Mechanical Properties and Failure Behavior of Dry and Water-Saturated Foliated Phyllite under Uniaxial Compression
Abstract
1. Introduction
2. Materials and Methods
2.1. Rock Specimens
2.2. Testing Setup and Methods
3. Mechanical Behavior Analysis
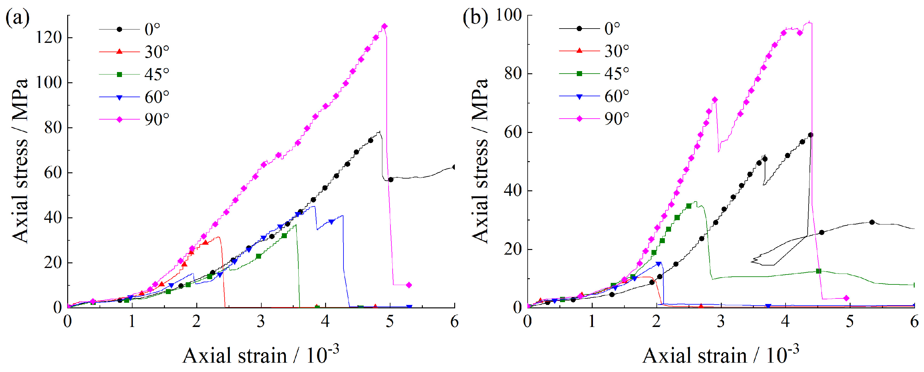
3.1. Stress–Strain Curves
3.2. Mechanical Properties
4. Crack Evolution Behavior Analysis
4.1. Macro-Crack Evolution Behavior
4.2. Micro-Crack Failure Modes
4.3. Ultimate Failure Mode
4.4. Microscopic Characteristics Analysis in Typical Fracture Surface
5. Discussion
6. Conclusions
Author Contributions
Funding
Data Availability Statement
Acknowledgments
Conflicts of Interest
References
- Ramamurthy, T.; Rao, G.V.; Singh, J. Engineering behaviour of phyllites. Eng. Geol. 1993, 33, 209–225. [Google Scholar] [CrossRef]
- Chen, Z.; He, C.; Xu, G.; Ma, G.; Wu, D. A Case Study on the Asymmetric Deformation Characteristics and Mechanical Behavior of Deep-Buried Tunnel in Phyllite. Rock Mech. Rock Eng. 2019, 52, 4527–4545. [Google Scholar] [CrossRef]
- Xu, G.; He, C.; Wang, J.; Zhang, J. Study on the damage evolution of secondary tunnel lining in layered rock stratum. Bull. Eng. Geol. Environ. 2020, 79, 3533–3557. [Google Scholar] [CrossRef]
- Si, X.; Huang, L.; Li, X.; Gong, F.; Liu, X. Mechanical properties and rockburst proneness of phyllite under uniaxial compression. Trans. Nonferr. Metal. Soc. 2021, 31, 3862–3878. [Google Scholar] [CrossRef]
- Fereidooni, D.; Khanlari, G.R.; Heidari, M.; Sepahigero, A.A.; Kolahi-Azar, A.P. Assessment of Inherent Anisotropy and Confining Pressure Influences on Mechanical Behavior of Anisotropic Foliated Rocks Under Triaxial Compression. Rock Mech. Rock Eng. 2016, 49, 2155–2163. [Google Scholar] [CrossRef]
- Li, C.C.; Mikula, P.; Simser, B.; Hebblewhite, B.; Joughin, W.; Feng, X.; Xu, N. Discussions on rockburst and dynamic ground support in deep mines. J. Rock Mech. Geotech. Eng. 2019, 11, 1110–1118. [Google Scholar] [CrossRef]
- Hu, X.; He, C.; Walton, G.; Chen, Z. A Combined Support System Associated with the Segmental Lining in a Jointed Rock Mass: The Case of the Inclined Shaft Tunnel at the Bulianta Coal Mine. Rock Mech. Rock Eng. 2020, 53, 2653–2669. [Google Scholar] [CrossRef]
- Xu, G.; He, C.; Chen, Z.; Yang, Q. Transversely isotropic creep behavior of phyllite and its influence on the long-term safety of the secondary lining of tunnels. Eng. Geol. 2020, 278, 105834. [Google Scholar] [CrossRef]
- Chang, X.; Zhang, X.; Qian, L.; Chen, S.; Yu, J. Influence of bedding anisotropy on the dynamic fracture behavior of layered phyllite. Eng. Fract. Mech. 2022, 260, 108183. [Google Scholar] [CrossRef]
- Khanlari, G.R.; Heidari, M.; Sepahi-Gero, A.A.; Fereidooni, D. Determination of Geotechnical Properties of Anisotropic Rocks Using Some Index Tests. Geotech. Test. J. 2014, 37, 103225. [Google Scholar] [CrossRef]
