Fabrication and Characterization of Highly Efficient As-Synthesized WO3/Graphitic-C3N4 Nanocomposite for Photocatalytic Degradation of Organic Compounds
Abstract
:1. Introduction
2. Experimental Parts
2.1. Regents
2.2. Synthesis of Pure g-C3N4 and WO3/g-C3N4 Composite Organic Compounds
2.3. Characterization Techniques
2.4. Photocatalytic Measurements
3. Results and Discussions
3.1. Structural XRD Measurements
3.2. Morphologies and Microstructure Analysis
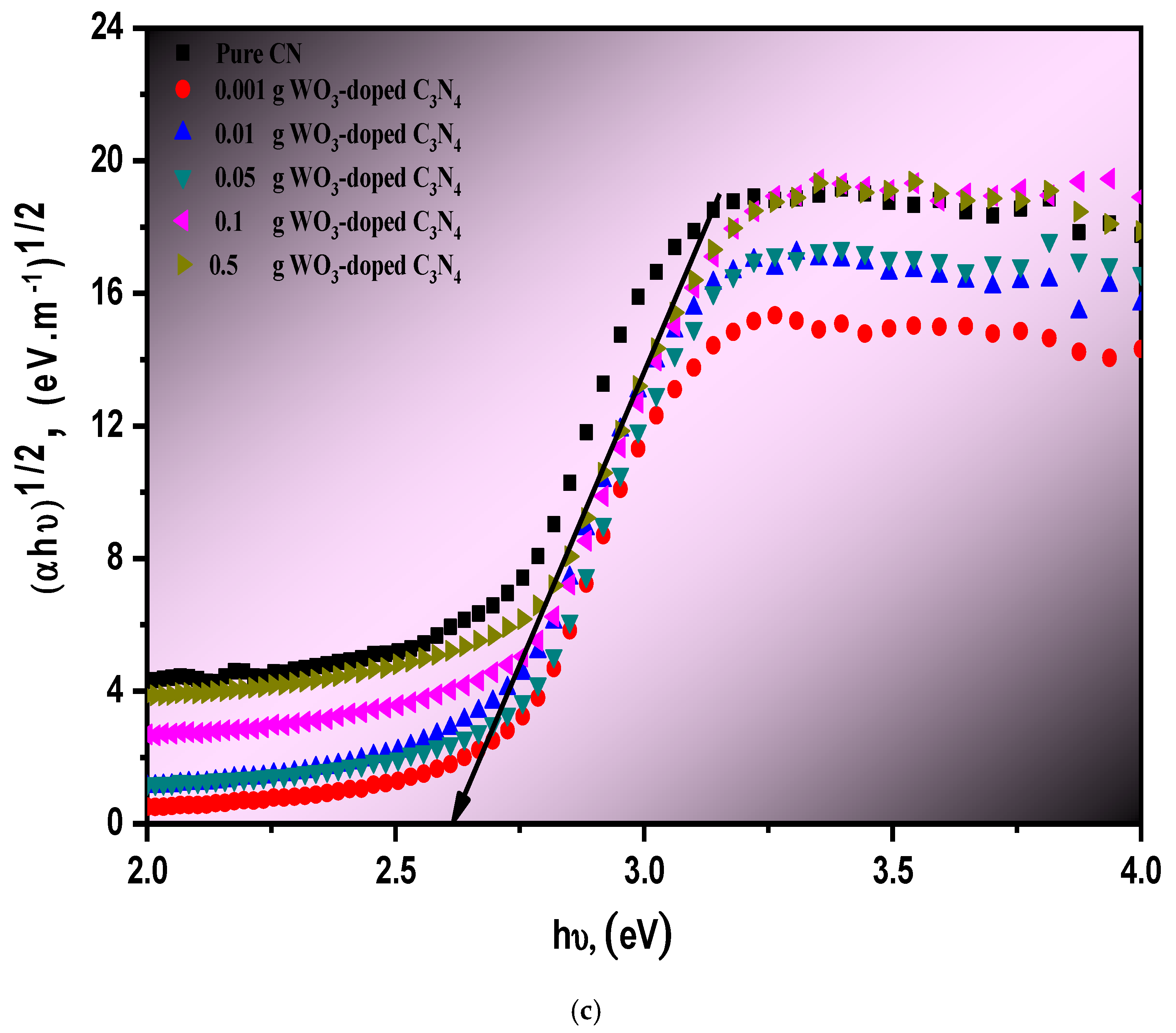
3.3. Optical Properties of WO3 Doped g-C3N4 Nanocomposites
3.4. Kinetics of the Photodegradation Process of WO3-Doped g-C3N4 Nanocomposites
3.5. Photodegradation Conduction Mechanism of WO3-Doped g-C3N4 Nanocomposites
3.6. Recycling of WO3-Doped g-C3N4 Nanocomposites
4. Conclusions
Author Contributions
Funding
Institutional Review Board Statement
Informed Consent Statement
Data Availability Statement
Conflicts of Interest
References
- Ngullie, R.C.; Alaswad, S.O.; Bhuvaneswari, K.; Shanmugam, P.; Pazhanivel, T.; Arunachalam, P. Synthesis and characterization of efficient ZnO/g-C3N4 nanocomposites photocatalyst for Photocatalytic degradation of methylene blue. Coatings 2020, 10, 500. [Google Scholar] [CrossRef]
