Characterizing and Predicting the Resilient Modulus of Recycled Aggregates from Building Demolition Waste with Breakage-Induced Gradation Variation
Abstract
:1. Introduction
2. Materials and Methods
2.1. Materials Tested
2.2. Gradations Designed
2.3. Description of Laboratory Testing Program
2.3.1. Compaction Tests
2.3.2. Monotonic Triaxial Compression Tests
2.3.3. Repeated Load Triaxial Tests
3. Testing Results and Analysis
3.1. Laboratory Compaction Results
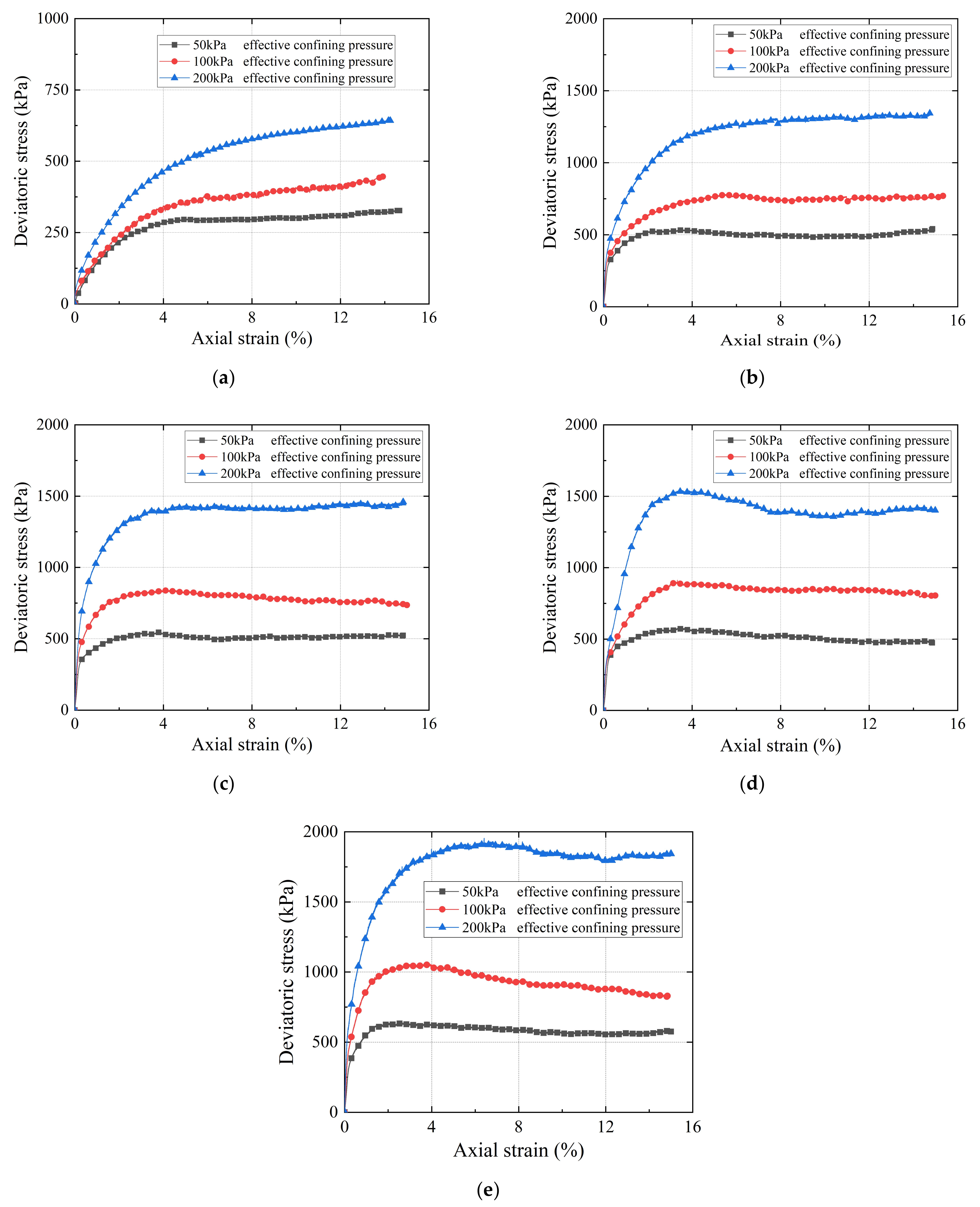
3.2. Shear Strength Properties
3.3. Resilient Modulus Properties
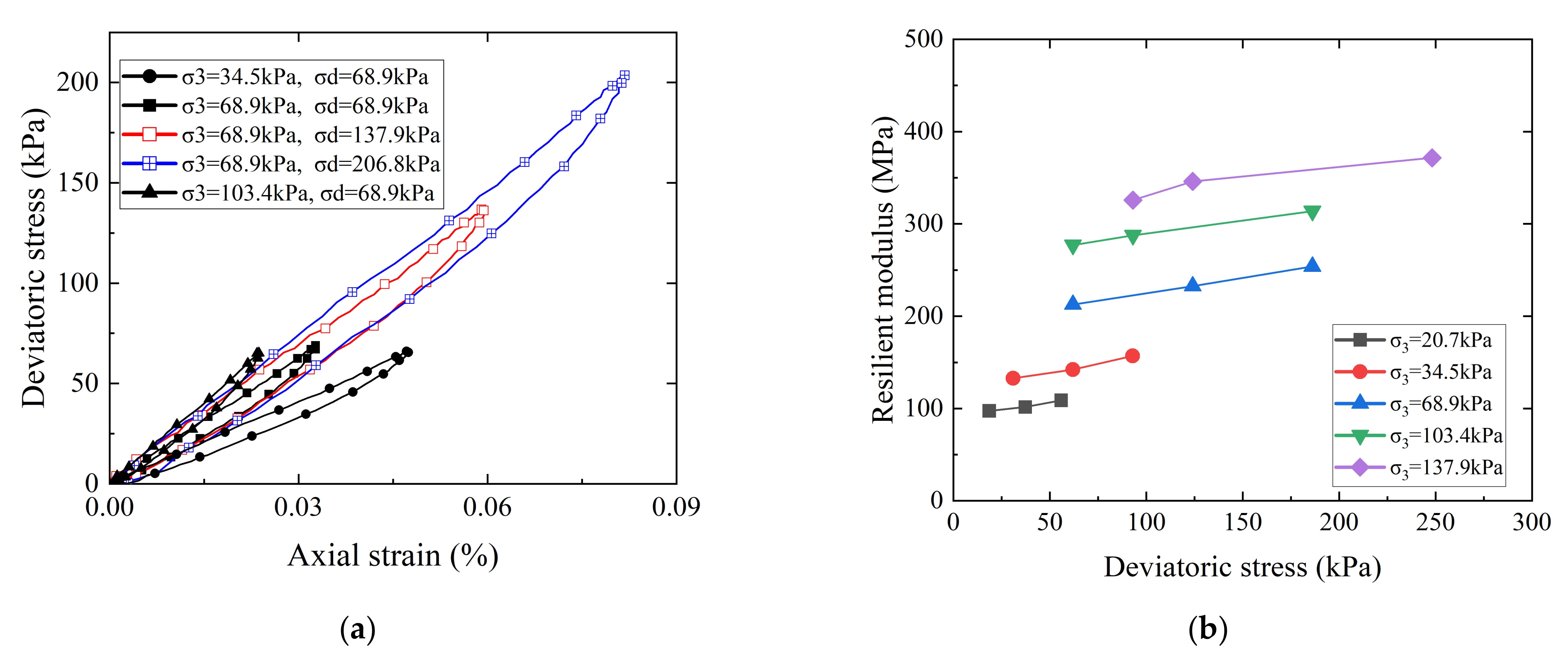
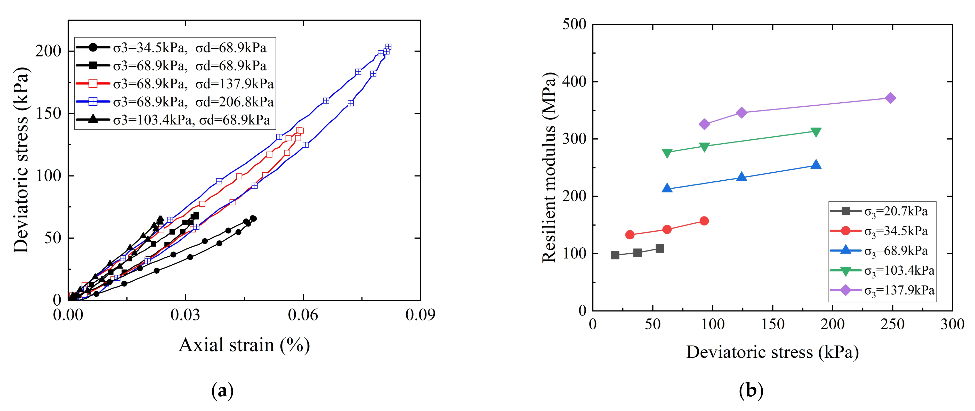
3.3.1. Hysteresis Curves of Deviator Stress versus Axial Strain
3.3.2. Effects of the Stress State on the Resilient Modulus
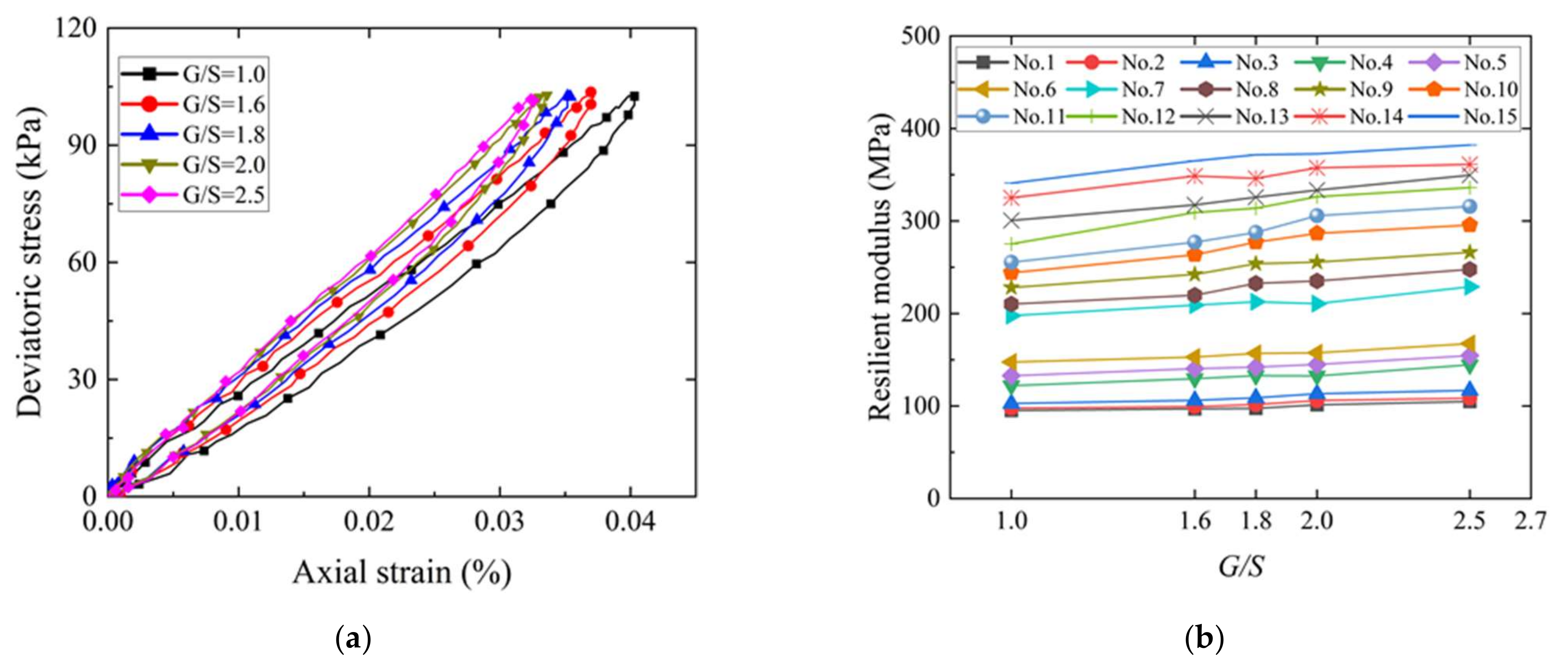
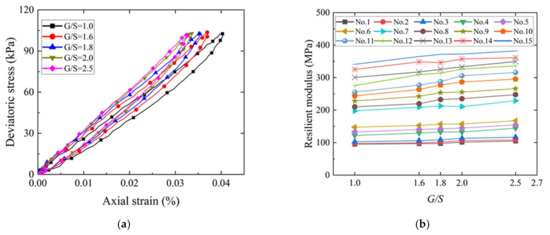
3.3.3. Effect of Gradation on the Resilient Modulus
4. Development of the Resilient Modulus Prediction Model
4.1. Evaluation of Existing Prediction Models of the Resilient Modulus
4.2. Development of New Improved Prediction Model
5. Discussions
6. Summary and Conclusions
- The results of particle morphology analysis showed that there appeared to be no significant differences in the particle morphology among different particle size groups of the same type of recycled BDW aggregates. Therefore, the effect of particle shape on the test results was excluded in this study by controlling the particle shape index to remain relatively similar or close to each other.
