Recent Advances in Imidazolium-Based Dicationic Ionic Liquids as Organocatalysts: A Mini-Review
Abstract
:1. Introduction
2. Applications in Organocatalysis
2.1. Imidazolium-Based Dicationic Ionic Liquids Used as Organocatalysts
2.2. Imidazolium-Based Dicationic Ionic Liquids Composites and/or Immobilized on Solid Support as Organocatalysts
3. Conclusions
Author Contributions
Funding
Institutional Review Board Statement
Informed Consent Statement
Data Availability Statement
Acknowledgments
Conflicts of Interest
References
- Mezzetta, A.; Guglielmero, L.; Mero, A.; Tofani, G.; D’Andrea, F.; Pomelli, C.S.; Guazzelli, L. Expanding the Chemical Space of Benzimidazole Dicationic Ionic Liquids. Molecules 2021, 26, 4211. [Google Scholar] [CrossRef] [PubMed]
- Billeci, F.; D’Anna, F.; Feroci, M.; Cancemi, P.; Feo, S.; Forlino, A.; Tonnelli, F.; Seddon, K.R.; Gunaratne, H.N.; Plechkova, N.V. When functionalization becomes useful: Ionic liquids with a “sweet” appended moiety demonstrate drastically reduced toxicological effects. ACS Sustain. Chem. Eng. 2019, 8, 926–938. [Google Scholar] [CrossRef]
- Vetica, F.; Bortolami, M.; Petrucci, R.; Rocco, D.; Feroci, M. Electrogenerated NHCs in Organic Synthesis: Ionic Liquids vs. Organic Solvents Effects. Chem. Rec. 2021, 21, 2130–2147. [Google Scholar] [CrossRef] [PubMed]
- Steudte, S.; Bemowsky, S.; Mahrova, M.; Bottin-Weber, U.; Tojo-Suarez, E.; Stepnowski, P.; Stolte, S. Toxicity and biodegradability of dicationic ionic liquids. RSC Adv. 2014, 4, 5198–5205. [Google Scholar] [CrossRef]
- Gindri, I.M.; Siddiqui, D.A.; Bhardwaj, P.; Rodriguez, L.C.; Palmer, K.L.; Frizzo, C.P.; Martins, M.A.; Rodrigues, D.C. Dicationic imidazolium-based ionic liquids: A new strategy for non-toxic and antimicrobial materials. RSC Adv. 2014, 4, 62594–62602. [Google Scholar] [CrossRef]
- Guglielmero, L.; Mezzetta, A.; Guazzelli, L.; Pomelli, C.S.; D’Andrea, F.; Chiappe, C. Systematic synthesis and properties evaluation of dicationic ionic liquids, and a glance into a potential new field. Front. Chem. 2018, 6, 612. [Google Scholar] [CrossRef] [PubMed] [Green Version]
- Rocco, D.; Chiarotto, I.; D’Anna, F.; Mattiello, L.; Pandolfi, F.; Rizzo, C.; Feroci, M. Cathodic behaviour of dicationic imidazolium bromides: The role of the spacer. ChemElectroChem 2019, 6, 4275–4283. [Google Scholar] [CrossRef] [Green Version]
- Medjahed, N.; Debdab, M.; Haddad, B.; Belarbi, E.; Kibou, Z.; Berrichi, A.; Bachir, R.; Choukchou-Braham, N. Synthesis and Structural Characterization of Imidazolium-Based Dicationic Ionic Liquids. Chem. Proc. 2021, 3, 80. [Google Scholar] [CrossRef]
- Rizzo, C.; Marullo, S.; Feroci, M.; Accurso, V.; D’Anna, F. Insights into the effect of the spacer on the properties of imidazolium based AIE luminogens. Dye. Pigment. 2021, 186, 109035. [Google Scholar] [CrossRef]
- Marullo, S.; Feroci, M.; Noto, R.; D’Anna, F. Insights into the anion effect on the self assembly of perylene bisimide diimidazolium salts. Dye. Pigment. 2017, 146, 54–65. [Google Scholar] [CrossRef]