- Ismael, M.; Elhadad, E.; Wark, M. Construction of SnO2/g-C3N4 composite photocatalyst with enhanced interfacial charge separation and high efficiency for hydrogen production and Rhodamine B degradation. Colloids Surf. A Physicochem. Eng. Asp. 2022, 638, 128288. [Google Scholar] [CrossRef]
- Wei, H.; Zhang, Y.; Zhang, Y.; Zhang, Y. Design and synthesis of a new high-efficiency CeO2/SnS2/polyaniline ternary composite visible-light photocatalyst. Colloid Interface Sci. Commun. 2021, 45, 100550. [Google Scholar] [CrossRef]
- Moniz, S.J.A.; Shevlin, S.A.; Martin, D.J.; Guo, Z.X.; Tang, J. Visible-light driven heterojunction photocatalysts for water splitting-a critical review. Adv. Funct. Mater. 2015, 8, 2421–2440. [Google Scholar] [CrossRef]
- Kudo, A.; Miseki, Y. Heterogeneous photocatalyst materials for water splittingw. Chem. Soc. Rev. 2008, 48, 1685–1687. [Google Scholar] [CrossRef]
- Hisatomi, T.; Kubota, J.; Domen, K. Recent advances in semiconductors for photocatalytic and photoelectrochemical water splitting. Chem. Soc. Rev. 2014, 43, 7520. [Google Scholar] [CrossRef]
- Chen, X.; Shangguan, W. Hydrogen production from water splitting on CdS-based photocatalysts using solar light. Front. Energy 2013, 7, 111–118. [Google Scholar] [CrossRef]
- Honda, K. One and Two-dimensional Structure of Alpha-Helix and Beta-Sheet Forms of Poly(L-Alanine) shown by Specific Heat Measurements at Low Temperatures (1.5–20 K), 1910.
