Experimental Investigation of Shear Keys for Adjacent Precast Concrete Box Beam Bridges
Abstract
:1. Introduction
2. Objectives
- Static displacement-controlled bi-shear (SDS), cyclic force-controlled bi-shear (CFS), and cyclic displacement-controlled bi-shear (CDS) tests were conducted on four types of composite specimens to investigate the shear transfer performance;
- Based on the test results, curves and expressions for the relation between shear and RDSK of different types of transverse connections were proposed;
- Two FEMs were developed to calibrate and validate the interfacial material parameters.
3. Experimental Program
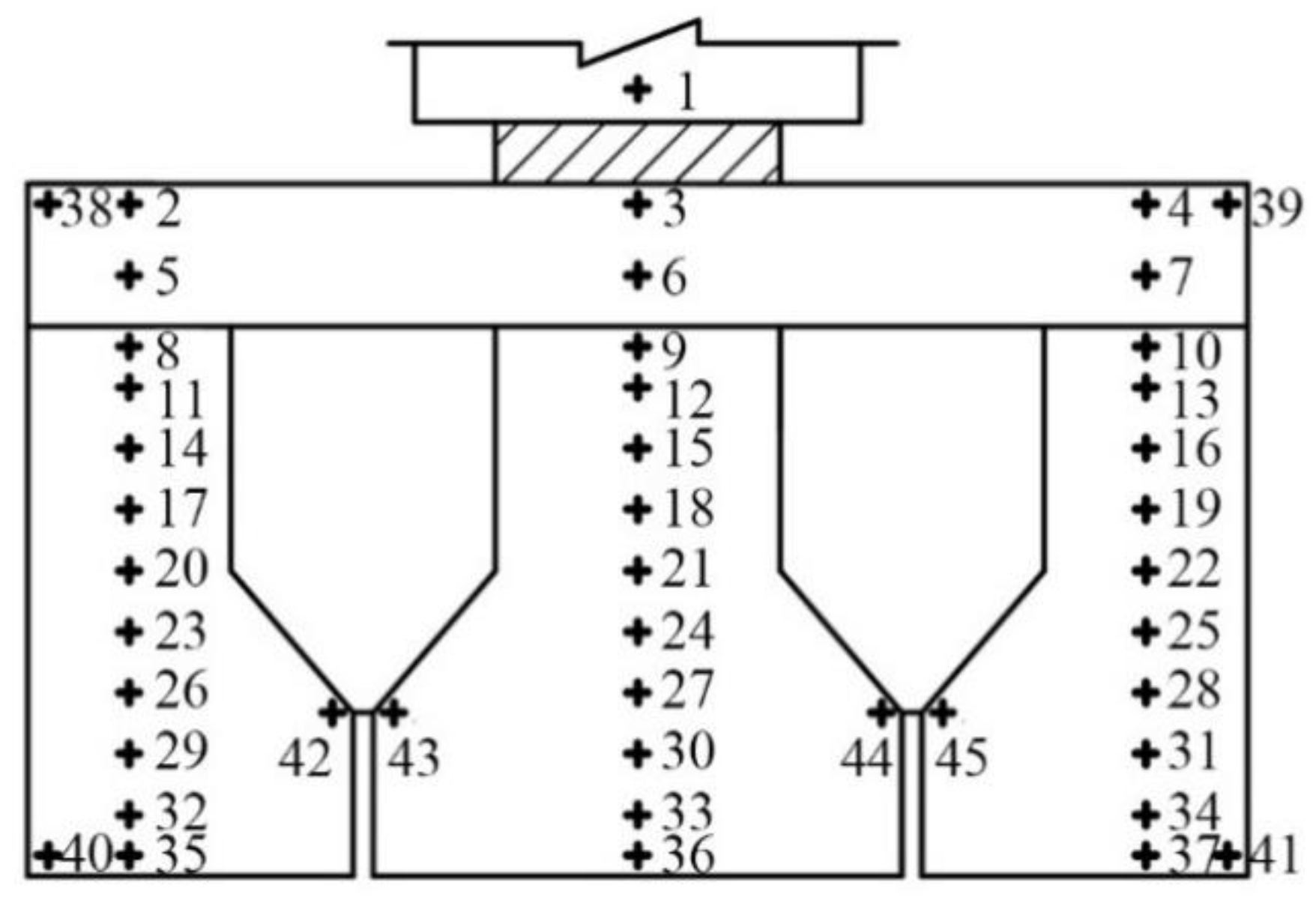
3.1. Configuration
3.2. Specimen Preparation
3.3. Setup
3.4. Test Pocedure
3.5. Results and Discussion
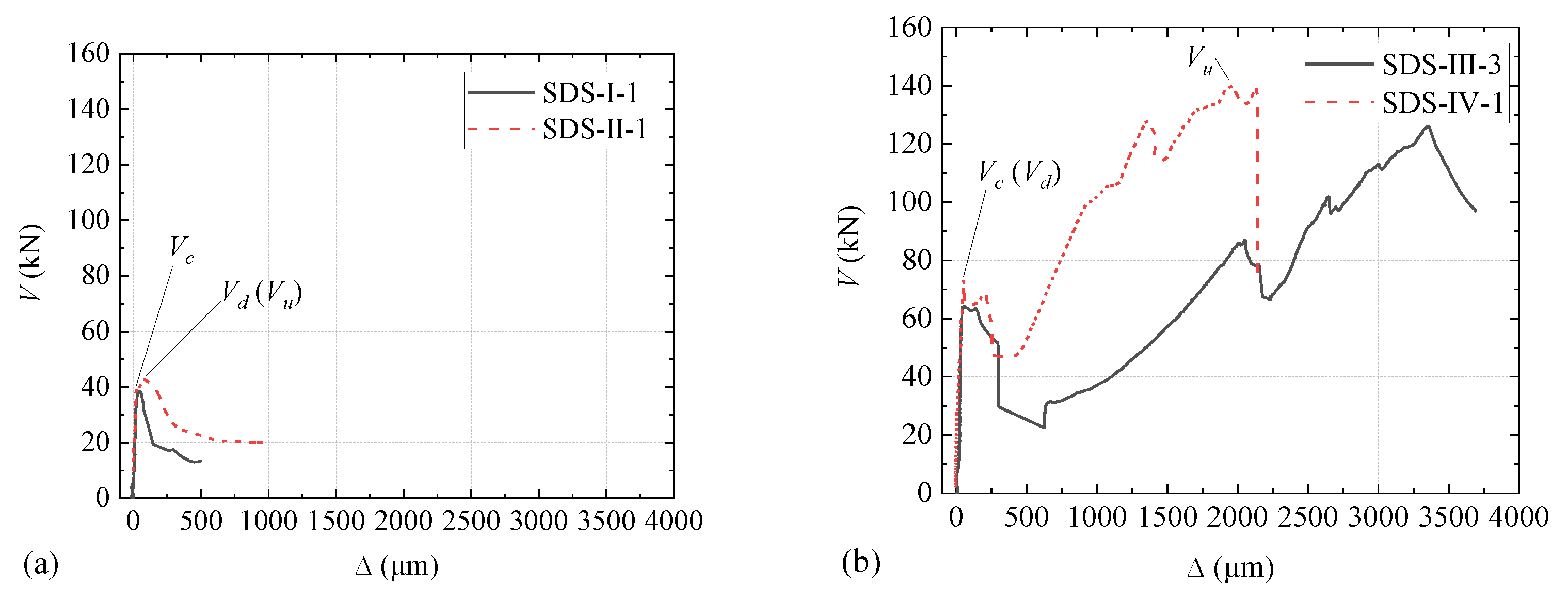
3.5.1. Results of SDS Test
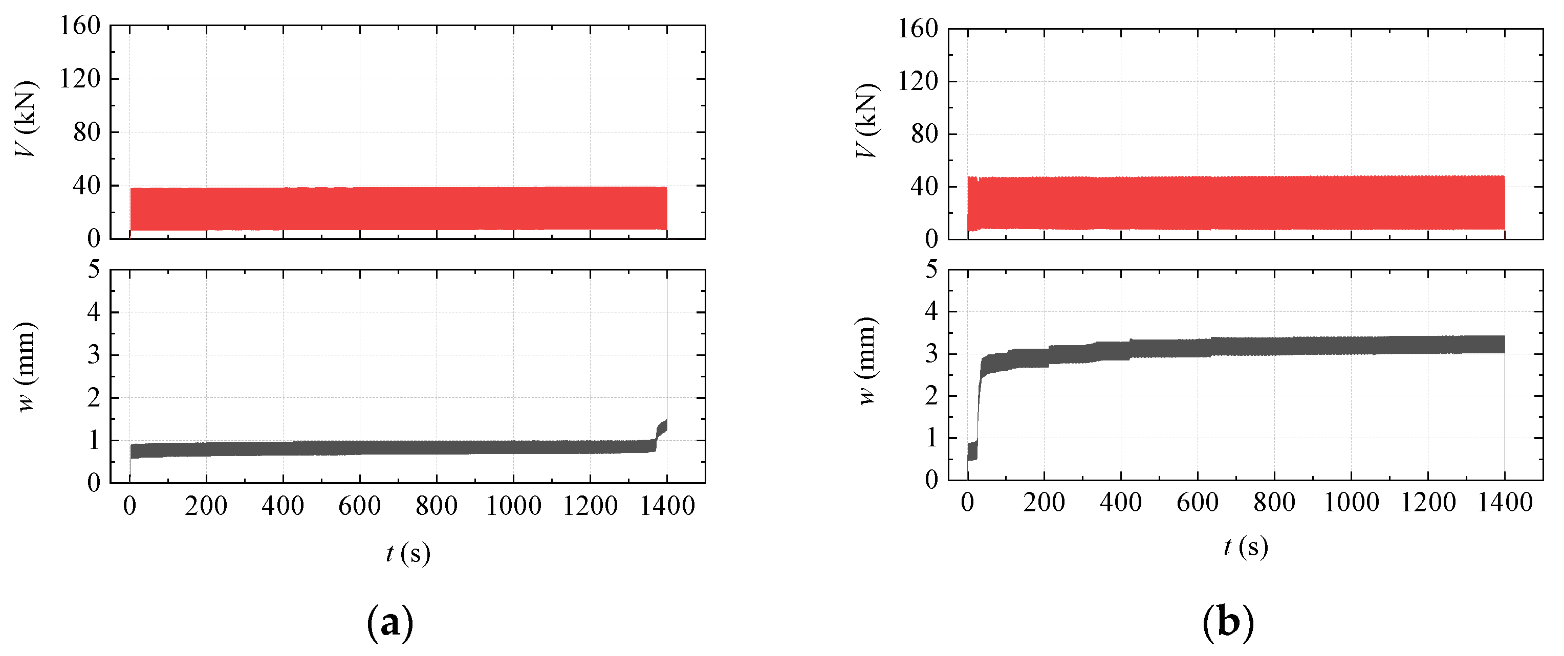
3.5.2. Results of CFS Test
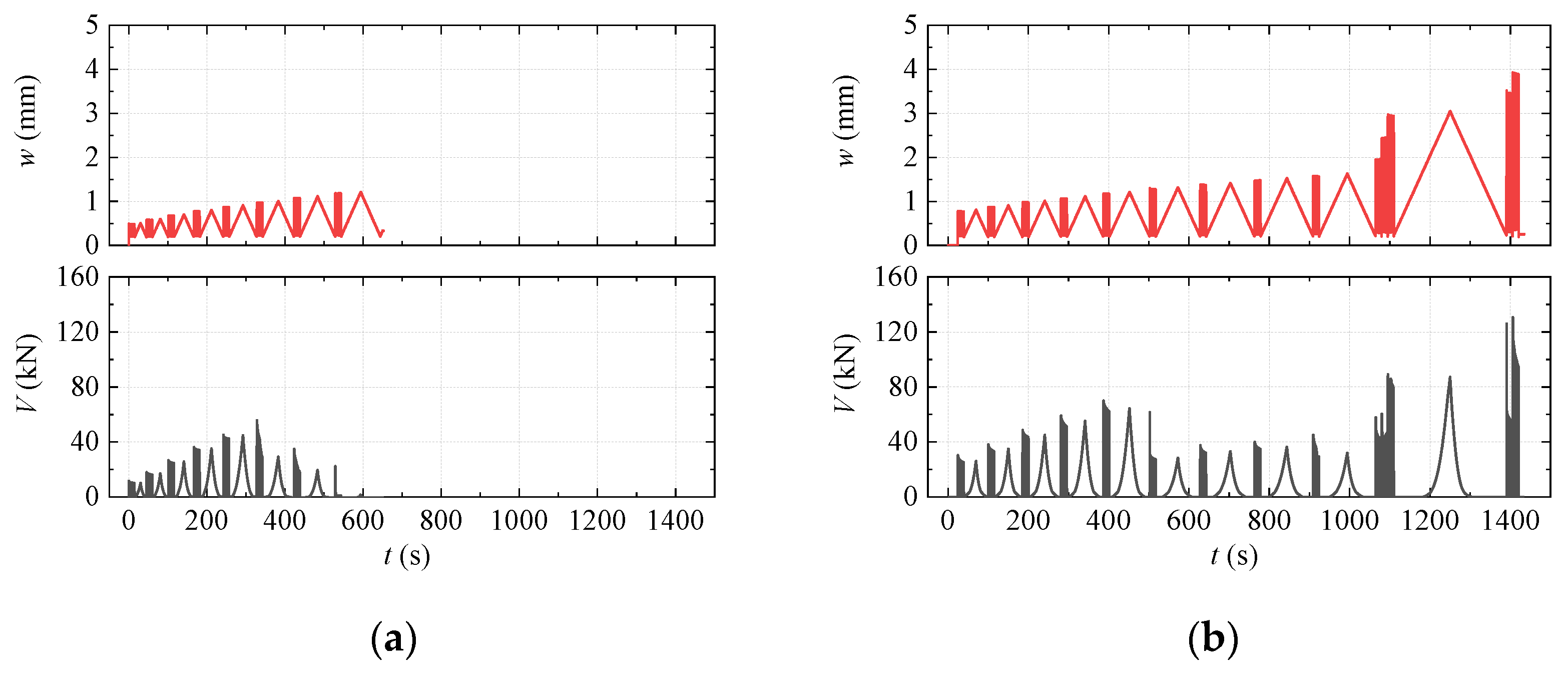
3.5.3. Results of CDS Test
3.5.4. Comparison of Different Connection Types
3.5.5. Relationship between V and ∆
4. FE Analysis
4.1. FEMs
4.2. Traction–Separation Constitutive Model
4.3. FE Results
5. Conclusions
- Adding overlays and reinforcing bars increased Vc and Vu by 53% and 235%, respectively, for the Type I specimen, and by 21% and 187%, respectively, for the Type II specimen.
- All four types of connection could remain intact under the dynamic loading under approximately 0.6Vc. When the Type I and Type II connections cracked, the load transfer failed quickly under cyclic loading. Although the Type III and Type IV connections cracked, the load transfer could still be maintained under a relatively low force or displacement cyclic loading.
