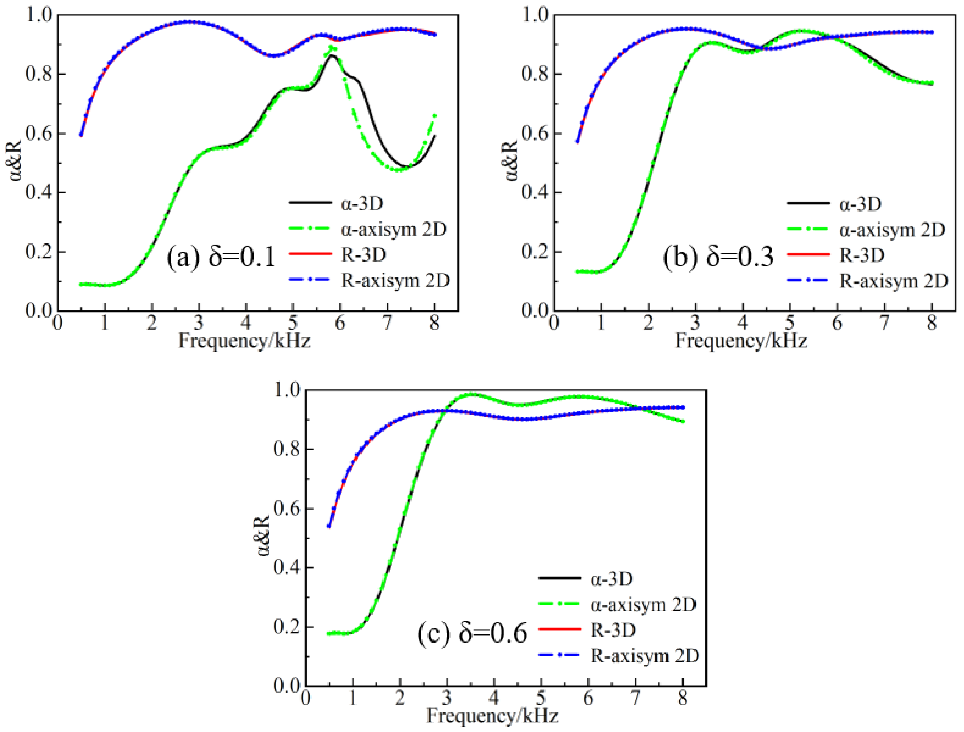
3.1. Validation of the FEM
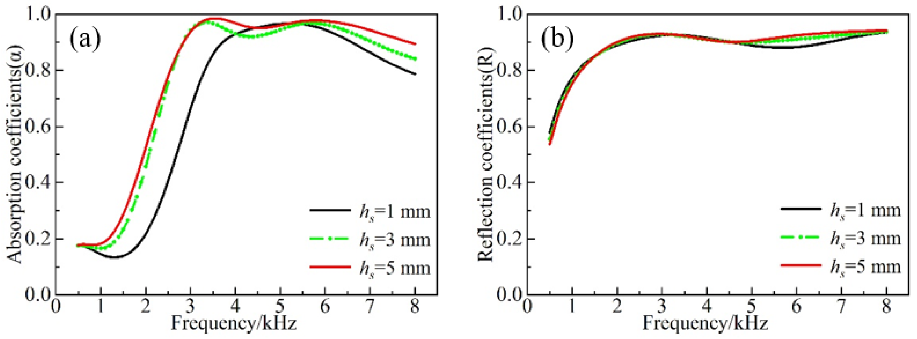
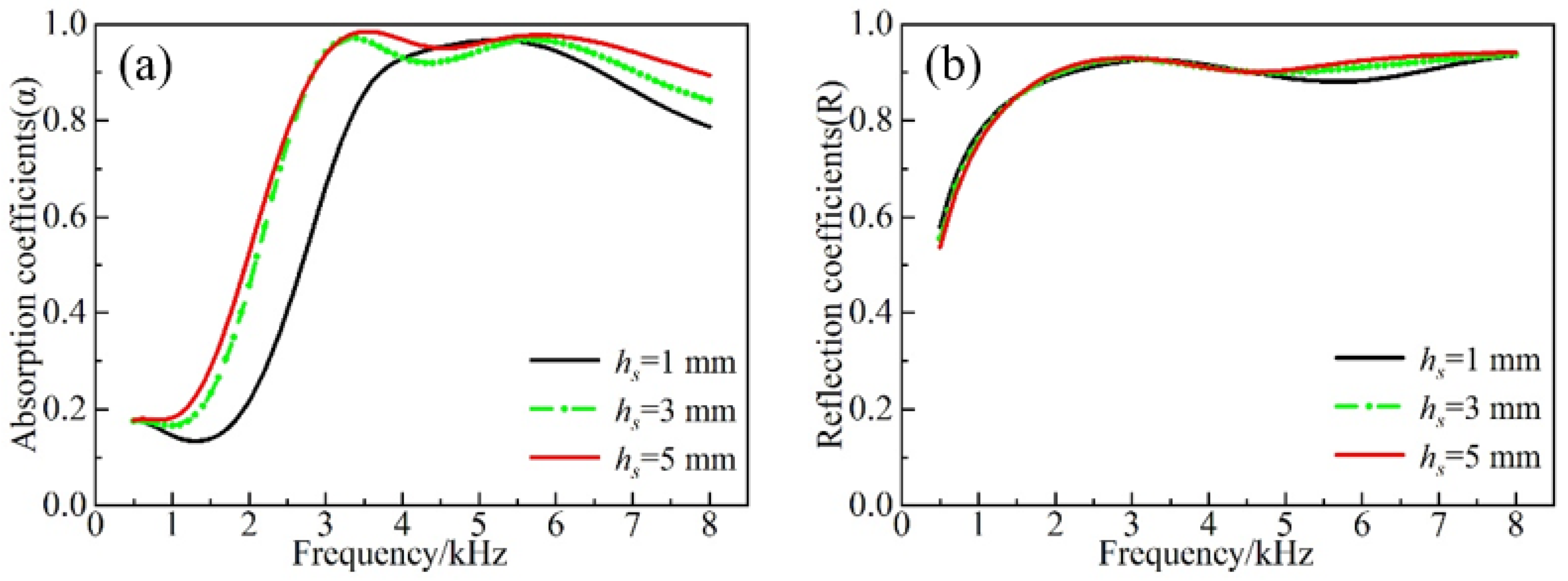
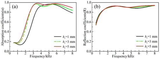
3.2. Acoustic Behaviors of the AM
4. Model Simplification and Optimal Design
4.1. Model Simplification
4.2. Optimization
- (1)
- The thickness, radii and spacings of the five different scatterers embedded in the ruber1 matrix were numbered sequentially from the bottom to the top, e.g., the first scatterer thickness was hs1, the radius was r1, and the spacing between the first and second scatterer was ∆hs12. The specific control parameter ranges are shown in Table 2. Meanwhile, no attempt was made to optimize the existing material parameters. The optimization process was carried out by imposing a constraint on the equation, to ensure that the thickness of the sound absorption layer was constant.
- (2)
- The optimized frequency band range was [0.1–8 kHz] with a frequency step ∆f = 0.1 kHz. The main parameters of the genetic algorithm were set as follows: the number of evolutions was 50, the population size was 90, the probability of variation was 0.8, and the probability of crossover was 0.8.The objective function was defined by considering the forward absorption and backward reflection, while the overall optimization in the frequency band was taken into account to avoid the situation where the average absorption coefficient could reach the objective function. However, the acquired curve greatly fluctuated. As it could be seen from Figure 5, the absorption coefficient was low in the frequency range of 0.1–2 kHz. Therefore, the absorption band was divided into two bands to prevent the interference of this band with the averaging frequency range of 2.1–8 kHz. Moreover, the scatterer size and position had less influence on the acoustic reflection, and the frequency band was not divided during the optimization process.The corresponding optimization objective function is as follows:
- (3)
- Population initialization consisted in randomly generating the primitive population according to the population size, while each individual in the population consisted of 16 model parameters.
- (4)
- The ranking populations were generated according to the dominance and non-dominance relationships between the individuals in the population and by classifying the populations by their class.
- (5)
- The dominant individuals were selected according to the optimization objectives and subpopulations were generated produced after performing crossover and mutation operations.
- (6)
- During the beginning of the second generation, the parent population was merged with the child population. Then, the non-dominated sorting operation was executed successively, while the crowding degree was calculated for the individuals in each level.
- (7)
- The dominant individuals were selected based on population stratification and individual crowding, and crossover and mutation operations were performed.
- (8)
- The final step was to determine whether the termination condition was reached. If yes, the output of the Pareto optimal solution was set, otherwise the steps (6)–(8) were repeated.