- Billeci, F.; D’Anna, F.; Chiarotto, I.; Feroci, M.; Marullo, S. The anion impact on the self-assembly of naphthalene diimide diimidazolium salts. New J. Chem. 2017, 41, 13889–13901. [Google Scholar] [CrossRef]
- Javaherian, M.; Saghanezhad, S.J. Synthesis, Characterization and Applications of Dicationic Ionic Liquids in Organic Synthesis. Mini-Rev. Org. Chem. 2020, 17, 450–464. [Google Scholar] [CrossRef]
- Masri, A.N.; MI, A.M.; Leveque, J.-M. A review on dicationic ionic liquids: Classification and application. Ind. Eng. Manag 2016, 5, 197–204. [Google Scholar]
- Wang, R.; Jin, C.-M.; Twamley, B.; Shreeve, J.N.M. Syntheses and characterization of unsymmetric dicationic salts incorporating imidazolium and triazolium functionalities. Inorg. Chem. 2006, 45, 6396–6403. [Google Scholar] [CrossRef]
- Khan, S.S.; Liebscher, J. Synthesis of New Dicationic Azolium Salts and Their Application as NHC Precursors in Suzuki-Miyaura Coupling. Synthesis 2010, 2010, 2609–2615. [Google Scholar] [CrossRef]
- Huang, S.; Yin, A.; Wu, C. Synthesis of Chiral Geminal Dicationic Ionic Liquid. Asian J. Chem. 2012, 24, 5405–5406. [Google Scholar]
- Al-Mohammed, N.N.; Alias, Y.; Abdullah, Z. Bis-imidazolium and benzimidazolium based gemini-type ionic liquids structure: Synthesis and antibacterial evaluation. RSC Adv. 2015, 5, 92602–92617. [Google Scholar] [CrossRef]
- Aher, S.B.; Bhagat, P.R. Convenient synthesis of imidazolium based dicationic ionic liquids. Res. Chem. Intermed. 2016, 42, 5587–5596. [Google Scholar] [CrossRef]
- Khan, A.S.; Man, Z.; Arvina, A.; Bustam, M.A.; Nasrullah, A.; Ullah, Z.; Sarwono, A.; Muhammad, N. Dicationic imidazolium based ionic liquids: Synthesis and properties. J. Mol. Liq. 2017, 227, 98–105. [Google Scholar] [CrossRef]
- Sun, Y.-X.; Wang, Y.-Y.; Shen, B.-B.; Zhang, B.-X.; Hu, X.-M. Synthesis and investigation of physico-chemical properties of dicationic ionic liquids. R. Soc. Open Sci. 2018, 5, 181230. [Google Scholar] [CrossRef] [Green Version]
- Mei, X.; Yue, Z.; Ma, Q.; Dunya, H.; Mandal, B.K. Synthesis and electrochemical properties of new dicationic ionic liquids. J. Mol. Liq. 2018, 272, 1001–1018. [Google Scholar] [CrossRef]
- Hadji, D.; Haddad, B.; Brandán, S.A.; Panja, S.K.; Paolone, A.; Drai, M.; Villemin, D.; Bresson, S.; Rahmouni, M. Synthesis, NMR, Raman, thermal and nonlinear optical properties of dicationic ionic liquids from experimental and theoretical studies. J. Mol. Struct. 2020, 1220, 128713. [Google Scholar] [CrossRef]
- Kouznetsov, V.V.; Galvis, C.E.P. Strecker reaction and α-amino nitriles: Recent advances in their chemistry, synthesis, and biological properties. Tetrahedron 2018, 74, 773–810. [Google Scholar] [CrossRef]
- Verma, K.; Sharma, A.; Badru, R. Dicationic ionic liquids as effective catalysts in solvent free strecker synthesis. Curr. Res. Green Sustain. Chem. 2021, 4, 100060. [Google Scholar] [CrossRef]
- Verma, K.; Sharma, A.; Singh, J.; Badru, R. Ionic liquid mediated carbonylation of amines: Selective carbamate synthesis. Sustain. Chem. Pharm. 2021, 20, 100377. [Google Scholar] [CrossRef]
- IPCC Sixth Assessment Report: Climate Change 2021 (AR6). Available online: http://www.ipcc.ch/report/ar5/wg1 (accessed on 20 September 2021).