- The testing results of laboratory monotonic triaxial compression tests conducted under consolidated drained conditions on recycled BDW aggregates indicated that, as the relative content of fine particles increased, the apparent cohesion and internal friction angle showed a non-linear increase and decrease, respectively. This indicates that particle breakage and degradation weakened the inter-particle frictional interactions among recycled BDW aggregates, resulting in a reduction in the overall shear strength.
- The results from the laboratory RLT tests revealed that the resilient modulus of recycled BDW aggregates gradually increased with the decreasing relative content of fine particles or equivalently decreasing particle breakage and degradation) at the same stress level.
- Both the deviatoric stress and confining pressure exerted great influences on the Mr of recycled BDW aggregates, while a greater influence was exerted by the confining pressure when compared to the deviatoric stress.
- Based on the laboratory testing data, an improved resilient modulus prediction model that takes into account particle-breakage-induced gradation variation and stress states was proposed, and its better prediction accuracy was statistically confirmed.
Author Contributions
Funding
Institutional Review Board Statement
Informed Consent Statement
Data Availability Statement
Conflicts of Interest
References
- Zheng, L.; Wu, H.; Zhang, H.; Duan, H.; Wang, J.; Jiang, W.; Dong, B.; Liu, G.; Zuo, J.; Song, Q. Characterizing the generation and flows of construction and demolition waste in China. Constr. Build. Mater. 2017, 136, 405–413. [Google Scholar] [CrossRef] [Green Version]
- Huang, B.; Wang, X.; Harnwei, K.; Geng, Y.; Raimund, B.; Ren, J. Construction and demolition waste management in China through the 3R principle-ScienceDirect. Resour. Conserv. Recycl. 2018, 129, 36–44. [Google Scholar] [CrossRef]
