Electron Heat Source Driven Heat Transport in GaN at Nanoscale: Electron–Phonon Monte Carlo Simulations and a Two Temperature Model
Abstract
:1. Introduction
2. Electron–Phonon Monte Carlo Method
2.1. Phonon Monte Carlo
2.2. Electron Monte Carlo
Scattering Mechanisms
3. Numerical Scheme
- 1.
- First, the total number of electron bundles per unit time, the phonon count and the electron count are initialized. Then is incremented as the the first electron bundle leaves the source. For each electron bundle, an initial energy, random vector, random position and direction are assigned.
- 2.
- Once an electron bundle is emitted from the source, its count, , is incremented by one. At the end of each drift, the vector, energy, velocity and the position of the electron bundle are updated as follows: , , , .
- 3.
- Electron scattering is chosen probabilistically among LA, LO, IM, IV and POP. In the case of LA scattering, the LA phonon count is updated in the corresponding spacial bin. POP, IV and LO counts are updated by subtracting or adding phonons, depending on whether absorption or emission takes place (at the same time the electron energy is further modified as ). IV is found to be negligible except for higher energies. In the case of emission, the emitted phonon is tracked until it gets absorbed by either of the isothermal boundaries and the control is then returned back to the electron that had emitted the phonon and continues with its tracking. The energy of the electron is then reduced by that of the emitted phonon and the same is added to the corresponding spacial bin, thereby accounting for the energy conservation. If the emitted phonon is of the LO branch whose group velocity is marginal, control waits for it to decay into LA/TA phonons whose group velocities are higher enough and thus successfully tracked. In the case of absorption, electron energy is incremented by that of the absorbed phonon and the phonon energy is deducted from the corresponding spacial bin where the absorption had taken placed. The electron alone is then tracked.
- 4.
- Once the electron bundle driven by the external electric field reaches the source terminal, it gets absorbed and the control returns back to step 1. The entire process repeats again by emitting the next electron bundle.
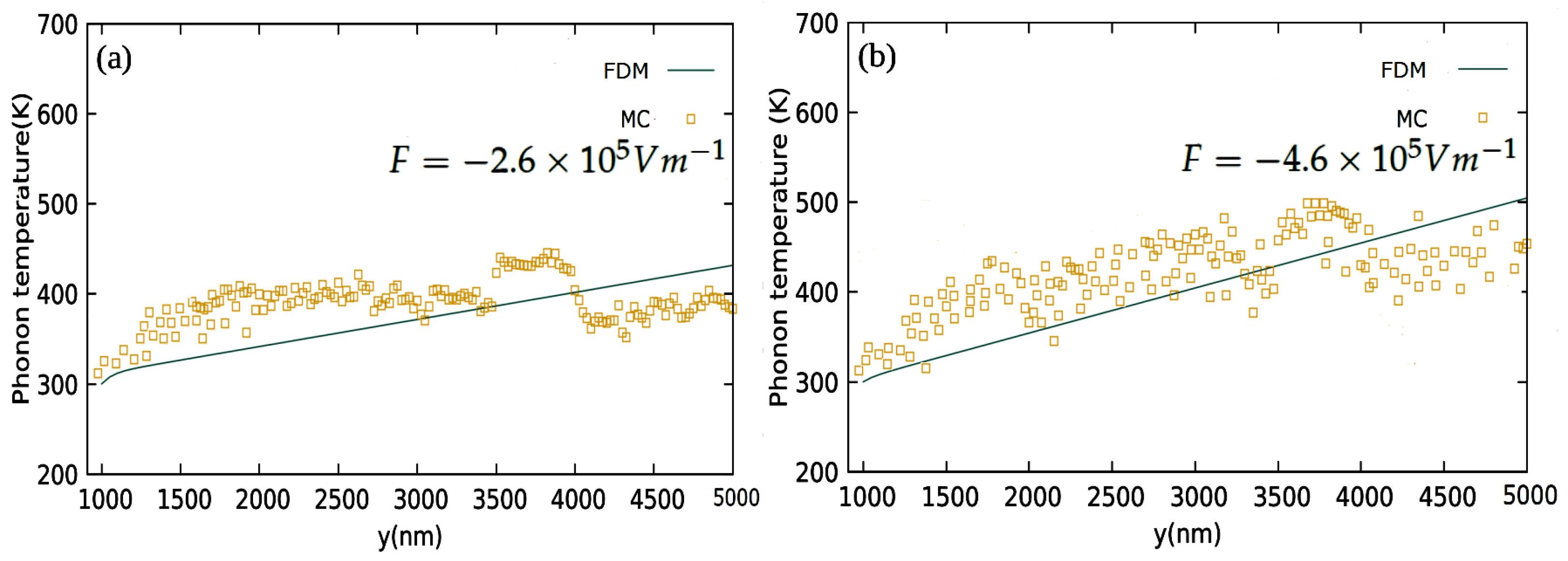
4. Results and Discussion
5. Conclusions
Author Contributions
Funding
Institutional Review Board Statement
Informed Consent Statement
Data Availability Statement
Conflicts of Interest
Abbreviations
| MC | Monte Carlo |
| BTE | Boltzmann Transport Equation |
| EPI | Electron Phonon Interaction |
| FDM | Finite Difference Method |
| HEMT | High Electron Mobility Transistor |
References
- Ziman, J.M. Electrons and Phonons: The Theory of Transport Phenomena in Solids; Oxford University Press: Oxford, UK; New York, NY, USA, 2001. [Google Scholar]