- Kong, L.; Jiang, Z.; Lai, H.H.; Nicholls, R.J.; Xiao, T.; Jones, M.O.; Edwards, P.P. Unusual reactivity of visible-light-responsive AgBr–BiOBr heterojunction photocatalysts. J. Catal. 2012, 293, 116–125. [Google Scholar] [CrossRef]
- Gao, Y.; Hou, F.; Hu, S.; Wu, B.; Wang, Y.; Zhang, H.; Jiang, B.; Fu, H. Graphene quantum-dot-modified hexagonal tubular carbon nitride for visible-light photocatalytic hydrogen evolution. ChemCatChem 2018, 10, 1330–1335. [Google Scholar] [CrossRef]
- Ding, C.; Shi, J.; Wang, Z.; Li, C. Photoelectrocatalytic water splitting: Significance of cocatalysts, Electrolyte, and Interfaces. ACS Catal. 2017, 7, 675–688. [Google Scholar] [CrossRef]
- Xing, P.; Zhou, F.; Li, Z. Preparation of WO3/g-C3N4 composites with enhanced photocatalytic hydrogen production performance. Appl. Phys. A 2019, 125, 788. [Google Scholar] [CrossRef]
- Nakajima, T.; Kitamura, T.; Tsuchiya, T. Visible light photocatalytic activity enhancement for water purification in Cu(II)-grafted WO3 thin films grown by photoreaction of nanoparticles. Appl. Catal. B Environ. 2011, 108–109, 47–53. [Google Scholar] [CrossRef]
- Tong, T.; Zhu, B.; Jiang, C.; Cheng, B.; Yu, J. Mechanistic insight into the enhanced photocatalytic activity of single-atom Pt, Pd or Au-embedded g-C3N4. Appl. Surf. Sci. 2018, 433, 1175–1183. [Google Scholar] [CrossRef]
- Li, Z.; Ma, Y.; Hu, X.; Liu, E.; Fan, J. Enhanced photocatalytic H2 production over dual-cocatalyst-modified g-C3N4 heterojunctions. Chin. J. Catal. 2019, 40, 434–445. [Google Scholar] [CrossRef]
- Kim, J.; Lee, C.W.; Choi, W. Platinized WO3 as an environmental photocatalyst that generates OH radicals under visible light. Environ. Sci. Technol. 2010, 44, 6849–6854. [Google Scholar] [CrossRef]
- Jin, Z.; Murakami, N.; Tsubota, T.; Ohno, T. Complete oxidation of acetaldehyde over a composite photocatalyst of graphitic carbon nitride and tungsten(VI) oxide under visible-light irradiation. Appl. Catal. B Environ. 2014, 150–151, 479–485. [Google Scholar] [CrossRef] [Green Version]
- Liang, J.; Li, Y.; Zhang, J.; Li, C.; Yang, X.; Chen, X.; Wang, F.; Chen, C. Crystalline phase engineering in WO3/g-C3N4 composites for improved photocatalytic performance under visible light. Mater. Res. Express. 2020, 7, 065503. [Google Scholar] [CrossRef]
- Zhao, J.; Ji, Z.; Shen, X.; Zhou, H.; Ma, L. Facile synthesis of WO3 nanorods/g-C3N4 composites with enhanced photocatalytic activity. Ceram. Int. 2015, 41, 5600–5606. [Google Scholar] [CrossRef]
- Wang, X.; Maeda, K.; Thomas, A.; Takanabe, K.; Xin, G.; Carlsson, J.M.; Domen, K.; Antonietti, M. A metal-free polymeric photocatalyst for hydrogen production from water under visible light. Nat. Mater. 2008, 8, 76–80. [Google Scholar] [CrossRef]
- Wang, S.; Li, Y.; Wang, X.; Zi, G.; Zhou, C.; Liu, B.; Liu, G.; Wang, L.; Huang, W. One-step supramolecular preorganization constructed crinkly graphitic carbon nitride nanosheets with enhanced photocatalytic activity. J. Mater. Sci. Technol. 2022, 104, 155–162. [Google Scholar] [CrossRef]
