Investigation of Degradation of Composites Based on Unsaturated Polyester Resin and Vinyl Ester Resin
Abstract
:1. Introduction
2. Materials and Methods
2.1. Chemicals
2.2. Curing Conditions
2.3. Specimen Preparation
2.4. Research Methods
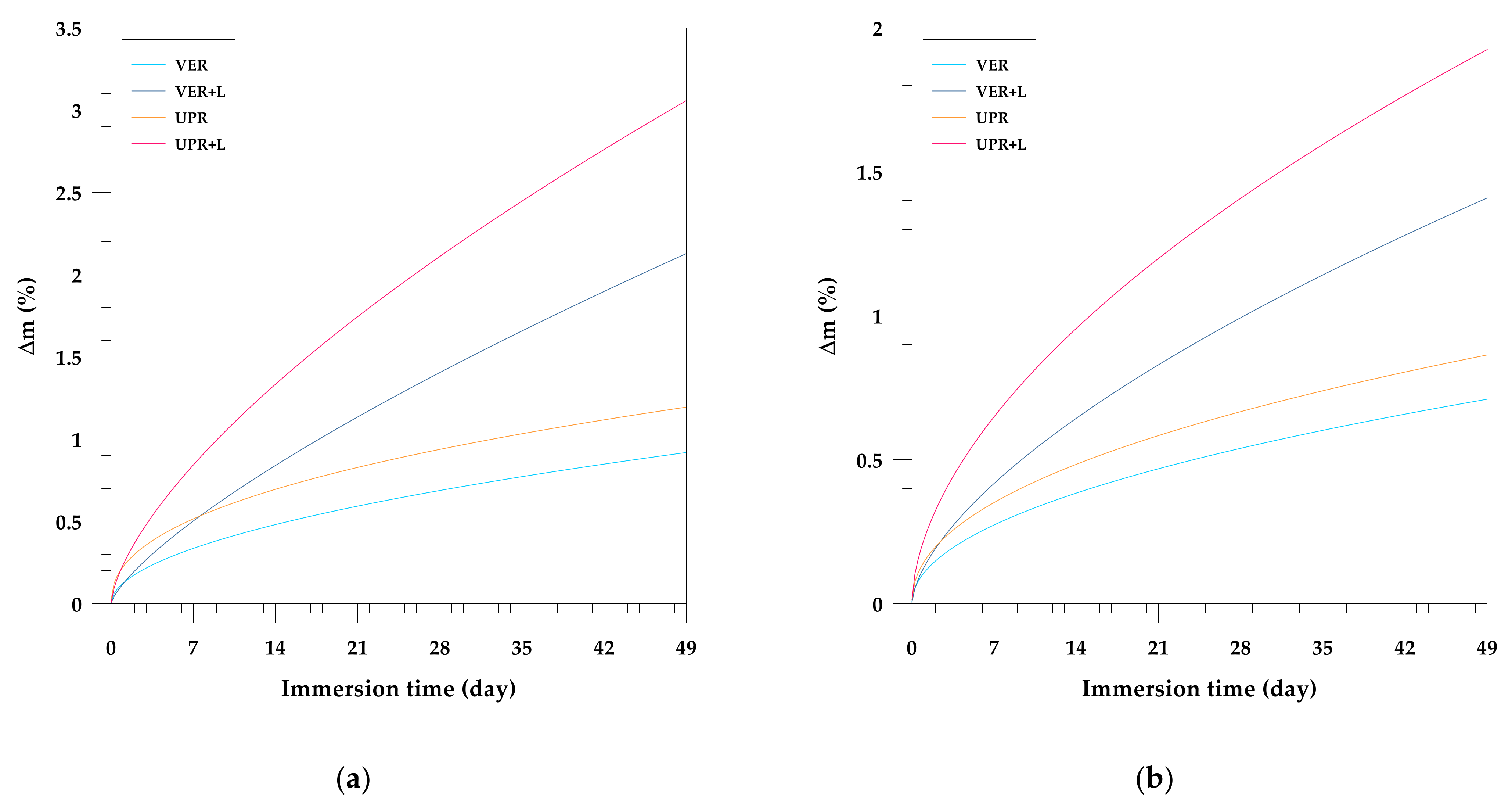
2.4.1. Immersion Degradation
2.4.2. Accelerated Aging Test
2.4.3. Microwave-Assisted Degradation
2.4.4. Thermo-Oxidative and Thermomechanical Degradation
2.4.5. Mechanical Properties
2.4.6. FT-IR Spectroscopy Analysis
3. Results and Discussion
4. Conclusions
Author Contributions
Funding
Institutional Review Board Statement
Informed Consent Statement
Data Availability Statement
Acknowledgments
Conflicts of Interest
References
- Hatakeyama, H.; Hatakeyama, T. Lignin structure, properties, and application. Adv. Polym. Sci. 2010, 232, 1–63. [Google Scholar]
- Chen, H. (Ed.) Lignocellulose biorefinery feedstock engineering. In Lignocellulose Biorefinery Engineering. Principles and Applications; Woodhead Publishing: Cambridge, UK, 2015; pp. 37–85. ISBN 978-0-08-100135-6. [Google Scholar] [CrossRef]
- Yang, W.; Owczarek, J.; Fortunati, E.; Kozanecki, M.; Mazzaglia, A.; Balestra, G.; Kenny, J.; Torre, L.; Puglia, D. Antioxidant and antibacterial lignin nanoparticles in polyvinyl alcohol/chitosan films for active packaging. Ind. Crops Prod. 2016, 94, 800–811. [Google Scholar] [CrossRef]
- Pan, X.; Kadla, J.F.; Ehara, K.; Gilkes, N.; Saddler, J.N. Organosolv ethanol lignin fracom hybrid poplar as a radical scavenger: Relationship between lignin structure, extraction conditions, and antioxidant activity. J. Agric. Food Chem. 2006, 54, 5806–5813. [Google Scholar] [CrossRef] [PubMed]
- Qian, Y.; Zhong, X.; Li, Y.; Qiu, X. Fabrication of uniform lignin colloidal spheres for developing natural broad-spectrum sunscreens with high sun protection factor. Ind. Crops Prod. 2017, 101, 54–60. [Google Scholar] [CrossRef]
- Sugiarto, S.; Leow, Y.; Tan, C.L.; Wang, G.; Kai, D. How far is Lignin from being a biomedical material? Bioact. Mater. 2022, 8, 71–94. [Google Scholar] [CrossRef]
- Lizundia, E.; Sipponen, M.H.; Greca, L.G.; Balakshin, M.; Tardy, B.L.; Rojas, O.J.; Puglia, D. Multifunctional lignin-based nanocomposites and nanohybrids. Green Chem. 2021, 23, 6698–6760. [Google Scholar] [CrossRef] [PubMed]
- Manjarrez Nevárez, L.; Ballinas Casarrubias, L.; Solís Canto, O.; Celzard, A.; Fierro, V.; Ibarra Gómez, R.; González Sánchez, G. Biopolymers-based nanocomposites: Membranes from propionated lignin and cellulose for water purification. Carbohydr. Polym. 2011, 86, 732–741. [Google Scholar] [CrossRef]
