Effect of Tie Bars on Axial Compressive Behavior of Round-Ended Rectangular CFST Stub Columns
Abstract
:1. Introduction
2. Research Methods
2.1. Specimens Preparation
2.2. Experimental Method
2.3. Finite Element Analysis
2.3.1. Simulation of Concrete
2.3.2. Simulation of Other Materials
2.4. Finite Element Model and Verification
3. Results and Discussions
3.1. Failure Modes
3.2. Confined Effect
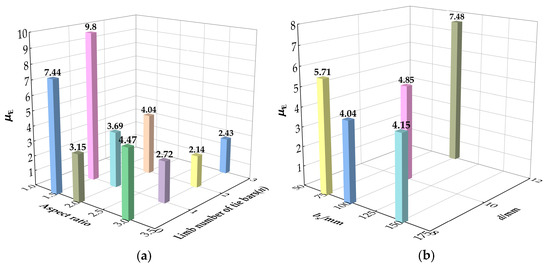
3.3. Load-Deflection Relationship
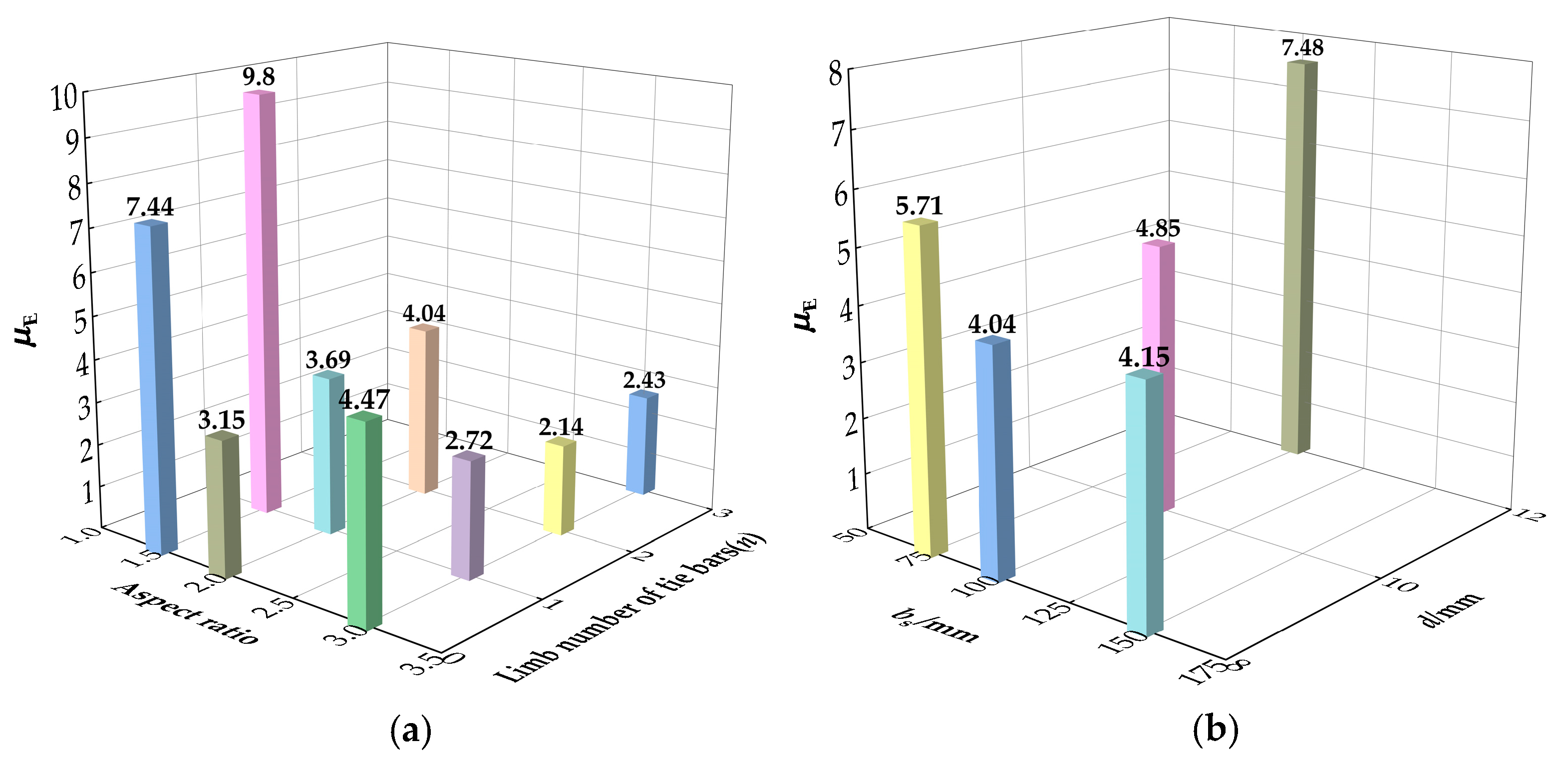
3.4. Ductility
4. Analytical Model of Ultimate Bearing Load
4.1. Confinement Model
4.2. Verification
5. Conclusions
Author Contributions
Funding
Institutional Review Board Statement
Informed Consent Statement
Data Availability Statement
Conflicts of Interest
References
- Han, L.-H.; Yao, G.-H.; Tao, Z. Performance of concrete-filled thin-walled steel tubes under pure torsion. Thin-Walled Struct. 2007, 45, 24–36. [Google Scholar] [CrossRef]
- Liu, S.; Ding, X.; Li, X.; Liu, Y.; Zhao, S. Behavior of Rectangular-Sectional Steel Tubular Columns Filled with High-Strength Steel Fiber Reinforced Concrete Under Axial Compression. Materials 2019, 12, 2716. [Google Scholar] [CrossRef] [PubMed] [Green Version]
- Yang, L.; Xie, W.; Rong, Y.; Jiang, L. Constitutive relations and failure criterion for rectangular concrete-filled steel tube members under pure bending. CHINA Civ. Eng. J. 2019, 52, 60–70. [Google Scholar] [CrossRef]
- Zhang, Q.; Fu, L.; Xu, L. An efficient approach for numerical simulation of concrete-filled round-ended steel tubes. J. Constr. Steel Res. 2020, 170, 106086. [Google Scholar] [CrossRef]
- Hassanein, M.; Patel, V. Round-ended rectangular concrete-filled steel tubular short columns: FE investigation under axial compression. J. Constr. Steel Res. 2018, 140, 222–236. [Google Scholar] [CrossRef]
- Dundu, M. Compressive strength of circular concrete filled steel tube columns. Thin-Walled Struct. 2012, 56, 62–70. [Google Scholar] [CrossRef]
- Tong, D.; Yu, M.; Bao, H.; Ye, J. Experimental research on influence of multi-level loading on axial compression behavior of concrete-filled circular steel tubular short columns. J. Build. Struct. 2017, 38, 241–248. [Google Scholar] [CrossRef]
- Wang, Z.; Wu, Y.; Yu, X.; Gao, Y. Behavior of concrete-filled round-ended steel tubular ( CFRST ) column under eccentric compression. J. Build. Struct. 2022, 43, 177–185. [Google Scholar] [CrossRef]
- Han, L.-H.; Li, W.; Bjorhovde, R. Developments and advanced applications of concrete-filled steel tubular (CFST) structures: Members. J. Constr. Steel Res. 2014, 100, 211–228. [Google Scholar] [CrossRef]