5. Conclusions
Author Contributions
Funding
Institutional Review Board Statement
Informed Consent Statement
Data Availability Statement
Acknowledgments
Conflicts of Interest
References
- Zou, M.S.; Jiang, L.W.; Liu, S.X. Underwater acoustic radiation by structures arbitrarily covered with acoustic coatings. J. Sound Vib. 2019, 443, 748–763. [Google Scholar] [CrossRef]
- Li, J.; Li, S. Topology optimization of anechoic coating for maximizing sound absorption. J. Vib. Control 2016, 24, 2369–2385. [Google Scholar] [CrossRef]
- Bai, H.; Zhan, Z.; Liu, J.; Ren, Z. From Local Structure to Overall Performance: An Overview on the Design of an Acoustic Coating. Materials 2019, 12, 2509. [Google Scholar] [CrossRef] [PubMed]
- Jin, G.; Shi, K.; Ye, T.; Zhou, J.; Yin, Y. Sound absorption behaviors of metamaterials with periodic multi-resonator and voids in water. Appl. Acoust. 2020, 166, 107351. [Google Scholar] [CrossRef]
- Gao, N.; Lu, K. An underwater metamaterial for broadband acoustic absorption at low frequency. Appl. Acoust. 2020, 169, 107500. [Google Scholar] [CrossRef]
- Gu, Y.; Zhong, H.; Bao, B.; Wang, Q.; Wu, J. Experimental investigation of underwater locally multi-resonant metamaterials under high hydrostatic pressure for low frequency sound absorption. Appl. Acoust. 2021, 172, 107605. [Google Scholar] [CrossRef]
- Sharma, G.S.; Skvortsov, A.; MacGillivray, I.; Kessissoglou, N. Acoustic performance of gratings of cylindrical voids in a soft elastic medium with a steel backing. J. Acoust. Soc. Am. 2017, 141, 4694. [Google Scholar] [CrossRef]
- Wang, Z.; Huang, Y.; Zhang, X.; Li, L.; Chen, M.; Fang, D. Broadband underwater sound absorbing structure with gradient cavity shaped polyurethane composite array supported by carbon fiber honeycomb. J. Sound Vib. 2020, 479, 115375. [Google Scholar] [CrossRef]
- Ye, C.; Liu, X.; Xin, F.; Lu, T.J. Influence of hole shape on sound absorption of underwater anechoic layers. J. Sound Vib. 2018, 426, 54–74. [Google Scholar] [CrossRef]
- Zhao, H.; Wen, J.; Yang, H.; Lv, L.; Wen, X. Backing effects on the underwater acoustic absorption of a viscoelastic slab with locally resonant scatterers. Appl. Acoust. 2014, 76, 48–51. [Google Scholar] [CrossRef]
- Meng, H.; Wen, J.; Zhao, H.; Lv, L.; Wen, X. Analysis of absorption performances of anechoic layers with steel plate backing. J. Acoust. Soc. Am. 2012, 132, 69–75. [Google Scholar] [CrossRef] [PubMed]
- Sharma, G.S.; Skvortsov, A.; MacGillivray, I.; Kessissoglou, N. Sound absorption by rubber coatings with periodic voids and hard inclusions. Appl. Acoust. 2019, 143, 200–210. [Google Scholar] [CrossRef]
- Zhang, Z.; Huang, Y.; Huang, Q. Low-frequency broadband absorption of underwater composite anechoic coating with periodic subwavelength arrays of shunted piezoelectric patches. Compos. Struct. 2019, 216, 449–463. [Google Scholar] [CrossRef]
- Liu, R.X.; Pei, D.L.; Wang, Y.R. Experimental research on sound absorption properties of impedance gradient composite with multiphase. IOP Conf. Ser. Mater. Sci. Eng. 2020, 733, 012009. [Google Scholar] [CrossRef]
- Shi, K.; Jin, G.; Liu, R.; Ye, T.; Xue, Y. Underwater sound absorption performance of acoustic metamaterials with multilayered locally resonant scatterers. Results Phys. 2019, 12, 132–142. [Google Scholar] [CrossRef]
- Chen, M.; Meng, D.; Zhang, H.; Jiang, H.; Wang, Y. Resonance-coupling effect on broad band gap formation in locally resonant sonic metamaterials. Wave Motion 2016, 63, 111–119. [Google Scholar] [CrossRef]