- Witzler, M.; Alzagameem, A.; Bergs, M.; Khaldi-Hansen, B.E.; Klein, S.E.; Hielscher, D.; Kamm, B.; Kreyenschmidt, J.; Tobiasch, E.; Schulze, M. Lignin-derived biomaterials for drug release and tissue engineering. Molecules 2018, 23, 1885. [Google Scholar] [CrossRef] [Green Version]
- Haile, A.; Gelebo, G.G.; Tesfaye, T.; Mengie, W.; Mebrate, M.A.; Abuhay, A.; Limeneh, D.Y. Pulp and paper mill wastes: Utilizations and prospects for high value-added biomaterials. Bioresour. Bioprocess. 2021, 8, 35. [Google Scholar] [CrossRef]
- Ashori, A. Municipal solid waste as a source of lignocellulosic fiber and plastic for composite industries. Polym. Plast. Technol. Eng. 2008, 741–744. [Google Scholar] [CrossRef]
- Rhim, J.-W.; Park, H.-M.; Ha, C.-S. Bio-nanocomposites for food packaging applications. Prog. Polym. Sci. 2013, 38, 1629–1652. [Google Scholar] [CrossRef]
- Llovera, L.; Benjelloun-Mlayah, B.; Delmas, M. Organic acid lignin-based polyurethane films: Synthesis parameter optimization. Bioresources 2016, 11, 6320–6334. [Google Scholar] [CrossRef] [Green Version]
- Zhang, Z.; Terrasson, V.; Guénin, E. Lignin nanoparticles and their nanocomposites. Nanomaterials 2021, 11, 1336. [Google Scholar] [CrossRef]
- Vásquez-Garay, F.; Carrillo-Varela, I.; Vidal, C.; Reyes-Contreras, P.; Faccini, M.; Teixeira Mendonça, R. A review on the Lignin biopolymer and its integration in the elaboration of sustainable materials. Sustainability 2021, 13, 2697. [Google Scholar] [CrossRef]
- Mohd Nurazzi, N.; Khalina, A.; Sapuan, S.M.; Dayang Laila, A.M.; Rahmah, M. Curing behaviour of unsaturated polyester resin and interfacial shear stress of sugar palm fibre. J. Mech. Eng. Sci. 2017, 11, 2650–2664. [Google Scholar] [CrossRef]
- Mohd Nurazzi, N.; Khalina, A.; Sapuan, S.M.; Dayang Laila, A.H.A.M.; Rahmah, M.; Hanafee, Z. A review: Fibres, polymer matrices and composites. Pertanika J. Sci. Technol. 2017, 25, 1085–1102. [Google Scholar]
- Unsaturated Polyester Resin Market Forecast, Trend Analysis & Competition Tracking—Global Market Insights 2020 to 2030. Available online: https://www.factmr.com/report/4731/unsaturated-polyester-resin-market (accessed on 1 December 2021).
- Gibbs, B.F.; Mulligan, C.N. Styrene toxicity: An ecotoxicological assessment. Ecotoxicol. Environ. Saf. 1997, 38, 181–194. [Google Scholar] [CrossRef] [PubMed]
- Chabros, A.; Gawdzik, B.; Podkościelna, B.; Goliszek, M.; Pączkowski, P. Composites of unsaturated polyester resins with microcrystalline cellulose and its derivatives. Materials 2020, 13, 62. [Google Scholar] [CrossRef] [PubMed] [Green Version]