- Wang, J.; Ma, X.; Shen, Q.; Sheng, M. Study on equivalent constitutive relation and axial compressive behavior of round-ended elliptical concrete-filled steel tube columns. J. He Fei Univ. Technol. 2019, 42, 74–80+87. [Google Scholar]
- Li, P.; Ren, Z. Simulation Analysis of Round-ended Rectangular CFST Stub Columns Under Axial Load. J. Wu Han Univ. Technol. 2014, 36, 96–101. [Google Scholar] [CrossRef]
- Qu, H.; Li, G.; Sun, J.; Chen, S. Numerical Simulation Analysis of Circular Concrete-filled Steel Tube Specimen Under Lateral Impact. J. Archit. Civ. Eng. 2010, 27, 89–96. [Google Scholar] [CrossRef]
- Faxing, D.; Lei, F.; Zhiwu, Y.; Gang, L. Mechanical performances of concrete-filled steel tubular stub columns with round ends under axial loading. Thin-Walled Struct. 2015, 97, 22–34. [Google Scholar] [CrossRef]
- Long, Y.-L.; Zeng, L. A refined model for local buckling of rectangular CFST columns with binding bars. Thin-Walled Struct. 2018, 132, 431–441. [Google Scholar] [CrossRef]
- Alatshan, F.; Osman, S.A.; Hamid, R.; Mashiri, F. Stiffened concrete-filled steel tubes: A systematic review. Thin-Walled Struct. 2020, 148, 106590. [Google Scholar] [CrossRef]
- Cai, J.; Long, Y.-L. Local buckling of steel plates in rectangular CFT columns with binding bars. J. Constr. Steel Res. 2009, 65, 965–972. [Google Scholar] [CrossRef]
- Wang, Y.-T.; Cai, J.; Long, Y.-L. Hysteretic behavior of square CFT columns with binding bars. J. Constr. Steel Res. 2017, 131, 162–175. [Google Scholar] [CrossRef]
- Cai, J.; He, Z.-Q. Axial load behavior of square CFT stub column with binding bars. J. Constr. Steel Res. 2006, 62, 472–483. [Google Scholar] [CrossRef]
- Ding, F.X.; Luo, L.; Zhu, J.; Wang, L.; Yu, Z. wu Mechanical behavior of stirrup-confined rectangular CFT stub columns under axial compression. Thin-Walled Struct. 2018, 124, 136–150. [Google Scholar] [CrossRef]
- Huang, C.S.; Yeh, Y.-K.; Liu, G.-Y.; Hu, H.-T.; Tsai, K.C.; Weng, Y.T.; Wang, S.H.; Wu, M.-H. Axial Load Behavior of Stiffened Concrete-Filled Steel Columns. J. Struct. Eng. 2002, 128, 1222–1230. [Google Scholar] [CrossRef] [Green Version]
- Hu, H.; Huang, C.; Wu, M.; Wu, Y. Nonlinear Analysis of Axially Loaded Concrete-Filled Tube Columns with Confinement Effect. J. Struct. Eng. 2003, 129, 1322–1329. [Google Scholar] [CrossRef]
- Ho, J.C.M.; Lai, M.H. Behaviour of uni-axially loaded CFST columns confined by tie bars. J. Constr. Steel Res. 2013, 83, 37–50. [Google Scholar] [CrossRef]