- The V-∆ curves for Type I and Type II could be simplified as a bilinear curve; the V-∆ curves for Type III and Type IV could be simplified as a combination of two bilinear curves corresponding to before and after cracking performance, respectively. The corresponding formulas, Equations (3) and (4), were proposed for engineering applications.
- FEM results agreed well with EXP results. Values ranging from 120 MPa to 450 MPa for stiffness components and values ranging from 0.5 MPa to 0.6 MPa for peak stress components were recommended for interface materials with a unit thickness (1 mm) when using the traction–separation model.
Author Contributions
Funding
Institutional Review Board Statement
Informed Consent Statement
Data Availability Statement
Conflicts of Interest
References
- Lall, J.; Alampalli, S.; DiCocco, E.F. Performance of full-depth shear keys in adjacent prestressed box beam bridges. PCI J. 1998, 43, 72–79. [Google Scholar] [CrossRef]
- Russell, H.G. Adjacent Precast Concrete Box Beam Bridges: Connection Details; The National Academies Press: Washington, DC, USA, 2009. [Google Scholar]
- Naito, C.; Sause, R.; Hodgson, I.; Pessiki, S.; Macioce, T. Forensic Examination of a noncomposite adjacent precast prestressed concrete box beam bridge. J. Bridge Eng. 2010, 15, 408–418. [Google Scholar] [CrossRef]
- Huckelbridge, A.A.; El-Esnawi, H.; Moses, F. Shear key performance in multibeam box girder bridges. J. Perform. Constr. Facil. 1995, 9, 271–285. [Google Scholar] [CrossRef]
- Balakumaran, S.S.G.; Kassner, B.L.; Wyers, R.E. Forensic Investigation of Two Voided Slab Bridges in the Virginia Department of Transportation’s Richmond District; Virginia Transportation Research Council: Charlottesville, VA, USA, 2017. [Google Scholar]
- Frosch, R.J.; Williams, C.S.; Molley, R.T.; Whelchel, R.T. Concrete Box Beam Risk Assessment and Mitigation: Volume 2—Evaluation and Structural Behavior; Purdue University: West Lafayette, IN, USA, 2020. [Google Scholar]