- Gawdzik, B.; Matynia, T. Synthesis and modification of epoxy-based divinyl ester resin. J. Appl. Polym. Sci. 2001, 81, 2062–2067. [Google Scholar] [CrossRef]
- Kandelbauer, A.; Tondi, G.; Zaske, O.C.; Goodman, S.H. Unsaturated polyesters and vinyl esters. In Handbook of Thermoset Plastics, 3rd ed.; Dodiuk, H., Goodman, S.H., Eds.; William Andrew: San Diego, CA, USA, 2014; pp. 111–172. ISBN 978-1-4557-3107-7. [Google Scholar] [CrossRef]
- Józefiak, K.; Michalczyk, R. Prediction of structural performance of vinyl ester polymer concrete using FEM elasto-plastic model. Materials 2020, 13, 4034. [Google Scholar] [CrossRef]
- Sokoli, H.U.; Søgaard, E.G. Supercritical degradation of unsaturated polyester resin composites using alcohols. Chem. Eng. Trans. 2015, 43, 967–972. [Google Scholar] [CrossRef]
- Gawdzik, B.; Sevastyanova, O. Special issue: “Environmentally friendly polymeric blends from renewable sources”. Materials 2021, 14, 4858. [Google Scholar] [CrossRef]
- Marcovich, N.E.; Reboredo, M.M.; Aranguren, M.I. Mechanical properties of woodflour unsaturated polyester composites. J. Appl. Polym. Sci. 1998, 70, 2121–2131. [Google Scholar] [CrossRef]
- Ali, J.B.; Musa, A.B.; Danladi, A.; Bukhari, M.M.; Nyakuma, B.B. Physico-mechanical properties of unsaturated polyester resin reinforced maize cob and jute fiber composites. J. Nat. Fibers 2020, 1–12. [Google Scholar] [CrossRef]
- Ikladious, N.E.; Shukry, N.; El-Kalyoubi, S.F.; Asaad, J.N.; Mansour, S.H.; Tawfik, S.Y.; Abou-Zeid, R.E. Eco-friendly composites based on peanut shell powder/unsaturated polyester resin. Proc. Inst. Mech. Eng. Part L J. Mater. Des. Appl. 2017, 233, 955–964. [Google Scholar] [CrossRef]
- Tran, D.T.; Nguyen, D.M.; Ha Thuc, C.N.; Dang, T.T. Effect of coupling agents on the properties of bamboo fiber-reinforced unsaturated polyester resin composites. Compos. Interfaces 2013, 20, 343–353. [Google Scholar] [CrossRef]
- Wahono, S.; Irwan, A.; Syafri, E.; Asrofi, M. Preparation and characterization of ramie cellulose nanofibers/CaCO3 unsaturated polyester resin composites. ARPN J. Eng. Appl. Sci. 2018, 13, 746–751. [Google Scholar]
- Ismail, M.; Foisal, M.R.A.; Kumer, A.; Nasrin, O.T.; Islam, M.Z. The Investigations on the physico-mechanical properties of jute fiber reinforced unsaturated polyester resin (UPR) composites. Chem. Sci. Int. J. 2018, 22, 1–14. [Google Scholar] [CrossRef]
- Ahamd, I.; Mei, T.M. Mechanical and morphological studies of rubber wood sawdust-filled UPR composite based on recycled PET. Polym. Plast. Technol. Eng. 2009, 48, 1262–1268. [Google Scholar] [CrossRef]