- Shi, X.; Mukhopadhyay, A.; Zollinger, D.; Grasley, Z. Economic input-output life cycle assessment of concrete pavement containing recycled concrete aggregate. J. Clean. Prod. 2019, 225, 414–425. [Google Scholar] [CrossRef]
- Maury-Ramírez, A.; Illera-Perozo, D.; Mesa, J.A. Circular Economy in the Construction Sector: A Case Study of Santiago de Cali (Colombia). Sustainability 2022, 14, 1923. [Google Scholar] [CrossRef]
- Vieira, C.S.; Pereira, P.M. Use of recycled construction and demolition materials in geotechnical applications: A review. Resour. Conserv. Recycl. 2015, 103, 192–204. [Google Scholar] [CrossRef]
- Volodchenko, A.A.; Lesovik, V.S.; Cherepanova, I.A.; Volodchenko, A.N.; Zagorodnjuk, L.H.; Elistratkin, M.Y. Peculiarities of non-autoclaved lime wall materials production using clays. IOP Conf. Ser. Mater. Sci. Eng. 2018, 327, 022021. [Google Scholar] [CrossRef]
- Azevedo, A.R.G.d.; Klyuev, S.; Marvila, M.T.; Vatin, N.; Alfimova, N.; Lima, T.E.S.d.; Fediuk, R.; Olisov, A. Investigation of the Potential Use of Curauá Fiber for Reinforcing Mortars. Fibers 2020, 8, 69. [Google Scholar] [CrossRef]
- Lu, G.; Liu, P.; Wang, Y.; Faßbender, S.; Wang, D.; Oeser, M. Development of a sustainable pervious pavement material using recycled ceramic aggregate and bio-based polyurethane binder. J. Clean. Prod. 2019, 220, 1052–1060. [Google Scholar] [CrossRef]
- Yu, H.; Zhu, Z.; Zhang, Z.; Yu, J.; Oeser, M.; Wang, D. Recycling waste packaging tape into bituminous mixtures towards enhanced mechanical properties and environmental benefits. J. Clean. Prod. 2019, 229, 22–31. [Google Scholar] [CrossRef]