- Wang, Q.; Wu, Q.X.; Chen, B.C. Experimental study on failure mode of hinged joint in assembly voided slab bridge. Eng. Mech. 2014, 31 (Suppl. 1), 115–120. [Google Scholar]
- Yuan, J.; Graybeal, B. Full-scale testing of shear key details for precast concrete box-beam bridges. J. Bridge Eng. 2016, 21, 04016043. [Google Scholar] [CrossRef]
- Yuan, J.; Graybeal, B.; Zmetra, K. Adjacent Box Beam Connections: Performance and Optimization; Federal Highway Administration Office of Infrastructure Research and Development: Washington, DC, USA, 2018. [Google Scholar]
- Miller, R.A.; Hlavacs, G.M.; Long, T.; Greuel, A. Full-scale testing of shear keys for adjacent box girder bridges. PCI J. 1999, 44, 80–90. [Google Scholar] [CrossRef] [Green Version]
- Leng, Y.; Zhang, J.; Jiang, R.; Cooper, S.; He, H.; Cheng, S. Experimental research on transverse load distribution of prefabricated hollow slab concrete bridges with hinge joint cracks. In Proceedings of the Transportation Research Board 94th Annual Meeting, Washington, DC, USA, 11–15 January 2015. [Google Scholar]
- Grace, N.F.; Jensen, E.; Bebawy, M. Transverse post-tensioning arrangement for side-by-side box-beam bridges. PCI J. 2012, 57, 48–63. [Google Scholar] [CrossRef]
- Hussein, H.H.; Walsh, K.K.; Sargand, S.M.; Al Rikabi, F.T.; Steinberg, E.P. Modeling the Shear Connection in adjacent box-beam bridges with ultrahigh-performance concrete joints. I: Model calibration and validation. J. Bridge Eng. 2017, 22, 04017043. [Google Scholar] [CrossRef]
- Mutashar, R.; Sargand, S.; Al Rikabi, F.T.; Khoury, I. Response of a composite-adjacent box beam bridge with skewed beams under static and quasi-static loads. J. Perform. Constr. Facil. 2019, 33, 04019022. [Google Scholar] [CrossRef]
- Huckelbridge, A.A.; El-Esnawi, H. Evaluation of Improved Shear Key Designs for Multi-Beam Box Girder Bridges; Department of Civil Engineering, Case Western Reserve University: Cleveland, OH, USA, 1997. [Google Scholar]