- Farahani, G.N.; Ahmad, I.; Masadeghzad, Z. Effect of fiber content, fiber length and alkali treatment on properties of kenaf fiber/UPR composites based on recycled PET wastes. Polym. Plast. Technol. Eng. 2012, 51, 634–639. [Google Scholar] [CrossRef]
- Abdul Khalil, H.P.S.; Masri, M.; Saurabh, C.K.; Fazita, M.R.N.; Azniwati, A.A.; Sri Aprilia, N.A.; Rosamah, E.; Dungani, R. Incorporation of coconut shell based nanoparticles in kenaf/coconut fibres reinforced vinyl ester composites. Mater. Res. Express 2017, 4, 035020. [Google Scholar]
- David Gnanaraj, J.; Mothilal, S.; Vignesh, V.; Karthick, T.; Ismail, S.O.; Rajini, N.; Rabi, B.R.M.; Siengchin, S.; Mohammad, F. Investigation into mechanical, thermal and water absorption behaviors of cocos nucifera shell filler reinforced vinyl ester polymeric composites. J. Polym. Environ. 2021. [Google Scholar] [CrossRef]
- Fairuz, A.M.; Sapuan, S.M.; Zainudin, E.S.; Jaafar, C.N.A. Effect of filler loading on mechanical properties of pultruded kenaf fibre reinforced vinyl ester composites. J. Mech. Eng. Sci. JMES 2016, 10, 1931–1942. [Google Scholar] [CrossRef]
- Nagaprasad, N.; Stalin, B.; Vignesh, V.; Ravichandran, M.; Rajini, N.; Ismail, S.O. Effect of cellulosic filler loading on mechanical and thermal properties of date palm seed/vinyl ester composites. Int. J. Biol. Macromol. 2020, 147, 53–66. [Google Scholar] [CrossRef]
- Goliszek, M.; Podkościelna, B.; Sevastyanova, O.; Fila, K.; Chabros, A.; Pączkowski, P. Investigation of accelerated aging of lignin-containing polymer materials. Int. J. Biol. Macromol. 2019, 123, 910–922. [Google Scholar] [CrossRef]
- Bulak, P.; Proc, K.; Pytlak, A.; Puszka, A.; Gawdzik, B.; Bieganowski, A. Biodegradation of different types of plastics by tenebrio molitor insect. Polymers 2021, 13, 3508. [Google Scholar] [CrossRef]
- Vohlídal, J. Polymer degradation: A short review. Chem. Teach. Int. 2021, 3, 213–220. [Google Scholar] [CrossRef]
- Achilias, D.S. Polymer degradation under microwave irradiation. In Microwave-Assisted Polymer Synthesis. Advances in Polymer Science; Hoogenboom, R., Schubert, U.S., Wiesbrock, F., Eds.; Springer: Berlin/Heidelberg, Germany, 2014; Volume 274, pp. 309–346. [Google Scholar] [CrossRef]
- Czarnecki, G.; Haas, J.; Ripberger, E.; Meilunas, R.; Milan, W. Thermal degradation of composites. In Proceedings of the 52nd AIAA/ASME/ASCE/AHS/ASC Structures, Structural Dynamics and Materials Conference, Denver, CO, USA, 4–7 April 2011; American Institute of Aeronautics and Astronautics: Reston, VA, USA, 2011. [Google Scholar] [CrossRef]