- Luhar, S.; Cheng, T.W.; Nicolaides, D.; Luhar, I.; Panias, D.; Sakkas, K. Valorisation of glass wastes for the development of geopolymer composites—Durability, thermal and microstructural properties: A review. Constr. Build. Mater. 2019, 222, 673–687. [Google Scholar] [CrossRef]
- Mohajerani, A.; Vajna, J.; Cheung, T.; Kurmus, H.; Arulrajah, A.; Horpibulsuk, S. Practical recycling applications of crushed waste glass in construction materials: A review. Constr. Build. Mater. 2017, 156, 443–467. [Google Scholar] [CrossRef]
- Mishra, B.; Gupta, M.K. Use of randomly oriented polyethylene terephthalate (pet) fiber in combination with fly ash in subgrade of flexible pavement. Constr. Build. Mater. 2018, 190, 95–107. [Google Scholar] [CrossRef]
- Bernardo, M.; Gomes, M.C.; de Brito, J. Demolition waste generation for development of a regional management chain model. Waste Manag. 2016, 49, 156–169. [Google Scholar] [CrossRef]
- Zhang, J.; Gu, F.; Zhang, Y. Use of building-related construction and demolition wastes in highway embankment: Laboratory and field evaluations. J. Clean. Prod. 2019, 230, 1051–1060. [Google Scholar] [CrossRef]
- Silva, R.V.; Cardoso, R.; Brito, J.; Dhir, R. Use of recycled aggregates from construction and demolition waste in geotechnical applications: A literature review. Waste Manag. 2016, 49, 131–145. [Google Scholar]
- Vieira, C.S.; Pereira, P.M.; Lopes, M.L. Feasibility of Using Selected and Mixed Recycled Aggregates from Construction and Demolition Waste in Unbound Pavement Layers. In Advances in Transportation Geotechnics IV; Tutumluer, E., Nazarian, S., Al-Qadi, I., Qamhia, I.I., Eds.; Lecture Notes in Civil Engineering; Springer Nature: Cham, Switzerland, 2022; Volume 164, pp. 267–279. [Google Scholar]