- Duan, J.; Li, S.; Wu, X.; Wang, C.; Ma, Y. A new eccentric resonance matching layer with anti-reflection characteristics for underwater acoustic scattering suppression. Phys. Scr. 2020, 96, 035001. [Google Scholar] [CrossRef]
- Jia, X.; Jin, G.; Shi, K.; Bu, C.; Ye, T. A hybrid acoustic structure for low-frequency and broadband underwater sound absorption. J. Low Freq. Noise Vib. Act. Control 2022, 41, 3. [Google Scholar] [CrossRef]
- Meng, H.; Wen, J.; Zhao, H.; Wen, X. Optimization of locally resonant acoustic metamaterials on underwater sound absorption characteristics. J. Sound Vib. 2012, 331, 4406–4416. [Google Scholar] [CrossRef]
- Shi, K.; Jin, G.; Ye, T.; Zhang, Y.; Chen, M.; Xue, Y. Underwater sound absorption characteristics of metamaterials with steel plate backing. Appl. Acoust. 2019, 153, 147–156. [Google Scholar] [CrossRef]
- Zhang, Y.; Pan, J.; Chen, K.; Zhong, J. Subwavelength and quasi-perfect underwater sound absorber for multiple and broad frequency bands. J. Acoust. Soc. Am. 2018, 144, 648. [Google Scholar] [CrossRef] [PubMed]
- Zhang, Y.; Cheng, L. Ultra-thin and broadband low-frequency underwater acoustic meta-absorber. Int. J. Mech. Sci. 2021, 210, 106732. [Google Scholar] [CrossRef]
- Wang, T.; Liu, J.; Chen, M. Underwater sound absorption of a meta-absorption layer with double negativity. Appl. Acoust. 2021, 181, 108182. [Google Scholar] [CrossRef]
- Panigrahi, S.N.; Jog, C.S.; Munjal, M.L. Multi-focus design of underwater noise control linings based on finite element analysis. Appl. Acoust. 2008, 69, 1141–1153. [Google Scholar] [CrossRef]
- Lauriks, W.; Mees, P.; Allard, J.F. The acoustic transmission through layered systems. J. Sound Vib. 1992, 155, 125–132. [Google Scholar] [CrossRef]
- Lee, C.M.; Xu, Y. A modified transfer matrix method for prediction of transmission loss of multilayer acoustic materials. J. Sound Vib. 2009, 326, 290–301. [Google Scholar] [CrossRef]
- Kafesaki, M.; Economou, E.N. Multiple-scattering theory for three-dimensional periodic acoustic composites. Phys. Rev. B 1999, 60, 11993–12001. [Google Scholar] [CrossRef]
- Zhao, H.G.; Wen, J.H.; Yang, H.B.; Lin, M.; Wen, X.S. Acoustic absorption mechanism and optimization of a rubber slab with cylindrical cavities. Acta Phys. Sin. 2014, 63, 13. [Google Scholar]
- Liang, B.; Zou, X.; Cheng, J. Effective medium method for sound propagation in a soft medium containing air bubbles. J. Acoust. Soc. Am. 2008, 124, 1419–1429. [Google Scholar] [CrossRef]
- Liao, G.; Luan, C.; Wang, Z.; Liu, J.; Yao, X.; Fu, J. Acoustic Metamaterials: A Review of Theories, Structures, Fabrication Approaches, and Applications. Adv. Mater. Technol. US 2021, 6, 2000787. [Google Scholar] [CrossRef]
- Huang, L.; Xiao, Y.; Wen, J.; Zhang, H.; Wen, X. Optimization of decoupling performance of underwater acoustic coating with cavities via equivalent fluid model. J. Sound Vib. 2018, 426, 244–257. [Google Scholar] [CrossRef]
- Zhao, D.; Zhao, H.; Yang, H.; Wen, J. Optimization and mechanism of acoustic absorption of Alberich coatings on a steel plate in water. Appl. Acoust. 2018, 140, 183–187. [Google Scholar] [CrossRef]
- Deb, K.; Pratap, A.; Agarwal, S.; Meyarivan, T. A fast and elitist multiobjective genetic algorithm: NSGA-II. IEEE Trans. Evol. Comput. 2002, 6, 182–197. [Google Scholar] [CrossRef]
- Fang, X.; Wang, W.; He, L.; Huang, Z.; Liu, Y.; Zhang, L. Research on Improved NSGA-II Algorithm and Its Application in Emergency Management. Math. Probl. Eng. 2018, 2018, 1306341. [Google Scholar] [CrossRef]