- Liao, B.; Qiu, B.; Zhou, J.; Huberman, S.; Esfarjani, K.; Chen, G. Significant reduction of lattice thermal conductivity by the electron–phonon interaction in silicon with high carrier concentrations: A first-principles study. Phys. Rev. Lett. 2015, 114, 115901. [Google Scholar] [CrossRef] [PubMed] [Green Version]
- Sommerfeld, A.; Bethe, H. Handbuch Der Physik; Springer: Berlin, Germany, 1933; Volume XXIV, p. 33. [Google Scholar]
- Makinson, R.E.B. The Thermal Conductivity of Metals. In Mathematical Proceedings of the Cambridge Philosophical Society; Cambridge University Press: Cambridge, UK, 1938; Volume 34, p. 474. [Google Scholar]
- Bloch, F. Über die Quantenmechanik der Elektronen in Kristallgittern. Z. Phys. 1929, 52, 555. [Google Scholar] [CrossRef]
- Yang, J.; Qin, G.; Hu, M. Nontrivial contribution of Fröhlich electron–phonon interaction to lattice thermal conductivity of wurtzite GaN. Appl. Phys. Lett. 2016, 109, 242103. [Google Scholar] [CrossRef]
- Yu, H.; Bi, C. Phonon ballistic-diffusive heat conduction in silicon nanofilms by Monte Carlo simulations. Int. J. Heat Mass Transf. 2011, 78, 755–759. [Google Scholar]
- Wu, M.; Ma, X.; Yang, L.; Zhu, Q.; Zhang, M.; Yang, L.; Hao, Y. Accurate Measurement of Channel Temperature for AlGaN/GaN HEMTs. IEEE Trans. Electron Devices 2018, 65, 4792–4799. [Google Scholar] [CrossRef]
- Chatterjee, B.; Dundar, C.; Beechem, T.E.; Heller, E.; Kim, H.; Donmezer, N.; Choi, S.; Kendig, D. Nanoscale electro-thermal interactions in AlGaN/GaN high electron mobility transistors. J. Appl. Phys. 2020, 127, 044502. [Google Scholar] [CrossRef]
- Yang, L.; Duan, B.; Wang, Y.; Yang, Y. Analytical Models for the electric field and potential of AlGaN/GaN HEMT with partial silicon doping. Superlattices Microstruct. 2019, 128, 349–357. [Google Scholar] [CrossRef]
- Hua, Y.C.; Li, H.L.; Cao, B.Y. Thermal spreading resistance in ballistic-diffusive regime in GaN HEMTs. IEEE Trans. Electron Devices 2019, 66, 3296–3301. [Google Scholar] [CrossRef]
- Hao, Q.; Zhao, H.; Xiao, Y. A hybrid simulation technique for electrothermal studies of two-dimensional GaN-on-SiC high electron mobility transistors. J. Appl. Phys. 2017, 121, 204501. [Google Scholar] [CrossRef] [Green Version]
- Sobolev, S.L. Two-temperature discrete model for nonlocal heat conduction. J. Phys. III 1993, 3, 2261–2269. [Google Scholar] [CrossRef]
- Sobolev, S.L. Local non-equilibrium transport models. Phys. Uspekhi 1997, 40, 1043–1053. [Google Scholar] [CrossRef]
- Sobolev, S.L. Nonlocal two-temperature model: Application to heat transport in metals irradiated by ultrashort laser pulses. Int. J. Heat Mass Transf. 2016, 94, 138–144. [Google Scholar] [CrossRef]