- Letcher, T.M. Introduction with a focus on atmospheric carbon dioxide and climate change. In Future Energy; Elsevier: Amsterdam, The Netherlands, 2020; pp. 3–17. [Google Scholar]
- Zhang, Z.; Pan, S.-Y.; Li, H.; Cai, J.; Olabi, A.G.; Anthony, E.J.; Manovic, V. Recent advances in carbon dioxide utilization. Renew. Sustain. Energy Rev. 2020, 125, 109799. [Google Scholar] [CrossRef]
- Garba, M.D.; Usman, M.; Khan, S.; Shehzad, F.; Galadima, A.; Ehsan, M.F.; Ghanem, A.S.; Humayun, M. CO2 towards fuels: A review of catalytic conversion of carbon dioxide to hydrocarbons. J. Environ. Chem. Eng. 2021, 9, 104756. [Google Scholar] [CrossRef]
- Guglielmero, L.; Mezzetta, A.; Pomelli, C.S.; Chiappe, C.; Guazzelli, L. Evaluation of the effect of the dicationic ionic liquid structure on the cycloaddition of CO2 to epoxides. J. CO2 Util. 2019, 34, 437–445. [Google Scholar] [CrossRef]
- Yang, F.; Zhang, J.; Guo, Y.; Feng, L.; Wei, S.; Chen, S. Producing Fatty Acid Methyl Esters from Free Fatty Acids with Ionic Liquids as Catalyst. Chem. Eng. Technol. 2019, 42, 174–181. [Google Scholar] [CrossRef] [Green Version]
- Zekri, N.; Fareghi-Alamdari, R.; Khodarahmi, Z. Functionalized dicationic ionic liquids: Green and efficient alternatives for catalysts in phthalate plasticizers preparation. J. Chem. Sci. 2016, 128, 1277–1284. [Google Scholar] [CrossRef] [Green Version]
- Liu, Y.; Liu, W.; Shao, X.; Wang, J.; Li, X.; Zhang, H. Kinetics study of the transesterification reaction of methyl acetate with isooctyl alcohol catalyzed by dicationic heteropolyanion-based ionic liquids. Catal. Lett. 2018, 148, 144–153. [Google Scholar] [CrossRef]
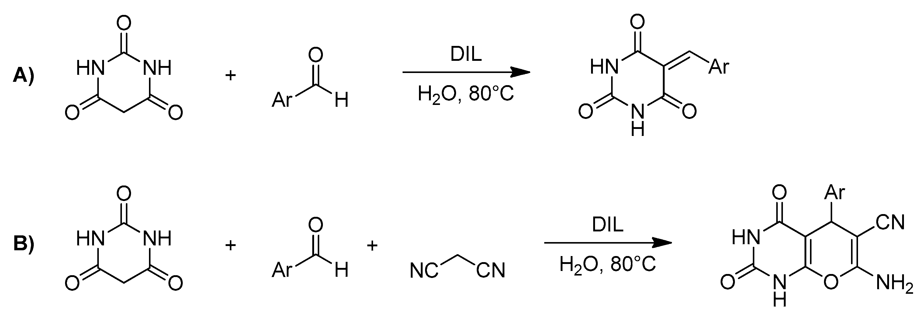
- Daneshvar, N.; Nasiri, M.; Shirzad, M.; Langarudi, M.S.N.; Shirini, F.; Tajik, H. The introduction of two new imidazole-based bis-dicationic Brönsted acidic ionic liquids and comparison of their catalytic activity in the synthesis of barbituric acid derivatives. New J. Chem. 2018, 42, 9744–9756. [Google Scholar] [CrossRef]
- Sharifi, Z.; Daneshvar, N.; Langarudi, M.S.N.; Shirini, F. Comparison of the efficiency of two imidazole-based dicationic ionic liquids as the catalysts in the synthesis of pyran derivatives and Knoevenagel condensations. Res. Chem. Intermed. 2019, 45, 4941–4958. [Google Scholar] [CrossRef]
- Wang, W.; Zhang, Y.; Yang, Z.; Zhang, Z.; Fang, W.; Niu, D.; He, H.; Xu, F. Efficient synthesis of isosorbide-based polycarbonate with scalable dicationic ionic liquid catalysts by balancing the reactivity of the endo-OH and exo-OH. Green Chem. 2021, 23, 973–982. [Google Scholar] [CrossRef]
- Deshmukh, A.R.; Dhumal, S.T.; Nawale, L.U.; Khedkar, V.M.; Sarkar, D.; Mane, R.A. Dicationic liquid mediated synthesis of tetrazoloquinolinyl methoxy phenyl 4-thiazolidinones and their antibacterial and antitubercular evaluation. Synth. Commun. 2019, 49, 587–601. [Google Scholar] [CrossRef]
- Deshmukh, A.R.; Bhosle, M.R.; Khillare, L.D.; Dhumal, S.T.; Mishra, A.; Srivastava, A.K.; Mane, R.A. New tetrazoloquinolinyl methoxyphenyl-4-thiazolidinones: Synthesis and antihyperglycemic evaluation. Res. Chem. Intermed. 2017, 43, 1107–1120. [Google Scholar] [CrossRef]