- Zhong, H.; Tian, Y.; Gao, N.; Lu, K.; Wu, J. Ultra-thin composite underwater honeycomb-type acoustic metamaterial with broadband sound insulation and high hydrostatic pressure resistance. Compos. Struct. 2021, 277, 114603. [Google Scholar] [CrossRef]
- Christine, A.; Hladky, H.; Decarpign, J.N. Analysis of the scattering of a plane acoustic wave by a doubly periodic structure using the finite element method: Applicationto Alberich anechoic coatings. J. Acoust. Soc. Am. 1991, 90, 3356. [Google Scholar]
- Meng, T. Simplified model for predicting acoustic performance of an underwater sound absorption coating. J. Vib. Control 2012, 20, 339–354. [Google Scholar] [CrossRef]
- Zhong, J.; Zhao, H.; Yang, H.; Yin, J.; Wen, J. On the accuracy and optimization application of an axisymmetric simplified model for underwater sound absorption of anechoic coatings. Appl. Acoust. 2019, 145, 104–111. [Google Scholar] [CrossRef]












| Density (kg/m3) | Young’s Modulus (Pa) | Shear Modulus (Pa) | Poisson’s Ratio | Loss Factor | |
|---|---|---|---|---|---|
| Composite materials | 1950 | {1.6 × 1010, 1.6 × 1010, 2.9 × 109} | {7.5 × 109, 4.5 × 109, 4.5 × 109} | {0.14, 0.25, 0.25} | 0.01 |
| Rubber1 | 1100 | 2.7 × 107 | - | 0.49 | 0.6 |
| Steel | 7870 | 2 × 1011 | - | 0.29 | 0.01 |
| Rubber2 | 1100 | 1 × 108 | - | 0.45 | 0.1 |
| hs1 | hs2 | hs3 | hs4 | hs5 | r1 | r2 | r3 | r4 | r5 | |
| Lower limit | 0.5 | 0.5 | 0.5 | 0.5 | 0.5 | 1 | 1 | 1 | 1 | 1 |
| Upper limit | 8 | 8 | 8 | 8 | 8 | 14 | 14 | 14 | 14 | 14 |
| Optimization result 1 | 4 | 8 | 8 | 8 | 8 | 6 | 10 | 10.2 | 9.9 | 1 |
| ∆hb | ∆hs12 | ∆hs23 | ∆hs34 | ∆hs45 | ∆ht | |||||
| Lower limit | 0.5 | 0.5 | 0.5 | 0.5 | 0.5 | 0.5 | ||||
| Upper limit | 4 | 4 | 4 | 4 | 4 | 4 | ||||
| Optimization result 1 | 0.5 | 0.5 | 0.5 | 0.5 | 0.5 | 0.5 | ||||
Disclaimer/Publisher’s Note: The statements, opinions and data contained in all publications are solely those of the individual author(s) and contributor(s) and not of MDPI and/or the editor(s). MDPI and/or the editor(s) disclaim responsibility for any injury to people or property resulting from any ideas, methods, instructions or products referred to in the content. |
© 2022 by the authors. Licensee MDPI, Basel, Switzerland. This article is an open access article distributed under the terms and conditions of the Creative Commons Attribution (CC BY) license (https://creativecommons.org/licenses/by/4.0/).
Share and Cite
Zhu, Y.; Zhao, X.; Mei, Z.; Li, H.; Wu, D. Investigation of the Underwater Absorption and Reflection Characteristics by Using a Double-Layer Composite Metamaterial. Materials 2023, 16, 49. https://doi.org/10.3390/ma16010049
Zhu Y, Zhao X, Mei Z, Li H, Wu D. Investigation of the Underwater Absorption and Reflection Characteristics by Using a Double-Layer Composite Metamaterial. Materials. 2023; 16(1):49. https://doi.org/10.3390/ma16010049
Chicago/Turabian StyleZhu, Yi, Xinyang Zhao, Zhiyuan Mei, Haitao Li, and Dajiang Wu. 2023. "Investigation of the Underwater Absorption and Reflection Characteristics by Using a Double-Layer Composite Metamaterial" Materials 16, no. 1: 49. https://doi.org/10.3390/ma16010049
APA StyleZhu, Y., Zhao, X., Mei, Z., Li, H., & Wu, D. (2023). Investigation of the Underwater Absorption and Reflection Characteristics by Using a Double-Layer Composite Metamaterial. Materials, 16(1), 49. https://doi.org/10.3390/ma16010049