- Liu, H.L.; Cai, J. Research on behavior of rectangular CFST stub columns with binding bars under axial compression. Appl. Mech. Mater. 2013, 351–352, 790–797. [Google Scholar] [CrossRef]
- Ahmed, M.; Quan, Q. Numerical analysis of thin-walled round-ended concrete-filled steel tubular short columns including local buckling effects. Structures 2020, 28, 181–196. [Google Scholar] [CrossRef]
- Han, L. Concrete Filled Steel Tubular Structure: Theory and Practice; Science Press: Beijing, China, 2016. [Google Scholar]
- Liang, Q. Analysis and Design of Steel and Composite Structures; CRC Press: New York, NY, USA, 2014. [Google Scholar]
- Cai, J.; He, Z. Constitutive relationship of square CFT with binding bars. Eng. Mech. 2006, 23. Available online: https://en.cnki.com.cn/Article_en/CJFDTotal-GCLX200610027.htm (accessed on 4 November 2021).
- Mander, J.B.; Priestley, M.J.N.; Park, R. Theoretical stress-strain model for confined concrete. J. Struct. Eng. 1989, 114, 1804–1826. [Google Scholar] [CrossRef] [Green Version]
- Bahrami, A.; Wan Badaruzzaman, W.H.; Osman, S.A. Investigation of concrete-filled steel composite (CFSC) stub columns with bar stiffeners. J. Civ. Eng. Manag. 2013, 19, 433–446. [Google Scholar] [CrossRef]
- Alireza, B.; Wan, B.; Aminah, O.S. Numerical study of concrete-filled steel composite (CFSC) stub columns with steel stiffeners. Lat. Am. J. Solids Struct. 2014, 11, 683–703. [Google Scholar] [CrossRef] [Green Version]
- Liang, Q.Q.; Fragomeni, S. Nonlinear analysis of circular concrete-filled steel tubular short columns under axial loading. J. Constr. Steel Res. 2009, 65, 2186–2196. [Google Scholar] [CrossRef]
- Patel, V.I. Analysis of uniaxially loaded short round-ended concrete-filled steel tubular. Eng. Struct. 2020, 205, 110098. [Google Scholar] [CrossRef]
- Ding, F.; Ying, X.; Zhou, L.; Yu, Z. Unified calculation method and its application in determining the uniaxial mechanical properties of concrete. Front. Archit. Civ. Eng. China 2011, 5, 381–393. [Google Scholar] [CrossRef]
- GB50010-2010. Code for Design of Concrete Structures; Architecture& Industry Press: Beijing, China, 2010. [Google Scholar]
- Zuo, Z.L.; Cai, J.; Yang, C.; Chen, Q.J.; Sun, G. Axial load behavior of L-shaped CFT stub columns with binding bars. Eng. Struct. 2012, 37, 88–98. [Google Scholar] [CrossRef]
- Zuo, Z.L.; Cai, J.; Chen, Q.J.; Liu, X.P.; Yang, C.; Mo, T.W. Performance of T-shaped CFST stub columns with binding bars under axial compression. Thin-Walled Struct. 2018, 129, 183–196. [Google Scholar] [CrossRef]
- Wang, E.; Xie, J.; Ma, X. Research on the Calculation Method of Axial Compression of Round-end Concrete-filled Steel Tube. IOP Conf. Ser. Earth Environ. Sci. 2019, 358, 52037. [Google Scholar] [CrossRef]