- Ulku, E.; Attanayake, U.; Aktan, H.M. Rationally designed staged posttensioning to abate reflective cracking on side-by-side box-beam bridge decks. Transp. Res. Rec. 2010, 2172, 87–95. [Google Scholar] [CrossRef]
- Lopez de Murphy, M.; Kim, J.; Sang, Z.; Xiao, C. Determining More Effective Approaches for Grouting Shear Keys of Adjacent Box Beams; Pennsylvania State University: State College, PA, USA, 2010. [Google Scholar]
- Grace, N.F.; Jensen, E.; Matsagar, V.; Bebawy, M.; Soliman, E.; Hanson, J. Use of Unbonded CFCC for Transverse Post-Tensioning of Side-by-Side Box-Beam Bridges; Michigan Department of Transportation: Lansing, MI, USA, 2008. [Google Scholar]
- Chen, L.F.; Graybeal, B.A. Modeling structural performance of second-generation ultrahigh-performance concrete pi-girders. J. Bridge Eng. 2012, 17, 634–643. [Google Scholar] [CrossRef]
- Hussein, H.H.; Sargand, S.M.; Steinberg, E.P. Shape optimization of UHPC shear keys for precast, prestressed, adjacent box-girder bridges. J. Bridge Eng. 2018, 23, 04018009. [Google Scholar] [CrossRef]
- Mutashar, R.N.; Sargand, S.; Khoury, I.; Al Rikabi, F.T. Influence of nonuniform box beam dimensions and bridge transverse slope on environmentally induced stresses in adjacent box beam bridges. J. Perform. Constr. Facil. 2018, 32, 04018081. [Google Scholar] [CrossRef]
- Porter, S.D.; Julander, J.L.; Halling, M.W.; Barr, P.J.; Boyle, H.; Xing, S. Flexural testing of precast bridge deck panel connections. J. Bridge Eng. 2011, 16, 422–430. [Google Scholar] [CrossRef]
- Habouh, M. Key Way Joint Strength of Precast Box-Beam Bridges. Ph.D. Thesis, University of Akron, Akron, OH, USA, 2015. [Google Scholar]
- Gulyas, R.J.; Wirthlin, G.J.; Champa, J.T. Evaluation of keyway grout test methods for precast concrete bridges. PCI J. 1995, 40, 44–57. [Google Scholar] [CrossRef]