- Vieira, C.S. Valorization of Fine-Grain Construction and Demolition (C&D) Waste in Geosynthetic Reinforced Structures. Waste Biomass. Valor. 2020, 11, 1615–1626. [Google Scholar]
- Jayakody, S.; Gallage, C.; Ramanujam, J. Effects of reclaimed asphalt materials on geotechnical characteristics of recycled concrete aggregates as a pavement material. Road Mater. Pavement Des. 2017, 20, 754–772. [Google Scholar] [CrossRef]
- Arulrajah, A.; Piratheepan, J.; Disfani, M.M. Reclaimed asphalt pavement/recycled concrete aggregate blends in pavement subbases: Laboratory and field evaluation. J. Mater. Civil. Eng. 2014, 26, 349–357. [Google Scholar] [CrossRef]
- Saberian, M.; Li, J.; Perera, S.; Ren, G.; Tokhi, H. An experimental study on the shear behavior of recycled concrete aggregate incorporating recycled tire waste. Constr. Build. Mater. 2020, 264, 120266. [Google Scholar] [CrossRef]
- Arulrajah, A.; Disfani, M.M.; Horpibulsuk, S.; Suksiripattanapong, C.; Prongmanee, N. Physical properties and shear strength responses of recycled construction and demolition materials in unbound pavement base/subbase applications. Constr. Build. Mater. 2014, 58, 245–257. [Google Scholar] [CrossRef]
- Liu, W.; Zeng, Y.; Yao, Y.; Zhang, J. Experimental study and prediction model of dynamic resilient modulus of compacted subgrade soils subjected to moisture variation. Chin. J. Geot. Eng. 2019, 41, 175–183. [Google Scholar]
- ERES Consultants Division, ARA, Inc. Guide for Mechanistic-Empirical Design of New and Rehabilitated Pavement Structures; ERES Consultants Division, Transportation research Board, National Research Council: Washington, DC, USA, 2004. [Google Scholar]
- JTG D30-2015; Specifications for Design of Highway Subgrades. Ministry of Transport of the People’s Republic of China: Beijing, China, 2015.