- Tien, Y.M.; Kuo, M.C. A failure criterion for transversely isotropic rocks. Int. J. Rock Mech. Min. Sci. 2001, 38, 399–412. [Google Scholar] [CrossRef]
- Saroglou, H.; Tsiambaos, G. A modified Hoek–Brown failure criterion for anisotropic intact rock. Int. J. Rock Mech. Min. Sci. 2008, 45, 223–234. [Google Scholar] [CrossRef]
- Serrano, A.; Olalla, C.; Galindo, R.A. Ultimate bearing capacity of an anisotropic discontinuous rock mass based on the modified Hoek–Brown criterion. Int. J. Rock Mech. Min. Sci. 2016, 83, 24–40. [Google Scholar] [CrossRef]
- Yin, X.; Zhang, Y.; Lei, Y.; Wang, L. Linear failure criterion for estimating the compressive strength of brittle foliated rocks in response to the loading direction. Bull. Eng. Geol. Environ. 2022, 81, 1–14. [Google Scholar] [CrossRef]
- Wang, Y.; Meng, H.; Long, D. Experimental investigation of fatigue crack propagation in interbedded marble under multilevel cyclic uniaxial compressive loads. Fatigue Fract. Eng. Mater. Struct. 2020, 44, 933–951. [Google Scholar] [CrossRef]
- Li, K.; Yin, Z.; Han, D.; Fan, X.; Cao, R.; Lin, H. Size Effect and Anisotropy in a Transversely Isotropic Rock Under Compressive Conditions. Rock Mech. Rock Eng. 2021, 54, 4639–4662. [Google Scholar] [CrossRef]
- Song, Z.; Zhang, J. Research on the progressive failure process and fracture mechanism of rocks with the structural evolution perspective. J. Struct. Geol. 2022, 154, 104484. [Google Scholar] [CrossRef]
- Zhai, M.; Xue, L.; Bu, F.; Yang, B.; Huang, X.; Liang, N.; Dinge, H. Effects of bedding planes on progressive failure of shales under uniaxial compression: Insights from acoustic emission characteristics. Theor. Appl. Fract. Mech. 2022, 119, 103343. [Google Scholar] [CrossRef]
- Tien, Y.M.; Kuo, M.C.; Juang, C.H. An experimental investigation of the failure mechanism of simulated transversely isotropic rocks. Int. J. Rock Mech. Min. Sci. 2006, 43, 1163–1181. [Google Scholar] [CrossRef]
- Yin, P.; Yang, S. Experimental study on strength and failure behavior of transversely isotropic rock-like material under uniaxial compression. Geomech. Geophys. Geo-Energ. Geo-Resour. 2020, 6, 44. [Google Scholar] [CrossRef]
- Lin, Q.; Cao, P.; Cao, R.; Lin, H.; Meng, J. Mechanical behavior around double circular openings in a jointed rock mass under uniaxial compression. Arch. Civ. Mech. Eng. 2020, 20, 19. [Google Scholar] [CrossRef]
- Hu, J.; Wen, G.; Lin, Q.; Cao, P.; Li, S. Mechanical properties and crack evolution of double-layer composite rock-like specimens with two parallel fissures under uniaxial compression. Theor. Appl. Fract. Mech. 2020, 108, 102610. [Google Scholar] [CrossRef]
- Lin, Q.; Cao, P.; Wen, G.; Meng, J.; Cao, R.; Zhao, Z. Crack coalescence in rock-like specimens with two dissimilar layers and pre-existing double parallel joints under uniaxial compression. Int. J. Rock Mech. Min. Sci. 2021, 139, 104621. [Google Scholar] [CrossRef]