- Galos, J. Microwave processing of carbon fibre polymer composites: A review. Polym. Polym. Compos. 2021, 29, 151–162. [Google Scholar] [CrossRef]
- Brebu, M. Environmental degradation of plastic composites with natural fillers—A review. Polymers 2020, 12, 166. [Google Scholar] [CrossRef] [Green Version]
- Tokiwa, Y.; Calabia, B.P.; Ugwu, C.U.; Aiba, S. Biodegradability of plastics. Int. J. Mol. Sci. 2009, 10, 3722–3742. [Google Scholar] [CrossRef]
- Breister, A.M.; Imam, M.A.; Zhou, Z.; Ahsan, M.A.; Noveron, J.C.; Anantharaman, K. Soil microbiomes mediate degradation of vinyl ester-based polymer composites. Commun. Mater. 2020, 1, 101. [Google Scholar] [CrossRef]
- Blanco, I. Lifetime prediction of polymers: To bet, or not to bet—Is this the question? Materials 2018, 11, 1383. [Google Scholar] [CrossRef] [PubMed] [Green Version]
- Pączkowski, P.; Puszka, A.; Miazga-Karska, M.; Ginalska, G.; Gawdzik, B. Synthesis, characterization and testing of antimicrobial activity of composites of unsaturated polyester resins with wood flour and silver nanoparticles. Materials 2021, 14, 1122. [Google Scholar] [CrossRef] [PubMed]
- EN ISO. 175:2010 Plastics—Methods of Test for the Determination of the Effects of Immersion in Liquid Chemicals; International Organization of Standardization: Geneva, Switzerland, 2010. [Google Scholar]
- EN ISO. 4892-2:2013 Plastics—Plastics—Methods of Exposure to Laboratory Light Sources—Part 2: Xenon-arc Lamps; International Organization of Standardization: Geneva, Switzerland, 2013. [Google Scholar]
- EN ISO. 11358-1:2014—Plastics—Thermogravimetry (TG) of Polymers—Part 1: General Principles; International Organization of Standardization: Geneva, Switzerland, 2014. [Google Scholar]
- EN ISO. 6721-1:2019 Plastics—Determination of Dynamic Mechanical Properties—Part 1: General Principles; International Organization of Standardization: Geneva, Switzerland, 2019. [Google Scholar]
- EN ISO. 178:2019—Plastics—Determination of Flexural Properties; International Organization of Standardization: Geneva, Switzerland, 2019. [Google Scholar]
- EN ISO. 868:2003 Plastics—Plastics and Ebonite—Determination of Indentation Hardness by Means of a Durometer (Shore Hardness); International Organization of Standardization: Geneva, Switzerland, 2003. [Google Scholar]
- Silva, M.P.; Santos, P.; Parente, J.M.; Valvez, S.; Reis, P.N.B.; Piedade, A.P. Effect of post-cure on the static and viscoelastic properties of a polyester resin. Polymers 2020, 12, 1927. [Google Scholar] [CrossRef] [PubMed]