- Diagne, M.; Tinjum, J.M.; Nokkaew, K. The Effects of Recycled Clay Brick Content on the Engineering Properties, Weathering Durability, and Resilient Modulus of Recycled Concrete Aggregate. Transp. Geotech. 2015, 3, 15–23. [Google Scholar] [CrossRef]
- Arisha, A.M.; Gabr, A.R.; El-Badawy, S.M.; Shwally, S.A. Performance Evaluation of Construction and Demolition Waste Materials for Pavement Construction in Egypt. J. Mater. Civil Eng. 2018, 30, 04016064.1–04016064.18. [Google Scholar] [CrossRef]
- Soleimanbeigi, A.; Shedivy, R.F.; Tinjum, J.M.; Edil, T.B. Climatic effect on resilient modulus of recycled unbound aggregates. Road Mater. Pavement Des. 2015, 16, 836–853. [Google Scholar] [CrossRef]
- Wang, Y.; Song, E. Discrete Element Analysis of Influence of Rockfill Particle Shape on Bulk Density and Strength. Rock. Soil. M. 2019, 40, 2416–2426. [Google Scholar]
- Zingg, T. Beitrag zur Schotteranalyse. Ph.D. Thesis, ETH Zurich, Zurich, Switzerland, 1935. [Google Scholar]
- JTG 3430-2020; Test Methods of Soils for Highway Engineering. Ministry of Transport of the People’s Republic of China: Beijing, China, 2020.
- JTG E42-2005; Test Methods of Aggregate for Highway Engineering. Ministry of Transport of the People’s Republic of China: Beijing, China, 2005.
- Xiao, Y.; Tutumluer, E. Gradation and Packing Characteristics Affecting Stability of Granular Materials: Aggregate ImagingBased Discrete Element Modeling Approach. Int. J. Geomech. 2017, 17, 04016064. [Google Scholar] [CrossRef]
- Qamhia, A., II; Chow, L.C.; Mishra, D.; Tutumluer, E. Dense-graded aggregate base gradation influencing rutting model predictions. Transp Geotech. 2017, 13, 43–51. [Google Scholar] [CrossRef] [Green Version]
- Xiao, Y.J. Performance-Based Evaluation of Unbound Aggregates Affecting Mechanistic Response and Performance of Flexible Pavements. Ph.D. Thesis, University of Illinois, Urbana-Champaign, IL, USA, 2014. [Google Scholar]
- Hardin, B.O. Crushing of soil particles. J. Geotech. Geoenviron. 1985, 111, 1177–1192. [Google Scholar] [CrossRef]
- AASHTO Designation T307-99; Determining the Resilient Modulus of Soils and Aggregate Materials. American Association of State Highway and Transportation Officials: Washington, DC, USA, 2003.