- Gulyas, R.J.; Champa, J.T. Use of composite testing for evaluating of keyway grout for precast prestressed bridge beams. ACI Mater. J. 1997, 94, 244–250. [Google Scholar]
- Issa, M.A.; Valle, C.L.R.D.; Abdalla, H.A.; Islam, S.; Issa, M.A. Performance of transverse joint grout materials in full-depth precast concrete bridge deck systems. PCI J. 2003, 48, 92–103. [Google Scholar] [CrossRef]
- Porter, S.D.; Julander, J.L.; Halling, M.W.; Barr, P.J. Shear testing of precast bridge deck panel transverse connections. J. Perform. Constr. Facil. 2012, 26, 462–468. [Google Scholar] [CrossRef]
- Ye, J.S.; Liu, J.S.; Yu, B.; Fu, Y.X. Experiment on shear property of hinge joints of concrete hollow slab. J. Highw. Transp. Res. Dev. 2013, 30, 33–39. [Google Scholar]
- Hussein, H.H.; Sargand, S.M.; Al Rikabi, F.T.; Steinberg, E.P. Laboratory evaluation of ultrahigh-performance concrete shear key for prestressed adjacent precast concrete box girder bridges. J. Bridge Eng. 2017, 22, 04016113. [Google Scholar] [CrossRef]
- Yi, S.T.; Yang, E.I.; Choi, J.C. Effect of specimen sizes, specimen shapes, and placement directions on compressive strength of concrete. Nucl. Eng. Des. 2006, 236, 115–127. [Google Scholar] [CrossRef]
- Zhang, X.; Zhang, S.; Luo, Y.; Wang, L. Effects of Interface Orientations on Bond Strength between Old Conventional Concrete and New Self-Consolidating Concrete. ACI Struct. J. 2020, 117, 191–201. [Google Scholar]
- Hambly, E.C. Bridge Deck Behavior, 2nd ed.; Chapman & Hall: London, UK, 1991; pp. 71–74. [Google Scholar]
- Precast/Prestressed Concrete Institute (PCI). PCI Bridge Design Manual, 3rd ed.; PCI: Chicago, IL, USA, 2014. [Google Scholar]
- American Association of State Highway and Transportation Officials (AASHTO). AASHTO LRFD Bridge Design Specifications, 8th ed.; American Association of State Highway and Transportation Officials, Inc.: Washington, DC, USA, 2017. [Google Scholar]