- Yang, D.; Hu, J.; Ma, S.; Zeng, P. Analysis of dynamic fracture of granite after uniaxial recompression predamaged by high confining pressure cyclic loading based on acoustic emission. Eng. Fract. Mech. 2022, 266, 108414. [Google Scholar] [CrossRef]
- Li, S.; Lin, H.; Feng, J.; Cao, R.; Hu, H. Mechanical Properties and Acoustic Emission Characteristics of Anchored Structure Plane with Different JRC under Direct Shear Test. Materials 2022, 15, 4169. [Google Scholar] [CrossRef] [PubMed]
- Zhang, S.; Lin, H.; Chen, Y.; Wang, Y.; Zhao, Y. Acoustic emission and failure characteristics of cracked rock under freezing-thawing and shearing. Theor. Appl. Fract. Mech. 2022, 121, 103537. [Google Scholar] [CrossRef]
- Tang, W.; Lin, H.; Chen, Y.; Feng, J.; Hu, H. Mechanical Characteristics and Acoustic Emission Characteristics of Mortar-Rock Binary Medium. Buildings 2022, 12, 665. [Google Scholar] [CrossRef]
- Liu, Y.; Yin, G.; Li, M.; Zhang, D.; Huang, G.; Liu, P.; Liu, C.; Zhao, H.; Yu, B. Mechanical Properties and Failure Behavior of Dry and Water-Saturated Anisotropic Coal Under True-Triaxial Loading Conditions. Rock Mech. Rock Eng. 2020, 53, 4799–4818. [Google Scholar] [CrossRef]
- Zhou, Z.; Cai, X.; Cao, W.; Li, X.; Xiong, C. Influence of Water Content on Mechanical Properties of Rock in Both Saturation and Drying Processes. Rock Mech. Rock Eng. 2016, 49, 3009–3025. [Google Scholar] [CrossRef]
- Chen, J.; Ye, Y.; Pu, Y.; Xu, W.; Mengli, D. Experimental study on uniaxial compression failure modes and acoustic emission characteristics of fissured sandstone under water saturation. Theor. Appl. Fract. Mech. 2022, 119, 103359. [Google Scholar] [CrossRef]
- Guo, X.; Tan, Z.; Wang, X.; Li, A.; Ma, Z.; Wu, Y. Effect of Bedding Angle and Mineral Composition on Mechanical Properties and Fracture Behavior of Phyllite Under Unloading Confining Pressures. Geotech. Geol. Eng. 2020, 38, 3611–3621. [Google Scholar] [CrossRef]
- Ma, L.; Chen, J.; Zhao, Y.; Zhang, C.; Liu, R.; Ren, S. Water Content and Bedding Angle Effects on the Mechanical Properties and Micro-/Macro-Failure Mechanism of Phyllite. Arab. J. Sci. Eng. 2022, 47, 13151–13169. [Google Scholar] [CrossRef]
- Ulusay, R.; Hudson, J.A. (Eds.) The Complete ISRM Suggested Methods for Rock Characterization, Testing and Monitoring: 1974–2006; Kozan Ofset: Ankara, Turkey, 2007. [Google Scholar]
- ISRM. Suggested methods for determining water content, porosity density, absorption and related properties and swelling and slake-durability index properties. Int. J. Rock Mech. Min. Geomech. Abstr. 1979, 2, 141–156. [Google Scholar]
- Nicksiar, M.; Martin, C.D. Evaluation of Methods for Determining Crack Initiation in Compression Tests on Low-Porosity Rocks. Rock Mech. Rock Eng. 2012, 45, 607–617. [Google Scholar] [CrossRef]