- D’Anna, F.; Grilli, M.L.; Petrucci, R.; Feroci, M. WO3 and ionic liquids: A synergic pair for pollutant gas sensing and desulfurization. Metals 2020, 10, 475. [Google Scholar] [CrossRef] [Green Version]
- Petrucci, R.; Chiarotto, I.; Mattiello, L.; Passeri, D.; Rossi, M.; Zollo, G.; Feroci, M. Graphene Oxide: A smart (starting) material for natural methylxanthines adsorption and detection. Molecules 2019, 24, 4247. [Google Scholar] [CrossRef] [Green Version]
- Patel, N.; Katheriya, D.; Dadhania, H.; Dadhania, A. Graphene oxide supported dicationic ionic liquid: An efficient catalyst for the synthesis of 1-carbamatoalkyl-2-naphthols. Res. Chem. Intermed. 2019, 45, 5595–5607. [Google Scholar] [CrossRef]
- Patel, N.; Patel, U.; Dadhania, A. Highly efficient and green synthesis of spiro [indoline-3, 9′-xanthene] trione and spiro [chromene-4, 3′-indoline]-3-carbonitrile derivatives in water catalyzed by graphene oxide-supported dicationic ionic liquid. Res. Chem. Intermed. 2021, 47, 2189–2206. [Google Scholar] [CrossRef]
- Hormozinezhad, Z.; Gorjizadeh, M.; Taheri, N.; Sayyahi, S. Nanomagnetic catalyst for the one-pot synthesis of tetrahydrobenzo [b] pyran derivatives. Bull. Chem. Soc. Ethiop. 2018, 32, 309–321. [Google Scholar] [CrossRef] [Green Version]
- Rezaei, F.; Ali Amrollahi, M.; Khalifeh, R. Brønsted acidic dicationic ionic liquid immobilized on Fe3O4@SiO2 nanoparticles as an efficient and magnetically separable catalyst for the synthesis of bispyrazoles. ChemistrySelect 2020, 5, 1760–1766. [Google Scholar] [CrossRef]
- Moheiseni, F.; Reza Kiasat, A.; Badri, R. Synthesis, Characterization and Application of β-Cyclodextrin/Imidazolium Based Dicationic Ionic Liquid Supported on Silica Gel as a Novel Catalyst in Hantzsch Condensation Reaction. Polycycl. Aromat. Compd. 2021, 21, 1094–1106. [Google Scholar] [CrossRef]
- Lai, B.; Bai, R.; Gu, Y. Lignosulfonate/Dicationic Ionic Liquid Composite as a Task-Specific Catalyst Support for Enabling Efficient Synthesis of Unsymmetrical 1, 3-Diynes with A Low Substrate Ratio. ACS Sustain. Chem. Eng. 2018, 6, 17076–17086. [Google Scholar] [CrossRef]
- Taheri, M.; Ghiaci, M.; Moheb, A.; Shchukarev, A. Organic–inorganic hybrid of anchored dicationic ionic liquid on Al-MCM-41-phosphovanadomolybdate toward selective oxidation of benzene to phenol. Appl. Organomet. Chem. 2019, 33, e5012. [Google Scholar] [CrossRef]
- Jiang, Y.; Wang, Z.; Xu, P.; Sun, J. Dicationic Ionic Liquid@MIL-101 for the Cycloaddition of CO2 and Epoxides under Cocatalyst-free Conditions. Cryst. Growth Des. 2021, 21, 3689–3698. [Google Scholar] [CrossRef]
- Taheri, M.; Ghiaci, M.; Shchukarev, A. Cross-linked chitosan with a dicationic ionic liquid as a recyclable biopolymer-supported catalyst for cycloaddition of carbon dioxide with epoxides into cyclic carbonates. New J. Chem. 2018, 42, 587–597. [Google Scholar] [CrossRef]
- Gogoi, P.; Borah, R. Investigation of PEG-6000 bridged -N-SO3H functionalized geminal dicationic ionic liquids for catalytic conversion of fructose to 5-hydroxymethylfurfural. J. Chem. Sci. 2018, 130, 1–11. [Google Scholar] [CrossRef] [Green Version]