- Ansari, A.R.; Hammad, A.H.; Abdel-wahab, M.S.; Shariq, M.; Imran, M. Structural, optical and photoluminescence investigations of nanocrystalline CuO thin films at different microwave powers. Opt. Quantum Electron. 2020, 52, 1–16. [Google Scholar] [CrossRef]
- Hammad, A.H.; Abdel-wahab, M.S.; Vattamkandathil, S.; Ansari, A.R. Influence the oxygen flow rate on the film thickness, structural, optical and photoluminescence behavior of DC sputtered NiOx thin films. Phys. B Condens. Matter 2019, 568, 6–12. [Google Scholar] [CrossRef]
- Alzahrani, A.O.M.; Abdel-wahab, M.S.; Alayash, M.; Aida, M.S. Effect of ZnO layer thickness upon optoelectrical properties of NiO/ZnO heterojunction prepared at room temperature. J. Mater. Sci. Mater. Electron. 2018, 29, 16317–16324. [Google Scholar] [CrossRef]
- Mo, Z.; She, X.; Li, Y.; Liu, L.; Huang, L.; Chen, Z.; Zhang, Q.; Xu, H.; Li, H. Synthesis of g-C3N4 at different temperatures for superior visible/UV photocatalytic performance and photoelectrochemical sensing of MB solution†. RSC Adv. 2015, 123, 101552–101562. [Google Scholar] [CrossRef]
- Kadi, M.W.; Mohamed, R.M. Increasing visible light water splitting efficiency through synthesis route and charge separation in measoporous g-C3N4 decorated with WO3 nanoparticles. Ceram. Int. 2019, 45, 3886–3893. [Google Scholar] [CrossRef]
- Tauc, J.; Grigorovici, R.; Vancu, A. Optical properties and electronic structure of amorphous germanium. Phys. Status Solidi 1996, 15, 627–637. [Google Scholar] [CrossRef]
- Chu, X.; Liu, J.; Liang, S.; Bai, L.; Dong, Y.; Epifani, M. Facile preparation of g-C3N4-WO3 composite gas sensing materials with enhanced gas sensing selectivity to acetone. J. Sens. 2019, 2019, 6074046. [Google Scholar] [CrossRef] [Green Version]
- Liu, Z.X.; Wang, X.L.; Hu, A.P.; Tang, Q.L.; Xu, Y.L.; Chen, X.H. 3D Se-doped NiCoP nanoarrays on carbon cloth for efficient alkaline hydrogen evolution. J. Cent. South Univ. 2021, 28, 2345–2359. [Google Scholar] [CrossRef]
- Huang, L.; Xu, H.; Li, Y.; Li, H.; Cheng, X.; Xia, J.; Xu, Y.; Cai, G. Visible-light-induced WO3/g-C3N4 composites with enhanced photocatalytic activity. Dalton Trans. 2013, 42, 8606. [Google Scholar] [CrossRef]
- Tai, J.Y.; Leong, K.H.; Saravanan, P.; Sim, L.C. Bioinspired Synthesis of Carbon Dots/g-C3N4 Nanocomposites for Photocatalytic Application. E3S Web Conf. 2018, 65, 05015. [Google Scholar] [CrossRef] [Green Version]
- Abdel-wahab, M.S. Substrate temperature impact on the structural, optical and photo-catalytic activity of sputtered Cu-Doped ZnO thin films. J. Electron. Mater. 2021, 50, 4364–4372. [Google Scholar] [CrossRef]
- Liu, G.; Han, J.; Zhou, X.; Huang, L.; Zhang, F.; Wang, X.; Ding, C.; Zheng, X.; Han, H.; Li, C. Enhancement of visible-light-driven O2 evolution from water oxidation on WO3 treated with hydrogen. J. Catal. 2013, 307, 148–152. [Google Scholar] [CrossRef]