- Pączkowski, P.; Puszka, A.; Gawdzik, B. Green composites based on unsaturated polyester resin from recycled poly (ethylene terephthalate) with wood flour as filler—Synthesis, characterization and aging effect. Polymers 2020, 12, 2966. [Google Scholar] [CrossRef] [PubMed]
- Bélan, F.; Bellenger, V.; Mortaigne, B. Hydrolytic stability of unsaturated polyester networks with controlled chain ends. Polym. Degrad. Stab. 1997, 56, 93–102. [Google Scholar] [CrossRef]
- Visco, A.M.; Brancato, V.; Campo, N. Degradation effects in polyester and vinyl ester resins induced by accelerated aging in seawater. J. Compos. Mater. 2011, 46, 2025–2040. [Google Scholar] [CrossRef]
- Pączkowski, P.; Puszka, A.; Gawdzik, B. Effect of eco-friendly peanut shell powder on the chemical resistance, physical, thermal, and thermomechanical properties of unsaturated polyester resin composites. Polymers 2021, 13, 3690. [Google Scholar] [CrossRef] [PubMed]
- Pillay, S.; Vaidya, U.K.; Janowski, G.M. Effects of moisture and UV exposure on liquid molded carbon fabric reinforced nylon 6 composite laminates. Comp. Sci. Technol. 2009, 69, 839–846. [Google Scholar] [CrossRef]
- Sampers, J.; Hutten, E.; Gijman, P. Accelerated weathering of unsaturated polyester resins. Aspects of appearance change. Polym. Test. 2015, 44, 208–233. [Google Scholar] [CrossRef]
- Ariawan, D.; Salim, M.S.; Taib, R.M.; Thirmizir, M.Z.A.; Ishak, Z.A.M. Durability of alkali and heat-treated kenaf fiber/unsaturated polyester composite fabricated by resin transfer molding under natural weathering exposure. Adv. Polym. Technol. 2018, 37, 1420–1434. [Google Scholar] [CrossRef] [Green Version]
- Azwa, Z.N.; Yousif, B.F.; Manalo, A.C.; Karunasena, W. A review on the degradability of polymeric composites based on natural fibres. Mater. Des. 2013, 47, 424–442. [Google Scholar] [CrossRef] [Green Version]
- Alia, C.; Jofre-Reche, J.; Suárez, J.C.; Arenas, J.M.; Martín-Martínez, J.M. Characterization of the chemical structure of vinyl ester resin in a climate chamber under different conditions of degradation. Polym. Degrad. Stab. 2018, 153, 88–99. [Google Scholar] [CrossRef]
- Michaille, S.; Arlaud, P.; Lemaire, J. Photolyse et photo-oxydation de polyesters insatures—1. Comportement du polymaleate de propylene glycol reticule ou non. Eur. Polym. J. 1992, 28, 321–331. [Google Scholar] [CrossRef]
- Cicala, G.; Saccullo, G.; Blanco, I.; Samal, S.; Battiato, S.; Dattilo, S.; Saake, B. Polylactide/lignin blends. J. Therm. Anal. Calorim. 2017, 130, 515–524. [Google Scholar] [CrossRef]