- GB/T 228-2002. Room Temperature Tensile Test Method for Metallic Materials; Standardization Administration of China: Beijing, China, 2002. [Google Scholar]
- Sun, Z.; Fu, L.; Feng, D.C.; Vatuloka, A.R.; Wei, Y.; Wu, G. Experimental study on the flexural behavior of concrete beams reinforced with bundled hybrid steel/FRP bars. Eng. Struct. 2019, 197, 109443. [Google Scholar] [CrossRef]
- Architecture Institute of Japan (AIJ). AIJ Recommendation for Design and Construction of Concrete Filled Steel Tubular Structures; Architecture Institute of Japan: Tokyo, Japan, 1997. [Google Scholar]
- European Committee for Standardization. Eurocode 4: Design of Composite Steel and Concrete Structures; European Committee for Standardization: London, UK, 1994. [Google Scholar]
- American Institute of Steel Construction (AISC). Load and Resistance Factor Design Specification for Structural Steel Buildings; American Institute of Steel Construction: Chicago, IL, USA, 1999. [Google Scholar]
- GB50936. Technical Code for Concrete Filled Steel Tubular Structures; China Architecture & Building Press: Beijing, China, 2014. [Google Scholar]




















| Identifier | D × B × L (mm3) | t (mm) | n × d (mm) | bs (mm) | as (mm) | αs |
|---|---|---|---|---|---|---|
| RRCFST-1 | 160 × 225 × 700 | 4 | --- | --- | --- | 0.081 |
| RRCFST-2 | 155 × 225 × 700 | 4 | 1 × 8 | 100 | --- | 0.082 |
| RRCFST-3 | 160 × 300 × 900 | 4 | --- | --- | --- | 0.072 |
| RRCFST-4 | 155 × 300 × 900 | 4 | 1 × 8 | 100 | --- | 0.074 |
| RRCFST-5 | 155 × 300 × 900 | 4 | 2 × 8 | 100 | 47 | 0.074 |
| RRCFST-6 | 160 × 300 × 900 | 6 | 2 × 8 | 100 | 47 | 0.108 |
| RRCFST-7 | 155 × 300 × 900 | 4 | 2 × 8 | 75 | 47 | 0.074 |
| RRCFST-8 | 155 × 295 × 900 | 4 | 2 × 8 | 150 | 47 | 0.074 |
| RRCFST-9 | 160 × 290 × 900 | 4 | 2 × 10 | 100 | 47 | 0.073 |
| RRCFST-10 | 160 × 300 × 900 | 4 | 2 × 12 | 100 | 47 | 0.072 |
| RRCFST-11 | 120 × 335 × 1000 | 4 | --- | --- | --- | 0.086 |
| RRCFST-12 | 120 × 330 × 1000 | 4 | 1 × 8 | 100 | --- | 0.086 |
| RRCFST-13 | 120 × 330 × 1000 | 4 | 2 × 8 | 100 | 70 | 0.086 |
| RRCFST-14 | 120 × 330 × 1000 | 4 | 3 × 8 | 100 | 52.5 | 0.086 |
| Identifier | t or d (mm) | fy (MPa) | fu or fbu (MPa) | Es (GPa) | γ |
|---|---|---|---|---|---|
| Steel tube | 4 | 254 | 406 | 240.0 | 0.274 |
| Steel tube | 6 | 290 | 440 | 230.0 | 0.275 |
| Tie bar | 8 | --- | 448 | 177.6 | 0.290 |
| Tie bar | 10 | --- | 426 | 169.1 | 0.290 |
| Tie bar | 12 | --- | 455 | 170.8 | 0.290 |
| Identifier | Nu (kN) | FE/EX | SI | ||