- Sun, X.Y.; Zhang, F.J.; Kong, C. Porous g-C3N4/WO3 photocatalyst prepared by simple calcination for efficient hydrogen generation under visible light. Colloids Surf. A Physicochem. Eng. Asp. 2020, 594, 124653. [Google Scholar] [CrossRef]
- Hussien, M.S.A.; Yahia, I.S. Hybrid multifunctional core/shell g-C3N4 @TiO2 heterojunction nano-catalytic for photodegradation of organic dye and pharmaceutical compounds. Environ. Sci. Pollut. Res. 2021, 28, 29665–29680. [Google Scholar] [CrossRef] [PubMed]
- Deng, S.Z.; Yang, G.L.; Zhu, Y.H.; Li, F.W.; Zhang, X. WO3 nanosheets/g-C3N4 nanosheets’ nanocomposite as an effective photocatalyst for degradation of rhodamine B. Appl. Phys. A Mater. Sci. Process. 2019, 125, 1–11. [Google Scholar] [CrossRef]
- Al-Ghamdi, A.A.; Khedr, M.H.; Ansari, M.S.; Hasan, P.M.Z.; Abdel-Wahab, M.S.; Farghali, A.A. RF sputtered CuO thin films: Structural, optical and photocatalytic behavior. Phys. E Low-Dimens. Syst. Nanostructures 2016, 81, 83–90. [Google Scholar] [CrossRef]
- Zhao, C.; Ran, F.; Dai, L.; Li, C.; Zheng, C.; Si, C. Cellulose-assisted construction of high surface area Z-scheme C-doped g-C3N4/WO3 for improved tetracycline degradation. Carbohydr. Polym. 2021, 255, 117343. [Google Scholar] [CrossRef]
- Pan, T.; Chen, D.; Xu, W.; Fang, J.; Wu, S.; Liu, Z.; Wu, K.; Fang, Z. Anionic polyacrylamide-assisted construction of thin 2D-2D WO3/g-C3N4 Step-scheme heterojunction for enhanced tetracycline degradation under visible light irradiation. J. Hazard. Mater. 2020, 393, 122366. [Google Scholar] [CrossRef]
- Zhao, X.; Zhang, X.; Han, D.; Niu, L. Ag supported Z-scheme WO2.9/g-C3N4 composite photocatalyst for photocatalytic degradation under visible light. Appl. Surf. Sci. 2020, 501, 144258. [Google Scholar] [CrossRef]
- Yan, H.; Zhu, Z.Y.; Long, W.L. Single-source-precursor-assisted synthesis of porous WO3/g-C3N4 with enhanced photocatalytic property. Colloids Surf. A Physicochem. Eng. Asp. 2019, 582, 123857. [Google Scholar] [CrossRef]
- Yoon, M.Y.; Oh, S.; Hong, J.S.; Lee, R.; Boppella, S.H.K.; Mota, F.M.; Kim, S.O.; Kim, D.H. Synergistically enhanced photocatalytic activity of graphitic carbon nitride and WO3 nanohybrids mediated by photo-Fenton reaction and H2O2. Appl. Catal. B Environ. 2017, 206, 263–270. [Google Scholar] [CrossRef]









| Samples | Phases | Mean Values | ||
|---|---|---|---|---|
| Crystallite Size, (nm) | Dislocation Density, (1/(nm)2) | Lattice Strain | ||
| Pure g-C3N4 | Pure g-C3N4 | 39.17 | 6.51 × 10−4 | 8.850 × 10−4 |
| 0.001 g WO3-doped g-C3N4 | Pure g-C3N4 | 35.91 | 7.999 × 10−4 | 9.753 × 10−4 |
| 0.01 g WO3-doped g-C3N4 | Pure g-C3N4 | 35.93 | 7.993 × 10−4 | 9.749 × 10−4 |
| 0.05 g WO3-doped g-C3N4 | Pure g-C3N4 | 40.84 | 6.866 × 10−4 | 8.886 × 10−4 |
| 0.1 g WO3-doped g-C3N4 | Pure g-C3N4 | 44.83 | 9.336 × 10−4 | 9.667 × 10−4 |
| 0.5 g WO3-doped g-C3N4 | Phase 1: Pure g-C3N4 | 81.76 | 1.710 × 10−4 | 4.436 × 10−4 |
| Phase 2: WO3 | 52.93 | 3.641 × 10−4 | 6.593 × 10−4 | |
| Samples | Particle Size, (µm) | K, (min−1) | |
