Phase Changes in the Surface Layer of Stainless Steel Annealed at a Temperature of 550 °C
Abstract
:1. Introduction
2. Materials and Methods
2.1. Sample Preparation
2.2. Mössbauer Spectroscopy
2.3. X-ray Diffraction
2.4. Scanning Electron Microscopy and Energy-Dispersive X-ray Spectroscopy
3. Results
3.1. Scanning Electron Microscopy
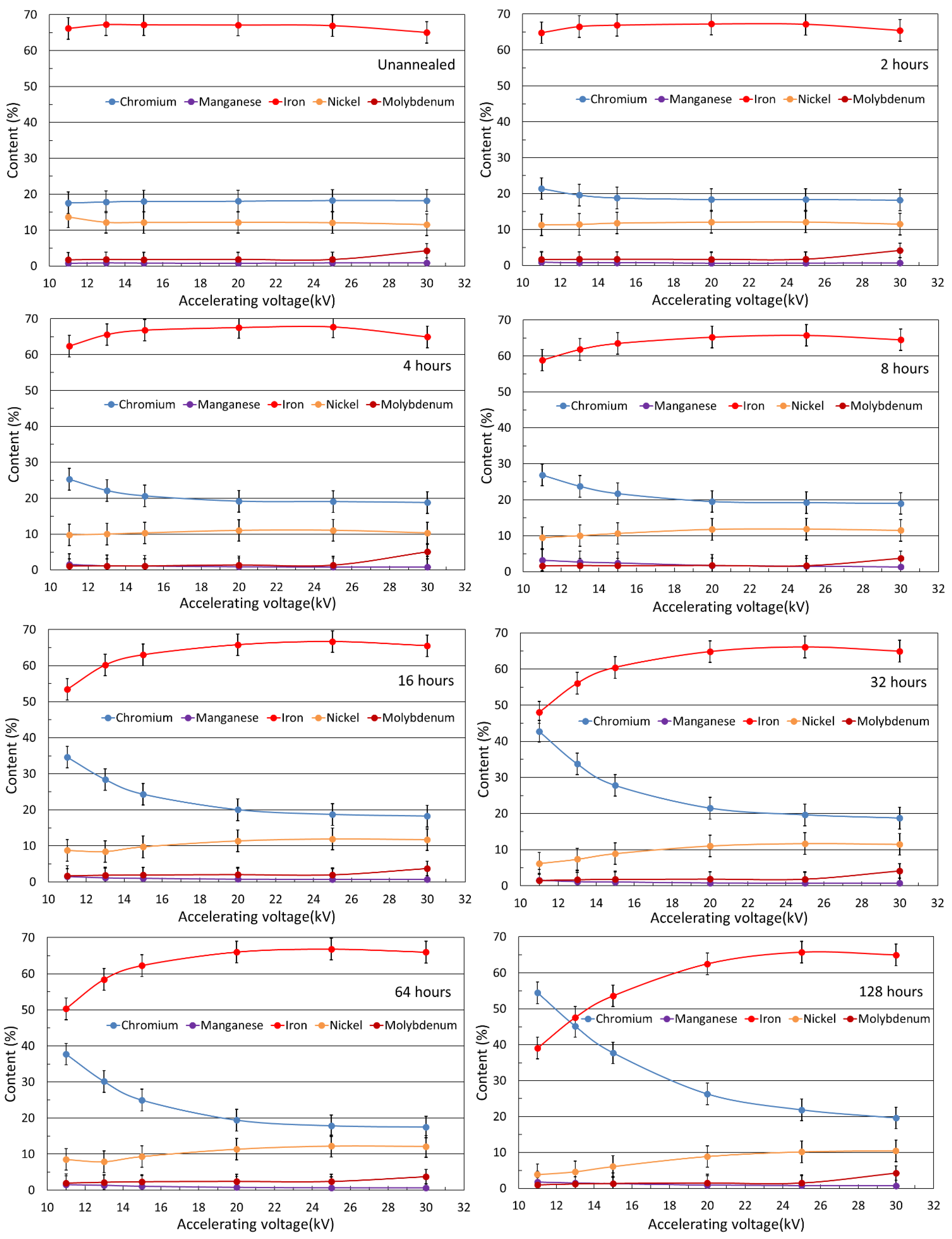
3.2. Energy-Dispersive X-ray Spectroscopy
3.3. Mössbauer Spectroscopy
3.3.1. Conversion X-ray Mössbauer Spectroscopy
3.3.2. Conversion Electron Mössbauer Spectroscopy
3.4. X-ray Diffraction
4. Discussion
5. Conclusions
Author Contributions
Funding
Data Availability Statement
Conflicts of Interest
References
- Bautista, A.; Velasco, F.; Campos, M.; Rabanal, M.E.; Torralba, J.M. Oxidation Behavior at 900 °C of Austenitic, Ferritic, and Duplex Stainless Steels Manufactured by Powder Metallurgy. Oxid. Met. 2003, 59, 373–393. [Google Scholar] [CrossRef]
- Saeidi, K.; Gao, X.; Lofaj, F.; Kvetková, L.; Shen, Z.J. Transformation of austenite to duplex austenite-ferrite assembly in annealed stainless steel 316L consolidated by laser melting. J. Alloys Compd. 2015, 633, 463–469. [Google Scholar] [CrossRef]
- Salman, O.O.; Gammer, C.; Chaubey, A.K.; Eckert, J.; Scudino, S. Effect of heat treatment on microstructure and mechanical properties of 316L steel synthesized by selective laser melting. Mater. Sci. Eng. A 2019, 748, 205–212. [Google Scholar] [CrossRef]
- Zhou, Z.; Wang, S.; Li, J.; Li, Y.; Wu, X.; Zhu, Y. Hardening after annealing in nanostructured 316L stainless steel. Nano Mater. Sci. 2020, 2, 80–82. [Google Scholar] [CrossRef]
- Ivanova, T.; Mashlan, M.; Ingr, T.; Doláková, H.; Sarychev, D.; Sedláčková, A. Mössbauer Spectroscopy for Additive Manufacturing by Selective Laser Melting. Metals 2022, 12, 551. [Google Scholar] [CrossRef]
- David, S.A.; Vitek, J.M. Correlation between solidification parameters and weld microstructures. Int. Mater. Rev. 1989, 34, 213–245. [Google Scholar] [CrossRef]
- Elmer, J.W.; Allen, S.M.; Eagar, T.W. Microstructural development during solidification of stainless steel alloys. Metall. Mater. Trans. A Phys. Metall. Mater. Sci. 1989, 20, 2117–2131. [Google Scholar] [CrossRef]
- Fu, J.W.; Yang, Y.S.; Guo, J.J.; Tong, W.H. Effect of cooling rate on solidification microstructures in AISI 304 stainless steel. Mater. Sci. Technol. 2008, 24, 941–944. [Google Scholar] [CrossRef]
- Lo, K.H.; Shek, C.H.; Lai, J.K.L. Recent developments in stainless steels. Mater. Sci. Eng. R Rep. 2009, 65, 39–104. [Google Scholar] [CrossRef]