- Wang, L.; Guo, H.; Wang, Q.; Hou, B.; Jia, L.; Cui, J.; Li, D. The study of active sites for producing furfural and soluble oligomers in fructose conversion over HZSM-5 zeolites. Mol. Catal. 2019, 474, 110411. [Google Scholar] [CrossRef]
- Román-Leshkov, Y.; Chheda, J.N.; Dumesic, J.A. Phase modifiers promote efficient production of hydroxymethylfurfural from fructose. Science 2006, 312, 1933–1937. [Google Scholar] [CrossRef] [Green Version]
- Prasad, D.; Patil, K.N.; Manoorkar, V.K.; Dateer, R.B.; Nagaraja, B.M.; Jadhav, A.H. Sustainable Catalytic Process for Fructose Dehydration using Dicationic Ionic Liquid Assisted ZSM-5 Zeolite. Mater. Manuf. Processes 2021, 36, 1571–1578. [Google Scholar] [CrossRef]
- Goodajdar, B.M.; Akbari, F.; Davarpanah, J. PEG-DIL-based MnCl42−: A novel phase transfer catalyst for nucleophilic substitution reactions of benzyl halides. Appl. Organomet. Chem. 2019, 33, e4647. [Google Scholar] [CrossRef]
- Reddy, M.V.; Byeon, K.R.; Park, S.H.; Kim, D.W. Polyethylene glycol methacrylate-grafted dicationic imidazolium-based ionic liquid: Heterogeneous catalyst for the synthesis of aryl-benzo[4,5]imidazo[1,2-a]pyrimidine amines under solvent-free conditions. Tetrahedron 2017, 73, 5289–5296. [Google Scholar] [CrossRef]
- Mata, J.A.; Poyatos, M.; Peris, E. Structural and catalytic properties of chelating bis-and tris-N-heterocyclic carbenes. Coord. Chem. Rev. 2007, 251, 841–859. [Google Scholar] [CrossRef]



























| DILs | Reaction | Products | References |
|---|---|---|---|
| N-methyl imidazolium-based DILs with Cl−, NO3− and PF6− anions | Strecker reaction | α-aminonitriles | Verma et al. 2021 [24] |
| Carbonylation of amines | carbamates | Verma et al. 2021 [25] | |
| N-methyl, butyl, hexyl imidazolium-based DILs bromides, N-methyl imidazolium-based DILs carboxylate and acetate | Cycloaddition of CO2 to epichlorohydrin | 4-(chloromethyl)-1,3-dioxolan-2-one | Guglielmero et al. 2019 [30] |
| BrØnsted acidic DILs | Esterification of long-chain free fatty acids | Methanol ester of oleic acid | Yang et al. 2019 [31] |
| Knoevenagel condensation and multicomponent reaction | 5-arylidene barbituric acids and pyrano[2,3-d] pyrimidinone derivatives | Daneshvar et al. 2018 [34] | |
| Acidic imidazolium-based DILs with HSO4− as counterion | Esterification reaction of phtalic anhydride with different types of alcohols | Phthalates | Zekri et al. 2016 [32] |
| Acidic heteropolyanion-based DILs | transesterification reaction of methyl acetate with isooctyl alcohol | 2-ethylhexyl acetate and methanol | Liu et al. 2018 [33] |
| N-methyl imidazolium-based DILs with Cl− and HSO4− anions | Knoevenagel condensation and multicomponent reaction | 5-arylidene (thio)barbituric acids, pyrano[2,3-d] pyrimidinone derivatives, 2-arylidene malononitriles, 4H-pyrans | Sharifi et al. 2019 [35] |
| N-methyl imidazolium-based DILs with Cl−, Br− and I− anions | Polymerization of diphenyl carbonate and isosorbide | Polycarbonates | Wang et al. 2021 [36] |
| N-methyl imidazolium-based DILs bromide | One-pot cyclocondensation | 3-substituted phenyl-2-(4-(tetrazolo[1,5-a]quinolin-4-ylmethoxy)phenyl)thiazolidin-4-ones | Deshmukh et al. 2019 [37] |