- Canadian Standards Association (CSA). Canadian Highway Bridge Design Code; CSA Group: Toronto, ON, Canada, 2019. [Google Scholar]
- Walsh, K.K.; Kelly, B.T.; Steinberg, E.P. Damage identification for prestressed adjacent box-beam bridges. Adv. Civ. Eng. 2014, 2014, 540363. [Google Scholar] [CrossRef] [Green Version]
- Song, G.X. Research on Hinge Joint Damage Identification Method of Hollow Slab Bridge Based on Influence Line of Lateral Load Distribution. Master’s Thesis, Dalian University of Technology, Dalian, China, 2020. [Google Scholar]
- Zhan, J.; Zhang, F.; Siahkouhi, M.; Kong, X.; Xia, H. A damage identification method for connections of adjacent box-beam bridges using vehicle–bridge interaction analysis and model updating. Eng. Struct. 2021, 228, 111551. [Google Scholar] [CrossRef]
- Zhejiang Provincial Department of Transport. Manual for Prevention and Repairing of Typical Defects in Medium and Small Span Bridge; China Communications Press: Beijing, China, 2011; pp. 1–31.
- Ministry of Transport of the People’s Republic of China. JTG D60—2015; General Specifications for Design of Highway Bridges and Culverts. China Communication Press: Beijing, China, 2015.
- Ministry of Construction of the People’s Republic of China. GB/T 50081—2002; Standard for Test Method of Mechanical Properties on Ordinary Concrete. China Architecture & Building Press: Beijing, China, 2003.
- Ministry of Housing and Urban-Rural Development of the People’s Republic of China. GB/T 50107–2010; Standard for Evaluation of Concrete Compressive Strength. China Architecture & Building Press: Beijing, China, 2010.
- Ministry of Housing and Urban-Rural Development of the People’s Republic of China. GB 50107–2010; Code for Design of Concrete Structures. China Architecture & Building Press: Beijing, China, 2015.