- Shrinivas, V.; Varma, S.K.; Murr, L.E. Deformation-induced martensitic characteristics in 304 and 316 stainless steels during room-temperature rolling. Metall. Mater. Trans. A Phys. Metall. Mater. Sci. 1995, 26, 661–671. [Google Scholar] [CrossRef]
- Wang, H.S.; Yang, J.R.; Bhadeshia, H.K.D.H. Characterisation of severely deformed austenitic stainless steel wire. Mater. Sci. Technol. 2005, 21, 1323–1328. [Google Scholar] [CrossRef]
- Barabaszová, K.Č.; Slíva, A.; Kratošová, G.; Holešová, S.; Volodarskaja, A.; Cetinkaya, T.; Brožová, S.; Kozubek, L.; Martynková, G.S. Phase Transformation after Heat Treatment of Cr-Ni Stainless Steel Powder for 3D Printing. Materials 2022, 15, 5343. [Google Scholar] [CrossRef]
- Zeng, Q.; Gan, K.; Wang, Y. Effect of Heat Treatment on Microstructures and Mechanical Behaviors of 316L Stainless Steels Synthesized by Selective Laser Melting. J. Mater. Eng. Perform. 2021, 30, 409–422. [Google Scholar] [CrossRef]
- Chao, Q.; Thomas, S.; Birbilis, N.; Cizek, P.; Hodgson, P.D.; Fabijanic, D. The effect of post-processing heat treatment on the microstructure, residual stress and mechanical properties of selective laser melted 316L stainless steel. Mater. Sci. Eng. A 2021, 821, 141611. [Google Scholar] [CrossRef]
- Lei, J.; Ge, Y.; Liu, T.; Wei, Z. Effects of Heat Treatment on the Microstructure and Mechanical Properties of Selective Laser Melting 316L Stainless Steel. Shock. Vib. 2021, 2021, 6547213. [Google Scholar] [CrossRef]
- Principi, G. The Mössbauer Effect: A Romantic Scientific Page. Metals 2020, 10, 992. [Google Scholar] [CrossRef]
- Pechousek, J.; Mashlan, M. Mössbauer spectrometer as a virtual instrument in the PXI/Compact PCI modular system. Czechoslov. J. Phys. 2005, 55, 853–863. [Google Scholar] [CrossRef]
- Kholmetskii, A.L.; Misevich, O.V.; Mashlan, M.; Chudakov, V.A.; Anashkevich, A.F.; Gurachevskii, V.L. Air scintillation detector for conversion electrons Mössbauer spectroscopy (CEMS). Nucl. Instrum. Methods Phys. Res. B Beam Interact. Mater. At. 1997, 129, 110–116. [Google Scholar] [CrossRef]
- Klencsár, Z.; Kuzmann, E.; Vértes, A. User-friendly software for Mössbauer spectrum analysis. J. Radioanal. Nucl. Chem. 1996, 210, 105–118. [Google Scholar] [CrossRef]
- Klencsár, Z.; Kuzmann, E.; Vértes, A. User-Friendly Program for Multifold Evaluation of Mössbauer Spectra. Hyperfine Interact. 1998, 112, 269–274. [Google Scholar] [CrossRef]