- Yang, H.; Lin, H.; Chen, Y.; Wang, Y.; Zhao, Y.; Yong, W.; Gao, F. Influence of wing crack propagation on the failure process and strength of fractured specimens. Bull. Eng. Geol. Environ. 2022, 81. [Google Scholar] [CrossRef]
- Zhang, Z.; Deng, J. A new method for determining the crack classification criterion in acoustic emission parameter analysis. Int. J. Rock Mech. Min. Sci. 2020, 130, 104323. [Google Scholar] [CrossRef]
- Du, K.; Li, X.; Tao, M.; Wang, S. Experimental study on acoustic emission (AE) characteristics and crack classification during rock fracture in several basic lab tests. Int. J. Rock Mech. Min. Sci. 2020, 133, 104411. [Google Scholar] [CrossRef]
- Lv, H.; Peng, K.; Shang, X.; Wang, Y.; Liu, Z. Experimental research on the mechanical and acoustic emission properties of layered sandstone during tensile failure. Theor. Appl. Fract. Mech. 2022, 118, 103225. [Google Scholar] [CrossRef]
- Li, Q.; Qian, Y.; Hu, Q.; Jiang, Z.; Xu, Y.; Shang, X.; Ling, F.; Liu, R.; Li, W. Acoustic Emission Response Mechanism of Hydraulic Fracturing in Different Coal and Rock: A Laboratory Study. Rock Mech. Rock Eng. 2022, 55, 4657–4672. [Google Scholar] [CrossRef]
- Liu, Z.; Ma, C.; Wei, X. Electron scanning characteristics of rock materials under different loading methods: A review. Geomech. Geophys. Geo-Energy Geo-Resour. 2022, 8, 80. [Google Scholar] [CrossRef]
- Baud, P.; Zhu, W.L.; Wong, T.F. Failure mode and weakening effect of water on sandstone. J. Geophys. Res. Solid Earth 2000, 105, 16371–16389. [Google Scholar] [CrossRef]
- Cai, X.; Zhou, Z.L.; Liu, K.W.; Du, X.M.; Zang, H.Z. Water-weakening effects on the mechanical behavior of different rock types: Phenomena and mechanisms. Appl. Sci. 2019, 9, 4450. [Google Scholar] [CrossRef]
- Singh, J.; Ramamurthy, T.; Rao, G.V. Strength anisotropies in rocks. Indian Geotech. J. 1989, 19, 147–166. [Google Scholar]
- Kwasniewski, M.A. Mechanical behavior of anisotropic rocks. In Comprehensive Rock Engineering; Hudson, J.A., Ed.; Pergamon: Oxford, UK, 1993; Volume 1, pp. 285–312. [Google Scholar]
- Niandou, H.; Shao, J.F.; Henry, J.P.; Fourmaintraux, D. Laboratory investigation of the mechanical behaviour of Tournemire shale. Int. J. Rock Mech. Min. Sci. 1997, 34, 3–16. [Google Scholar] [CrossRef]
- Cho, J.W.; Kim, H.; Jeon, S.; Min, K.B. Deformation and strength anisotropy of Asan gneiss, Boryeong shale, and Yeoncheon schist. Int. J. Rock Mech. Min. Sci. 2012, 50, 158–169. [Google Scholar] [CrossRef]


















| Foliation Angle α (°) | Dry Density (g/cm3) | Saturation Density (g/cm3) | Saturated Water Content (%) | Dry Wave Velocity (m/s) | Saturation Wave Velocity (m/s) |
|---|---|---|---|---|---|
| 0 | 2.756 | 2.775 | 0.689 | 3750 | 4319 |
| 30 | 2.768 | 2.780 | 0.434 | 4332 | 4573 |
| 45 | 2.762 | 2.770 | 0.290 | 4279 | 4656 |
| 60 | 2.763 | 2.782 | 0.688 | 4807 | 5164 |
| 90 | 2.760 | 2.768 | 0.290 | 5942 | 6095 |