|---|---|---|---|
| MB | Phenol | ||
| Pure g-C3N4 | 1.65 | 0.0028 | 0.0053 |
| 0.001 g WO3/g-C3N4 | 1.21 | 0.0054 | 0.0064 |
| 0.01 g WO3/g-C3N4 | 1.26 | 0.0049 | 0.0092 |
| 0.05 g WO3/g-C3N4 | 1.3 | 0.0108 | 0.0194 |
| 0.1 g WO3/g-C3N4 | 1.5 | 0.0052 | 0.0172 |
| 0.5 g WO3/g-C3N4 | 1.51 | 0.0045 | 0.0145 |
| Photocatalyst | Method of Preparation | Organic Solution | Irradiation Time | Source | % Degradation | Refs. |
|---|---|---|---|---|---|---|
| WO3/g-CN | Pyrolysis | MB | 120 min | Visible Light lamp | 80% | Present work |
| Phenol | 90% | |||||
| C-doped g-C3N4/WO3 | Hydrothermal impregnation | Tetracycline | 60 min | UV-light lamp | 75% | [33] |
| WO3/g-C3N4 | Calcination method | Tetracycline | 120 min | Xenon lamp | 90.54% | [34] |
| Ag/WO3/g-C3N4 | Calcination method | MB | 300 min | UV-light lamp | ----- | [35] |
| WO3/g-C3N4 | Thermal polymerization | MO | 120 min | Xenon lamp | 93% | [36] |
| WO3/g-C3N4 | Hydrothermal | RhB | 90 min | UV-light lamp | 91% | [37] |
| WO3/g-C3N4/ Photo-Fenton | Calcination method | P-nitrophenol | 240 min | Xenon lamp | 91% | [38] |
Publisher’s Note: MDPI stays neutral with regard to jurisdictional claims in published maps and institutional affiliations. |
© 2022 by the authors. Licensee MDPI, Basel, Switzerland. This article is an open access article distributed under the terms and conditions of the Creative Commons Attribution (CC BY) license (https://creativecommons.org/licenses/by/4.0/).
Share and Cite
Hussien, M.S.A.; Bouzidi, A.; Abd-Rabboh, H.S.M.; Yahia, I.S.; Zahran, H.Y.; Abdel-wahab, M.S.; Alharbi, W.; Awwad, N.S.; Ibrahim, M.A. Fabrication and Characterization of Highly Efficient As-Synthesized WO3/Graphitic-C3N4 Nanocomposite for Photocatalytic Degradation of Organic Compounds. Materials 2022, 15, 2482. https://doi.org/10.3390/ma15072482
Hussien MSA, Bouzidi A, Abd-Rabboh HSM, Yahia IS, Zahran HY, Abdel-wahab MS, Alharbi W, Awwad NS, Ibrahim MA. Fabrication and Characterization of Highly Efficient As-Synthesized WO3/Graphitic-C3N4 Nanocomposite for Photocatalytic Degradation of Organic Compounds. Materials. 2022; 15(7):2482. https://doi.org/10.3390/ma15072482
Chicago/Turabian StyleHussien, Mai S. A., Abdelfatteh Bouzidi, Hisham S. M. Abd-Rabboh, Ibrahim S. Yahia, Heba Y. Zahran, Mohamed Sh. Abdel-wahab, Walaa Alharbi, Nasser S. Awwad, and Medhat A. Ibrahim. 2022. "Fabrication and Characterization of Highly Efficient As-Synthesized WO3/Graphitic-C3N4 Nanocomposite for Photocatalytic Degradation of Organic Compounds" Materials 15, no. 7: 2482. https://doi.org/10.3390/ma15072482
APA StyleHussien, M. S. A., Bouzidi, A., Abd-Rabboh, H. S. M., Yahia, I. S., Zahran, H. Y., Abdel-wahab, M. S., Alharbi, W., Awwad, N. S., & Ibrahim, M. A. (2022). Fabrication and Characterization of Highly Efficient As-Synthesized WO3/Graphitic-C3N4 Nanocomposite for Photocatalytic Degradation of Organic Compounds. Materials, 15(7), 2482. https://doi.org/10.3390/ma15072482