- Zhang, J.; Peng, J.; Zheng, J. Progress and Prospect of the Prediction Model of the Resilient Modulus of Subgrade Soils. China J. Highw. Transp. 2020, 33, 1–13. [Google Scholar]
- Monismith, C.L.; Seed, H.B.; Mitry, F.G.; Chan, C.K. Predictions of pavement deflections from laboratory tests. In Proceedings of the International Conference on the Structural Design of Asphalt Pavements, Ann Arbor, MI, USA, 7–11 August 1967. [Google Scholar]
- Moossazadeh, J.; Witczak, M.W. Prediction of subgrade moduli for soil that exhibits nonlinear behavior. Transp. Res. Rec. 1981, 810, 9–17. [Google Scholar]
- Seed, H.B.; Mitry, F.G.; Monosmith, C.L. Prediction of Pavement Deflection from Laboratory Repeated Load Tests; National Cooperative Highway Research: Washington, DC, USA, 1967. [Google Scholar]
- Pezo, R. A General Method of Reporting Resilient Modulus Tests of Soils—A Pavement Engineer’s Point of View. In Proceedings of the Transportation Research Board, 72nd Annual Meeting, Washington, DC, USA, 10–14 January 1993; National Research Council: Washington, DC, USA, 1993; p. 93082. [Google Scholar]
- Uzan, J. Characterization of Granular Material. Transp. Res. Rec. 1985, 1022, 52–59. [Google Scholar]
- Arulrajah, A.; Piratheepan, J.; Disfani, M.M. Geotechnical and Geoenvironmental Properties of Recycled Construction and Demolition Materials in Pavement Subbase Applications. J. Mater. Civil. Eng. 2013, 25, 1077–1088. [Google Scholar] [CrossRef]
- Arshad, M.; Ahmed, M.F. Potential use of reclaimed asphalt pavement and recycled concrete aggregate in base/subbase layers of flexible pavements. Constr. Build. Mater. 2017, 151, 83–97. [Google Scholar] [CrossRef]
- Jie, L.; Saberian, M.; Bao, T.N. Effect of crumb rubber on the mechanical properties of crushed recycled pavement materials. J. Environ. Manag. 2018, 218, 291–299. [Google Scholar]
- Saberian, M.; Li, J.; Boroujeni, M.; Li, C. Application of demolition wastes mixed with crushed glass and crumb rubber in pavement base/subbase. Resour. Conserv. Recycl. 2020, 156, 104722. [Google Scholar] [CrossRef]
- Arulrajah, A.; Piratheepan, J.; Disfani, M.M. Resilient Moduli Response of Recycled Construction and Demolition Materials in Pavement Subbase Applications. J. Mater. Civil. Eng. 2013, 25, 1920–1928. [Google Scholar] [CrossRef]

















| Size | Gravel | Mortar | Brick | Others (Tiles, Wood, etc.) |
|---|---|---|---|---|
| 5–10 mm | 62.87 | 27.82 | 7.58 | 1.73 |
| 10–20 mm | 68.49 | 25.75 | 3.88 | 1.88 |
| 20–40 mm | 69.87 | 23.56 | 4.34 | 2.23 |
| Crushing Value/% | Water Absorption/% | Specific Gravity | |||
|---|---|---|---|---|---|
| 23.7~29.6 | 13.5~17.8 | 10.2~11.8 | 18.5~24.5 | 6.9~9.2 | 2.53~2.69 |
| Test Method | Specimen Height (cm) | Specimen Volume (cm3) | Sub-Layers | Blows Per Sub-Layer | Maximum Particle Size (mm) |
|---|---|---|---|---|---|
| Heavy Ⅱ-2 | 12 | 2177 | 3 | 98 | 40 |
| SequenceNo. | Confining Pressure, σ3/kPa | Contact Stress, σc/kPa | Deviator Stress, σd/kPa | Axial Stress, σmax/kPa | No. of Load Applications |
|---|---|---|---|---|---|
| 0 | 103.4 | 10.3 | 93.1 | 103.4 | 1000 |