- Jacob, J.; Chia, L.H.L.; Boey, F.Y.C. Thermal and non-thermal interaction of microwave radiation with materials. J. Mater. Sci. 1995, 30, 5321–5327. [Google Scholar] [CrossRef]
- Thostenson, E.T.; Chou, T.W. Microwave processing: Fundamentals and applications. Compos. Part A Appl. Sci. Manuf. 1999, 30, 1055–1071. [Google Scholar] [CrossRef]
- Bai, X.; Mu, Z. Research and development of microware irradiation technology in polymer synthesis. IOP Conf. Ser. Mater. Sci. Eng. 2019, 562, 012120. [Google Scholar] [CrossRef]
- Boinard, E.; Pethrick, R.A.; Dalzel-Job, J.; MacFarlane, C.J. Influence of resin chemistry on water uptake and environmental ageing in glass fibre reinforced composites-polyester and vinyl ester laminates. J. Mater. Sci. 2000, 35, 1931–1937. [Google Scholar] [CrossRef]
- Marais, S.; Metayer, M.; Nguyen, T.Q.; Labbe, M.; Saiter, J.M. Diffusion and permeation of water through unsaturated polyester resins-influence of resin curing. Eur. Polym. J. 2000, 36, 453–462. [Google Scholar] [CrossRef]
- Dewi, R.K.; Zuhroh, S.T.; Zulaikha, S. Delignification of chandlenut shell waste with alkali pretreatment method as an alternative fuel feedstock. Int. J. Mech. Eng. Technol. 2018, 9, 271–278. [Google Scholar]
- Dewi, R.K.; Hudha, M.I.; Rauda, A.; Tsulusia, S. Chemical and physical process combinations: Microwave in lignin degradation of pecan shells as alternative fuel raw materials. Atlantis Highlights Chem. Pharm. Sci. 2019, 1, 63–67. [Google Scholar] [CrossRef] [Green Version]









| Sample | Composition (Weight Proportion) | ||
|---|---|---|---|
| UPR 1 (wt.%) | VER 2 (wt.%) | L 3 (wt.%) | |
| pure UPR | 100 | - | - |
| UPR + L | 90 | - | 10 |
| pure VER | - | 100 | - |
| VER + L | - | 90 | 10 |
| Sample | ||||||
|---|---|---|---|---|---|---|
| pure UPR | 299 | 336 | 392 | 394; 519 | −85.18; −14.14 | - |
| UPR + L | 294 | 332 | 390 | 392; 478 | −73.49; −19.13 | 2.80 |
| pure VER | 341 | 365 | 422 | 427; 518 | −73.00; −26,88 | - |
| VER + L | 312 | 357 | 416 | 413; 483 | −74.87; −15.91 | 2.65 |
| Sample | Shore Hardness(ShD) | |||
|---|---|---|---|---|
| Before Degradation | Microwave Treatment | UV Treatment | NaOH Treatment | |
| pure UPR | 83.0 | 83.6 | 83.4 | 83.4 |
| UPR + L | 82.6 | 78.2 | 82.2 | 82.8 |
| pure VER | 82.8 | 83.4 | 83.4 | 83.8 |
| VER + L | 82.2 | 80.7 | 82.0 | 82.8 |
| Sample | Type of Degradation | 1 | (°C) 2 | 3 | (°C) 4 | ||||||
| (20 °C) (GPa) | (180 °C) (MPa) | From tan δ | |||||||||
| Before | After | Before | After | Before | After | Before | After | Before | After | ||