- State General Administration of the People’s Republic of China. GB/T 1499.1—2017; Steel for the Reinforcement of Concrete—Part 1: Hot Rolled Plain Bars. China Standard Press: Beijing, China, 2017.
- State General Administration of the People’s Republic of China. GB/T 1499.2—2018; Steel for the Reinforcement of Concrete—Part 2: Hot Rolled Ribbed Bars. China Standard Press: Beijing, China, 2018.
- Chen, W.F.; Saleeb, A.F. Constitutive Equations for Engineering Materials: Elasticity and Modeling; Elsevier Science B.V.: Amsterdam, The Netherlands, 1994; pp. 257–259. [Google Scholar]
- Zhou, Z.; Yuan, G.; Tian, Q. Evaluation method for hinge joint damage in multi-slab girder bridge based on stiffness of hinge joint. China J. Highw. Transp. 2013, 26, 26–121. [Google Scholar]
- Rizkalla, S.H.; Serrette, R.L.; Heuval, J.S.; Attiogbe, E.K. Multiple shear key connections for precast shear wall panels. PCI J. 1989, 34, 104–120. [Google Scholar] [CrossRef]
- Liu, J. Study on the mechanics performance of adherence of young on old concrete. Ph.D. Thesis, Dalian University of Technology, Dalian, China, 2000. [Google Scholar]
- Harries, K.A.; Zeno, G.; Shahrooz, B. Toward an improved understanding of shear-friction behavior. ACI Struct. J. 2012, 109, 835–844. [Google Scholar]
- Liu, J.; Fang, J.X.; Chen, J.J.; Xu, G. Evaluation of design provisions for interface shear transfer between concretes cast at different times. J. Bridge Eng. 2019, 24, 06019002. [Google Scholar] [CrossRef]
- Dassault Systèmes. Abaqus Analysis User’s Guide; Dassault Systèmes: Waltham, MA, USA, 2016. [Google Scholar]
- Bažant, Z.P.; Becq-Giraudon, E. Statistical prediction of fracture parameters of concrete and implications for choice of testing standard. Cem. Concr. Res. 2002, 32, 529–556. [Google Scholar] [CrossRef]

















| Constituent | C30 (kg/m3) | C40 (kg/m3) |
|---|---|---|
| Aggregate | 973 | 1000 |
| Sand | 845 | 791 |
| Cement type 42.5/52.5 1 | 284 | 300 |
| Water | 92 | 89 |
| Fly ash | 35 | 20 |
| Mineral powder | 63 | 94 |
| Polycarboxylates high-performance water-reducing admixture | 8 | 8 |
| Specimen | Vc (kN) | Vp (kN) | Vd (kN) | Vu (kN) | kc (kN/μm) | kp (kN/μm) | ∆p (μm) | ∆u (μm) | Co (μm) |
|---|---|---|---|---|---|---|---|---|---|
| SDS-I-1 | 38.5 | 38.5 | 38.5 | 1.61 | 50 | 50 | |||
| SDS-I-2 | 49.0 | 49.0 | 49.0 | 0.87 | 72 | 72 | |||
| SDS-I-3 | 43.8 | 43.8 | 43.8 | 0.98 | 78 | 78 | |||
| CFS-I-1 1 | 45.4 | 45.4 | 45.4 | 1.15 | 55 | 55 | |||
| Average | 44.2 | 44.2 | 44.2 | ||||||
| SDS-II-1 | 39.3 | 43.0 | 43.0 | 1.52 | 76 | 76 | |||
| SDS-II-2 | 53.2 | 55.5 | 55.5 | 0.43 | 226 | 226 | |||
| SDS-II-3 | 56.4 | 56.4 | 56.4 | 1.31 | 57 | 57 | |||
| CFS-II-2 1 | 72.2 | 72.2 | 72.2 | 1.60 | 45 | 45 | |||
| Average | 54.8 | 56.0 | 56.0 | ||||||
| SDS-III-1 2 | 62.4 | 62.4 | 28.7 | - | - | 27 | - | - | |
| SDS-III-2 | 62.7 | 62.7 | 18.8 | 160.1 | 1.81 | 0.04 | 40 | 4020 | 4378 |