| Graphene oxide supported -SO3H functionalized imidazolium-based DIL | One-pot multicomponent reactions | 1-carbamatoalkyl-2-naphthols derivatives, spiro[indoline-3,9′-xanthene]trione derivatives, spiro[chromene-4,3′-indoline]-3-carbonitrile derivatives | Patel et al. 2019 [41] |
| Patel et al. 2021 [42] | |||
| Imidazolium-based DIL catalyst stabilized on Fe3O4 and SiO2 magnetic nanoparticles with MnCl42− as anions | One-pot three-component condensation | 4H-chromene derivatives | Hormozinezhad et al. 2018 [43] |
| Brønsted acidic DIL immobilized on silica-coated iron oxide support nanoparticles | One-pot condensation | Bis-pyrazole-5-ols | Rezaei et al. 2020 [44] |
| Cyclodextrins incorporated with imidazolium-based DIL and supported on silica gel | Hantzsch reaction | 1,4-dihydropyridine and polyhydroquinoline derivatives | Moheiseni et al. 2019 [45] |
| Lignosulfonate/DIL composite | Glaser heterocoupling reaction | Unsymmetrical 1,3-diynes | Lai et al. 2018 [46] |
| Supported DIL phosphovanadomolybdate anions on mesoporous aluminosilicate | Oxidation of benzene | Phenol | Taheri et al. 2019 [47] |
| Immobilized imidazolium-based DIL bromide on metal–organic frameworks chromium-benzenedicarboxylate | CO2 cycloaddition to epoxides | Cyclic carbonates | Jiang et al. 2021 [48] |
| Chitosan/DIL composite | Taheri et al. 2018 [49] | ||
| Brønsted acidic DIL linked with polyethylene glycol | Conversion of fructose | 5-hydroxymethyl furfural | Gogoi and Borah 2018 [50] |
| ZSM-5 zeolite/DIL | Prasad et al. 2021 [53] | ||
| PEG-DIL-based MnCl42− | Phase transfer catalyst for nucleophilic substitution of aryl halides | Benzyl azides and thiocyanates | Goodajdar et al. 2019 [54] |
| Polyethylene glycol methacrylate-grafted imidazolium-based DIL | Multicomponent reaction | N-methyl-2-nitro-aryl-benzo[4,5]imidazo[1,2-a]pyrimidine amines | Reddy et al. 2017 [55] |
Publisher’s Note: MDPI stays neutral with regard to jurisdictional claims in published maps and institutional affiliations. |
© 2022 by the authors. Licensee MDPI, Basel, Switzerland. This article is an open access article distributed under the terms and conditions of the Creative Commons Attribution (CC BY) license (https://creativecommons.org/licenses/by/4.0/).
Share and Cite
Pandolfi, F.; Bortolami, M.; Feroci, M.; Fornari, A.; Scarano, V.; Rocco, D. Recent Advances in Imidazolium-Based Dicationic Ionic Liquids as Organocatalysts: A Mini-Review. Materials 2022, 15, 866. https://doi.org/10.3390/ma15030866
Pandolfi F, Bortolami M, Feroci M, Fornari A, Scarano V, Rocco D. Recent Advances in Imidazolium-Based Dicationic Ionic Liquids as Organocatalysts: A Mini-Review. Materials. 2022; 15(3):866. https://doi.org/10.3390/ma15030866
Chicago/Turabian StylePandolfi, Fabiana, Martina Bortolami, Marta Feroci, Anastasia Fornari, Vincenzo Scarano, and Daniele Rocco. 2022. "Recent Advances in Imidazolium-Based Dicationic Ionic Liquids as Organocatalysts: A Mini-Review" Materials 15, no. 3: 866. https://doi.org/10.3390/ma15030866
APA StylePandolfi, F., Bortolami, M., Feroci, M., Fornari, A., Scarano, V., & Rocco, D. (2022). Recent Advances in Imidazolium-Based Dicationic Ionic Liquids as Organocatalysts: A Mini-Review. Materials, 15(3), 866. https://doi.org/10.3390/ma15030866