| 1 | 20.7 | 2.1 | 18.6 | 20.7 | 100 |
| 2 | 20.7 | 4.1 | 37.3 | 41.4 | 100 |
| 3 | 20.7 | 6.2 | 55.9 | 62.1 | 100 |
| 4 | 34.5 | 3.5 | 31 | 34.5 | 100 |
| 5 | 34.5 | 6.9 | 62 | 68.9 | 100 |
| 6 | 34.5 | 10.3 | 93.1 | 103.4 | 100 |
| 7 | 68.9 | 6.9 | 62 | 68.9 | 100 |
| 8 | 68.9 | 13.8 | 124.1 | 137.9 | 100 |
| 9 | 68.9 | 20.7 | 186.1 | 206.8 | 100 |
| 10 | 103.4 | 6.9 | 62 | 68.9 | 100 |
| 11 | 103.4 | 10.3 | 93.1 | 103.4 | 100 |
| 12 | 103.4 | 20.7 | 186.1 | 206.8 | 100 |
| 13 | 137.9 | 10.3 | 93.1 | 103.4 | 100 |
| 14 | 137.9 | 13.8 | 124.1 | 137.9 | 100 |
| 15 | 137.9 | 27.6 | 248.2 | 275.8 | 100 |
| Gradation Parameter G/S | Maximum Dry Density (g·cm−3) | Optimum Moisture Content (%) | Apparent Cohesion c’ (kPa) | Internal Friction Angle φ’ (°) |
|---|---|---|---|---|
| 2.5 | 1.929 | 8.98 | 35.3 | 54.3 |
| 2.0 | 1.977 | 9.02 | 43.9 | 49.8 |
| 1.8 | 1.981 | 9.19 | 46.8 | 48.2 |
| 1.6 | 1.978 | 9.03 | 51.7 | 46.4 |
| 1.0 | 1.968 | 9.21 | 57.7 | 30.2 |
| Model No. | Model Equations | Authors |
|---|---|---|
| No. 1 | Monismith [38] | |
| No. 2 | Moossazadeh and Witczak [39] | |
| No. 3 | Seed [40] | |
| No. 4 | Pezo [41] | |
| No. 5 | Uzan [42] | |
| No. 6 | AASHTO 2004 [36] |
| G/S Value | k1 | k2 | k3 | adj. R2 | RMSE |
|---|---|---|---|---|---|
| 1.0 | 11.946 | 0.544 | 0.119 | 0.996 | 5.078 |
| 1.6 | 11.076 | 0.559 | 0.128 | 0.996 | 5.559 |
| 1.8 | 12.265 | 0.550 | 0.127 | 0.998 | 4.654 |
| 2.0 | 12.638 | 0.564 | 0.112 | 0.993 | 8.349 |
| 2.5 | 14.567 | 0.550 | 0.114 | 0.995 | 6.943 |
Publisher’s Note: MDPI stays neutral with regard to jurisdictional claims in published maps and institutional affiliations. |
© 2022 by the authors. Licensee MDPI, Basel, Switzerland. This article is an open access article distributed under the terms and conditions of the Creative Commons Attribution (CC BY) license (https://creativecommons.org/licenses/by/4.0/).
Share and Cite
Xiao, Y.; Kong, K.; Aminu, U.F.; Li, Z.; Li, Q.; Zhu, H.; Cai, D. Characterizing and Predicting the Resilient Modulus of Recycled Aggregates from Building Demolition Waste with Breakage-Induced Gradation Variation. Materials 2022, 15, 2670. https://doi.org/10.3390/ma15072670
Xiao Y, Kong K, Aminu UF, Li Z, Li Q, Zhu H, Cai D. Characterizing and Predicting the Resilient Modulus of Recycled Aggregates from Building Demolition Waste with Breakage-Induced Gradation Variation. Materials. 2022; 15(7):2670. https://doi.org/10.3390/ma15072670
Chicago/Turabian StyleXiao, Yuanjie, Kunfeng Kong, Umar Faruk Aminu, Zhiyong Li, Qiang Li, Hongwei Zhu, and Degou Cai. 2022. "Characterizing and Predicting the Resilient Modulus of Recycled Aggregates from Building Demolition Waste with Breakage-Induced Gradation Variation" Materials 15, no. 7: 2670. https://doi.org/10.3390/ma15072670
APA StyleXiao, Y., Kong, K., Aminu, U. F., Li, Z., Li, Q., Zhu, H., & Cai, D. (2022). Characterizing and Predicting the Resilient Modulus of Recycled Aggregates from Building Demolition Waste with Breakage-Induced Gradation Variation. Materials, 15(7), 2670. https://doi.org/10.3390/ma15072670