| SDS-III-3 | 71.7 | 71.7 | 46.9 | 139.1 | 1.95 | 0.05 | 68 | 2132 | 3524 |
| CFS-III-1 1 | 73.0 | 73.0 | 53.2 | 145.1 | 2.01 | 0.04 | 55 | 2864 | 4205 |
| Average | 67.5 | 67.5 | 148.1 | ||||||
| SDS-IV-1 | 64.0 | 64.0 | 22.4 | 126.1 | 1.93 | 0.04 | 63 | 3337 | 4743 |
| SDS-IV-2 | 58.0 | 60.5 | 32.0 | 151.6 | 1.04 | 0.04 | 202 | 3287 | 4502 |
| SDS-IV-3 | 55.3 | 55.3 | 27.3 | 164.1 | 2.80 | 0.03 | 55 | 5289 | 6389 |
| CFS-IV-1 1 | 80.0 | 80.0 | 30.9 | 172.5 | 2.40 | 0.04 | 36 | 4092 | 7560 |
| CFS-IV-2 1 | 78.7 | 78.7 | 29.2 | 155.3 | 2.21 | 0.04 | 45 | 4080 | 5020 |
| Average | 66.2 | 70.0 | 160.9 |
| Specimen | V (kN) | V/Vc (%) | Cracked? | Failed? | Number of Cycles (Count) |
|---|---|---|---|---|---|
| CFS-I-1 | 30 | 68 | No | No | 1400 |
| CFS-I-2 | 35 | 79 | Yes | Yes | 10 |
| CFS-I-3 | 35 | 79 | Yes | Yes | 121 |
| CFS-II-1 | 35 | 64 | No | No | 1400 |
| CFS-II-2 | 40 | 73 | Yes | Yes | 1314 |
| CFS-II-3 | 40 | 73 | No | No | 1400 |
| CFS-III-1 | 40 | 59 | No | No | 1400 |
| CFS-III-2 | 45 | 67 | Yes | No | 28 |
| CFS-III-3 | 45 | 67 | Yes | No | 20 |
| CFS-IV-1 | 40 | 60 | No | No | 1400 |
| CFS-IV-2 | 45 | 68 | No | No | 1400 |
| CFS-IV-3 | 50 | 76 | Yes | No | 25 |
| Specimen | Failed? | ||
|---|---|---|---|
| CFS-I-1 | 38.4 | Yes | |
| CFS-I-2 | 48.5 | Yes | |
| CFS-I-3 | 44.9 | Yes | |
| Average | 43.9 | ||
| CFS-II-1 | 55.3 | Yes | |
| CFS-II-2 | 44.2 | Yes | |
| CFS-II-3 | 55.8 | Yes | |
| Average | 51.8 | ||
| CFS-III-1 | 61.7 | 130.6 | Yes |
| CFS-III-2 | 66.4 | 147.9 | Yes |
| CFS-III-3 1 | - | - | |
| Average | 64.1 | 139.3 | |
| CFS-IV-1 2 | 62.4 | >93.5 | No |
| CFS-IV-2 2 | 73.4 | >125.0 | No |
| CFS-IV-3 | 72.0 | 127.1 | Yes |
| Average | 69.3 | - |
Publisher’s Note: MDPI stays neutral with regard to jurisdictional claims in published maps and institutional affiliations. |
© 2022 by the authors. Licensee MDPI, Basel, Switzerland. This article is an open access article distributed under the terms and conditions of the Creative Commons Attribution (CC BY) license (https://creativecommons.org/licenses/by/4.0/).
Share and Cite
Ni, X.; Anselme, A.O.; Wang, G.; Xing, Y.; Xu, R. Experimental Investigation of Shear Keys for Adjacent Precast Concrete Box Beam Bridges. Materials 2022, 15, 1459. https://doi.org/10.3390/ma15041459
Ni X, Anselme AO, Wang G, Xing Y, Xu R. Experimental Investigation of Shear Keys for Adjacent Precast Concrete Box Beam Bridges. Materials. 2022; 15(4):1459. https://doi.org/10.3390/ma15041459
Chicago/Turabian StyleNi, Xiaojing, Ahehehinnou Ougbe Anselme, Guannan Wang, Yuan Xing, and Rongqiao Xu. 2022. "Experimental Investigation of Shear Keys for Adjacent Precast Concrete Box Beam Bridges" Materials 15, no. 4: 1459. https://doi.org/10.3390/ma15041459
APA StyleNi, X., Anselme, A. O., Wang, G., Xing, Y., & Xu, R. (2022). Experimental Investigation of Shear Keys for Adjacent Precast Concrete Box Beam Bridges. Materials, 15(4), 1459. https://doi.org/10.3390/ma15041459