|---|---|---|---|---|---|
| FE | EX | FE | EX | ||
| RRCFST-1 | 1825.27 | 1889 | 0.966 | 1.129 | 1.168 |
| RRCFST-2 | 1927.16 | 1900 | 1.014 | 1.216 | 1.199 |
| RRCFST-3 | 2318.04 | 2225 | 1.042 | 1.068 | 1.025 |
| RRCFST-4 | 2359.01 | 2248 | 1.049 | 1.111 | 1.058 |
| RRCFST-5 | 2415.4 | 2445 | 0.988 | 1.137 | 1.151 |
| RRCFST-6 | 3234.52 | 2952 | 1.096 | 1.214 | 1.108 |
| RRCFST-7 | 2467.04 | 2576 | 0.958 | 1.161 | 1.212 |
| RRCFST-8 | 2340.01 | 2184 | 1.071 | 1.120 | 1.046 |
| RRCFST-9 | 2473.23 | 2456 | 1.007 | 1.179 | 1.171 |
| RRCFST-10 | 2581.34 | 2389 | 1.081 | 1.189 | 1.101 |
| RRCFST-11 | 2069.66 | 1821 | 1.137 | 1.034 | 0.910 |
| RRCFST-12 | 2075.03 | 2103 | 0.987 | 1.052 | 1.066 |
| RRCFST-13 | 2166.79 | 2194 | 0.988 | 1.099 | 1.113 |
| RRCFST-14 | 2203.02 | 2115 | 1.042 | 1.117 | 1.073 |
| Identifier | Nu (kN) | Nc (kN) | Ratio (Nc/Nu) |
|---|---|---|---|
| RRCFST-1 | 1889 | 1744.83 | 0.924 |
| RRCFST-2 | 1900 | 1746.55 | 0.919 |
| RRCFST-3 | 2225 | 2359.92 | 1.061 |
| RRCFST-4 | 2248 | 2361.42 | 1.050 |
| RRCFST-5 | 2445 | 2368.98 | 0.969 |
| RRCFST-6 | 2952 | 2811.61 | 0.952 |
| RRCFST-7 | 2576 | 2370.36 | 0.920 |
| RRCFST-8 | 2184 | 2361.92 | 1.081 |
| RRCFST-9 | 2456 | 2370.52 | 0.965 |
| RRCFST-10 | 2389 | 2373.06 | 0.993 |
| RRCFST-11 | 1821 | 2223.05 | 1.221 |
| RRCFST-12 | 2103 | 2234.54 | 1.063 |
| RRCFST-13 | 2194 | 2235.39 | 1.019 |
| RRCFST-14 | 2115 | 2236.54 | 1.057 |
Publisher’s Note: MDPI stays neutral with regard to jurisdictional claims in published maps and institutional affiliations. |
© 2022 by the authors. Licensee MDPI, Basel, Switzerland. This article is an open access article distributed under the terms and conditions of the Creative Commons Attribution (CC BY) license (https://creativecommons.org/licenses/by/4.0/).
Share and Cite
Ren, Z.; Li, Q.; Liu, C. Effect of Tie Bars on Axial Compressive Behavior of Round-Ended Rectangular CFST Stub Columns. Materials 2022, 15, 1137. https://doi.org/10.3390/ma15031137
Ren Z, Li Q, Liu C. Effect of Tie Bars on Axial Compressive Behavior of Round-Ended Rectangular CFST Stub Columns. Materials. 2022; 15(3):1137. https://doi.org/10.3390/ma15031137
Chicago/Turabian StyleRen, Zhigang, Qi Li, and Chuang Liu. 2022. "Effect of Tie Bars on Axial Compressive Behavior of Round-Ended Rectangular CFST Stub Columns" Materials 15, no. 3: 1137. https://doi.org/10.3390/ma15031137
APA StyleRen, Z., Li, Q., & Liu, C. (2022). Effect of Tie Bars on Axial Compressive Behavior of Round-Ended Rectangular CFST Stub Columns. Materials, 15(3), 1137. https://doi.org/10.3390/ma15031137