- Sobolev, S.L. Local Nonequilibrium Electron Transport in Metals after Femtosecond Laser Pulses: A Multi-Temperature Hyperbolic Model. Nanoscale Microscale Thermophys. Eng. 2021, 25, 153–165. [Google Scholar] [CrossRef]
- Niu, T.; Dai, W. A hyperbolic two-step model based finite difference scheme for studying thermal deforma tion in a double-layered thin film exposed to ultrashort-pulsed lasers. Int. J. Ther. Sci. 2009, 48, 34–49. [Google Scholar] [CrossRef]
- Roth, J.; Sonntag, S.; Karlin, J.; Paredes, C.T.; Sartison, M.; Krauß, A.; Trebin, H.R. Molecular dynamics simulations studies of laser ablation in metals. AIP Conf. Proc. 2012, 1464, 504–523. [Google Scholar] [CrossRef]
- Jacoboni, C.; Reggiani, L. The Monte Carlo method for solution of charge transport in semiconductor with application to covalent materials. Rev. Mod. Phys. 1983, 55, 645–705. [Google Scholar] [CrossRef]
- Chung, J.D.; McGaughey, A.J.H.; Kaviany, M. Role of Phonon Dispersion in Lattice Thermal Conductivity Modeling. J. Heat Transfer. 2004, 126, 376–380. [Google Scholar] [CrossRef]
- Holland, M.G. Analysis of lattice thermal conductivity. Phys. Rev. 1963, 132, 2461–2471. [Google Scholar] [CrossRef]
- Mazumder, S.; Majumdar, A. Monte Carlo Study of Phonon Transport in Solid Thin Films Including Dispersion and Polarization. J. Heat Transfer. 2001, 123, 749–759. [Google Scholar] [CrossRef]
- Randrianalisoa, J.; Baillis, D. Monte Carlo Simulation of Steady-State Microscale Phonon Heat Transport. J. Heat Transf. 2008, 130, 072404. [Google Scholar] [CrossRef]
- Tsen, K.T.; Ferry, D.K.; Goodnick, S.M.; Salvador, A.; Morkoc, H. Decay of the longitudinal optical phonons in wurtzite GaN and AlxGa1−xN. Phys. B 1999, 272, 406–408. [Google Scholar] [CrossRef]
- Ridley, B.K. The LO phonon lifetime in GaN. J. Phys. Condens. Matter 1996, 8, L511. [Google Scholar] [CrossRef]
- Wong, B.T.; Francoeur, M.; Mengüc, M.P. A Monte Carlo simulation for phonon transport within silicon structures at nanoscales with heat generation. Int. J. Heat Mass Transf. 2011, 54, 1825–1838. [Google Scholar] [CrossRef]
- Hess, K. Advanced Theory of Semiconductor Devices; Wiley: Hoboken, NJ, USA, 1999; pp. 94–95. [Google Scholar]
- Lundstrom, M. Fundamentals of Carrier Transport, 2nd ed.; Cambridge University Press: Cambridge, UK, 2000. [Google Scholar]
- Shur, M.; Gelmont, B.; Khan, M.A. Electron Mobility in Two-Dimensional Electron Gas in AIGaN/GaN Heterostructures and in Bulk GaN. J. Electron. Mater. 1996, 25, 777–785. [Google Scholar] [CrossRef]
- Berdalovic, I.; Poljak, M.; Suligoj, T. A comprehensive model and numerical analysis of electron mobility in GaN-based high electron mobility transistors. J. Appl. Phys. 2021, 129, 064303. [Google Scholar] [CrossRef]
- Berdalovic, I.; Poljak, M.; Suligoj, T. Modelling of Electrostatics and Transport in GaN-Based HEMTs under Non-Equilibrium Conditions. In Proceedings of the 2021 44th International Convention on Information, Communication and Electronic Technology (MIPRO), Opatija, Croatia, 27 September–1 October 2021. [Google Scholar]