| Average | 2.762 | 2.775 | 0.471 | 4622 | 4961 |
| Specimen | Type | 0° | 30° | 45° | 60° | 90° |
|---|---|---|---|---|---|---|
| Dry groups | Picture | ![]() | ![]() | ![]() | ![]() | ![]() |
| Forms | Sliding + splitting | Sliding | Sliding | Sliding | Splitting | |
| Saturated groups | Picture | ![]() | ![]() | ![]() | ![]() | ![]() |
| Forms | Sliding + splitting | Sliding + splitting | Sliding | Sliding | Splitting |
| Oxides Elements | VD/% | VW/% | PD/% | PW/% |
|---|---|---|---|---|
| Na2O | 2.80 | 3.17 | 1.70 | 3.19 |
| MgO | 2.70 | 3.22 | 2.89 | 3.94 |
| Al2O3 | 13.64 | 13.65 | 23.48 | 21.52 |
| SiO2 | 69.31 | 71.55 | 61.71 | 61.07 |
| K2O | 3.07 | 2.46 | 6.03 | 4.77 |
| CaO | 1.36 | 1.55 | 0.26 | 0.79 |
| TiO2 | 0.61 | 0.35 | 1.25 | 1.54 |
| Fe2O3 | 6.50 | 4.05 | 2.68 | 3.18 |
| Type | Label | Description of Failure Modes Type | Failure Modes | Specimens |
|---|---|---|---|---|
| I | ![]() | Tensile fracture across discontinuities | T2 | None |
| II | ![]() | Sliding failure across discontinuities | S2 | None |
| III | ![]() | Sliding failure along discontinuities | S1 | S-D-45 S-D-60 S-W-60 |
| IV | ![]() | Tensile-split along discontinuities | T1 | S-D-90 S-W-90 |
| V | ![]() | Sliding failure across discontinuities and Tensile fracture across discontinuities | M1 (S2 + T2) | S-D-0 S-W-0 S-W-30 |
| VI | ![]() | Sliding failure along discontinuities and Sliding failure across discontinuities | M2 (S1 + S2) | S-D-30 S-W-45 |
Publisher’s Note: MDPI stays neutral with regard to jurisdictional claims in published maps and institutional affiliations. |
© 2022 by the authors. Licensee MDPI, Basel, Switzerland. This article is an open access article distributed under the terms and conditions of the Creative Commons Attribution (CC BY) license (https://creativecommons.org/licenses/by/4.0/).
Share and Cite
Wen, G.; Hu, J.; Wu, Y.; Zhang, Z.-X.; Xu, X.; Xiang, R. Mechanical Properties and Failure Behavior of Dry and Water-Saturated Foliated Phyllite under Uniaxial Compression. Materials 2022, 15, 8962. https://doi.org/10.3390/ma15248962
Wen G, Hu J, Wu Y, Zhang Z-X, Xu X, Xiang R. Mechanical Properties and Failure Behavior of Dry and Water-Saturated Foliated Phyllite under Uniaxial Compression. Materials. 2022; 15(24):8962. https://doi.org/10.3390/ma15248962
Chicago/Turabian StyleWen, Guanping, Jianhua Hu, Yabin Wu, Zong-Xian Zhang, Xiao Xu, and Rui Xiang. 2022. "Mechanical Properties and Failure Behavior of Dry and Water-Saturated Foliated Phyllite under Uniaxial Compression" Materials 15, no. 24: 8962. https://doi.org/10.3390/ma15248962
APA StyleWen, G., Hu, J., Wu, Y., Zhang, Z.-X., Xu, X., & Xiang, R. (2022). Mechanical Properties and Failure Behavior of Dry and Water-Saturated Foliated Phyllite under Uniaxial Compression. Materials, 15(24), 8962. https://doi.org/10.3390/ma15248962

