| UPR | Dist. H2O | 3.09 | 2.70 | 22.05 | 21.85 | 129.3 | 120.5 | 0.48 | 0.45 | 44.23 | 47.99 |
| UV | 3.03 | 22.48 | 130.6 | 0.50 | 38.37 | ||||||
| microwave | 3.02 | 19.97 | 132.3 | 0.49 | 39.98 | ||||||
| NaOH | 2.13 | 26.95 | 122.4 | 0.38 | 42.23 | ||||||
| UPR + L | Dist. H2O | 3.04 | 2.34 | 36.09 | 21.80 | 127.7 | 120.7 | 0.41 | 0.41 | 38.13 | 41.45 |
| UV | 3.16 | 34.34 | 129.2 | 0.43 | 35.98 | ||||||
| microwave | 2.35 | 25.74 | 134.4 | 0.44 | 38.30 | ||||||
| NaOH | 2.16 | 28.80 | 121.3 | 0.33 | 36.89 | ||||||
| VER | Dist. H2O | 2.82 | 2.95 | 13.23 | 13.81 | 133.3 | 114.9 | 0.77 | 0.86 | 41.20 | 43.02 |
| UV | 3.13 | 11.79 | 131.7 | 0.91 | 22.40 | ||||||
| microwave | 2.87 | 12.48 | 134.0 | 0.67 | 35.67 | ||||||
| NaOH | 2.92 | 13.53 | 117.3 | 0.87 | 39.28 | ||||||
| VER + L | Dist. H2O | 3.00 | 2.86 | 19.56 | 12.28 | 121.2 | 116.2 | 0.70 | 0.80 | 30.72 | 29.51 |
| UV | 3.15 | 18.06 | 126.9 | 0.65 | 30.82 | ||||||
| microwave | 2.31 | 17.23 | 145.9 | 0.67 | 21.46 | ||||||
| NaOH | 2.23 | 12.54 | 116.6 | 0.76 | 31.09 | ||||||
| Sample | EMod (GPa) 1 | At (%) 2 | σmax (MPa) 3 |
|---|---|---|---|
| UPR | 3.69 ± 0.02 | 1.27 ± 0.04 | 46.86 ± 1.23 |
| UPR + L | 3.68 ± 0.01 | 1.43 ± 0.07 | 51.41 ± 0.58 |
| VER | 3.82 ± 0.03 | 2.01 ± 0.05 | 77.70 ± 2.54 |
| VER + L | 3.87 ± 0.01 | 1.58 ± 0.01 | 59.91 ± 0.86 |
Publisher’s Note: MDPI stays neutral with regard to jurisdictional claims in published maps and institutional affiliations. |
© 2022 by the authors. Licensee MDPI, Basel, Switzerland. This article is an open access article distributed under the terms and conditions of the Creative Commons Attribution (CC BY) license (https://creativecommons.org/licenses/by/4.0/).
Share and Cite
Pączkowski, P.; Puszka, A.; Gawdzik, B. Investigation of Degradation of Composites Based on Unsaturated Polyester Resin and Vinyl Ester Resin. Materials 2022, 15, 1286. https://doi.org/10.3390/ma15041286
Pączkowski P, Puszka A, Gawdzik B. Investigation of Degradation of Composites Based on Unsaturated Polyester Resin and Vinyl Ester Resin. Materials. 2022; 15(4):1286. https://doi.org/10.3390/ma15041286
Chicago/Turabian StylePączkowski, Przemysław, Andrzej Puszka, and Barbara Gawdzik. 2022. "Investigation of Degradation of Composites Based on Unsaturated Polyester Resin and Vinyl Ester Resin" Materials 15, no. 4: 1286. https://doi.org/10.3390/ma15041286
APA StylePączkowski, P., Puszka, A., & Gawdzik, B. (2022). Investigation of Degradation of Composites Based on Unsaturated Polyester Resin and Vinyl Ester Resin. Materials, 15(4), 1286. https://doi.org/10.3390/ma15041286