- Bag, R.K.; Tyagi, R.; Mohan, P.; Narang, K.; Verma, S.; Muralidharan, R. Scattering analysis of 2DEG in AlGaN/GaN heterostructure grown on Fe doped GaN template. Proc. SPIE 2012, 8549, 85490Q6. [Google Scholar]
- Chai, Y.J.; Zan, Y.H.; Ban, S.L. Effect of optical phonons scattering on electron mobility in asymmetric AlGaN/GaN quantum wells. Superlattices Microstruct. 2020, 139, 106398. [Google Scholar] [CrossRef]
- Fang, T.; Wang, R.; Xing, H.; Rajan, S.; Jena, D. Effect of Optical Phonon Scattering on the Performance of GaN Transistors. IEEE Electron Device Lett. 2012, 33, 709–711. [Google Scholar] [CrossRef] [Green Version]
- Zhang, J.; Hao, Y.; Zhang, J.; Ni, J. The mobility of two-dimensional electron gas in AlGaN/GaN heterostructures with varied Al content. Sci. China Ser. F Inf. Sci. 2008, 51, 780–789. [Google Scholar] [CrossRef]
- Vurgaftman, I.; Meyer, J.R. Band parameters for nitrogen-containing semiconductors. J. Appl. Phys. 2003, 94, 3675. [Google Scholar] [CrossRef]
- Yan, Q.; Rinke, P.; Scheffler, M.; de Walle, C.G.V. Strain effects in group-III nitrides: Deformation potentials for AlN, GaN, and InN. Appl. Phys. Lett. 2009, 95, 121111. [Google Scholar] [CrossRef] [Green Version]
- Bhapkar, U.V.; Shur, M.S. Monte Carlo calculation of velocity-field characteristics of wurtzite GaN. J. Appl. Phys. 1997, 82, 1649. [Google Scholar] [CrossRef]




Publisher’s Note: MDPI stays neutral with regard to jurisdictional claims in published maps and institutional affiliations. |
© 2022 by the authors. Licensee MDPI, Basel, Switzerland. This article is an open access article distributed under the terms and conditions of the Creative Commons Attribution (CC BY) license (https://creativecommons.org/licenses/by/4.0/).
Share and Cite
Muthukunnil Joseph, A.; Cao, B. Electron Heat Source Driven Heat Transport in GaN at Nanoscale: Electron–Phonon Monte Carlo Simulations and a Two Temperature Model. Materials 2022, 15, 1651. https://doi.org/10.3390/ma15051651
Muthukunnil Joseph A, Cao B. Electron Heat Source Driven Heat Transport in GaN at Nanoscale: Electron–Phonon Monte Carlo Simulations and a Two Temperature Model. Materials. 2022; 15(5):1651. https://doi.org/10.3390/ma15051651
Chicago/Turabian StyleMuthukunnil Joseph, Anish, and Bingyang Cao. 2022. "Electron Heat Source Driven Heat Transport in GaN at Nanoscale: Electron–Phonon Monte Carlo Simulations and a Two Temperature Model" Materials 15, no. 5: 1651. https://doi.org/10.3390/ma15051651
APA StyleMuthukunnil Joseph, A., & Cao, B. (2022). Electron Heat Source Driven Heat Transport in GaN at Nanoscale: Electron–Phonon Monte Carlo Simulations and a Two Temperature Model. Materials, 15(5), 1651. https://doi.org/10.3390/ma15051651