- Castaing, R. Application des Sondes Electronique a Une Methode D’Analyse Ponctuelle Chimique et Cristallographique. Ph.D. Thesis, University of Paris, Paris, France, 1952. [Google Scholar]
- Cook, D.C. Strain induced martensite formation in stainless steel. Metall. Mater. Trans. A Phys. Metall. Mater. Sci. 1987, 18, 201–210. [Google Scholar] [CrossRef]
- Lakatos-Varsányi, M.; Meisel, W. Corrosion studies of a chromium steel in imitated seawater. J. Radioanal. Nucl. Chem. 2002, 251, 75–85. [Google Scholar] [CrossRef]
- Bowen, L.H.; De Grave, E.; Vandenkenberghe, R.E. Mössbauer Effect Studies of Magnetic Soils and Sediments. In Mössbauer Spectroscopy Applied to Magnetism and Materials Science; Plenum Press: New York, NY, USA, 1993; pp. 115–159. [Google Scholar] [CrossRef]
- Nomura, K.; Yamada, Y.; Tomita, R.; Yajima, T.; Mashlan, M. CEMS study of stainless steel films depossited by pulsed laser ablation of AISI316. Czech. J. Phys. 2005, 55, 845–852. [Google Scholar] [CrossRef]
- Klinger, R.; Ensling, J.; Jachow, H.; Meisel, W.; Schwab, E.; Gütlich, P. 57Fe Mössbauer studies of α-(FexCr1-x)203 compounds. J. Magn. Magn. Mater. 1995, 150, 277–283. [Google Scholar] [CrossRef]
- Bhattacharya, A.K.; Hartridge, A.; Mallick, K.K.; Majumdar, C.K.; Das, D.; Chintalapudi, S.N. An X-ray Diffraction and Mössbauer Study of Nanocrystalline Fe2O3-Cr2O3 Solid Solutions. J. Mater. Sci. 1997, 32, 557–560. [Google Scholar] [CrossRef]









| Fe | C | Si | Mn | P | S | Cr | Mo | Ni |
|---|---|---|---|---|---|---|---|---|
| Bal | ≤0.030 | 0–1.0 | 0–2.0 | ≤0.045 | ≤0.030 | 16.5–18.5 | 2.0–2.5 | 10.0–13.0 |
| Time (Hour) | Phase | IS (mm/s) | QS (mm/s) | FWHM (mm/s) | B (T) | A (%) |
|---|---|---|---|---|---|---|
| Unannealed | FCC austenite | −0.10 ± 0.01 | 0.17 ± 0.01 | 0.29 ± 0.01 | - | 100 |
| 2 | FCC austenite | −0.08 ± 0.01 | 0.16 ± 0.01 | 0.28 ± 0.01 | - | 100 |
| 4 | FCC austenite | −0.12 ± 0.01 | 0.16 ± 0.01 | 0.28 ± 0.01 | - | 100 |
| 8 | FCC austenite | −0.10 ± 0.01 | 0.16 ± 0.01 | 0.28 ± 0.01 | - | 100 |
| 16 | FCC austenite | −0.10 ± 0.01 | 0.16 ± 0.01 | 0.28 ± 0.01 | - | 95 ± 2 |
| BCC ferrite | −0.09 ± 0.05 | - | 0.52 ± 0.20 | 34.2 ± 0.5 | 5 ± 2 | |
| 32 | FCC austenite | −0.10 ± 0.01 | 0.16 ± 0.01 | 0.29 ± 0.01 | - | 100 |
| 64 | FCC austenite | −0.07 ± 0.01 | 0.17 ± 0.01 | 0.29 ± 0.01 | - | 100 |
| 128 | FCC austenite | −0.10 ± 0.01 | 0.17 ± 0.01 | 0.28 ± 0.01 | - | 100 |
| Time (Hour) | Phase | IS (mm/s) | QS (mm/s) | FWHM (mm/s) | B (T) | A (%) |
|---|---|---|---|---|---|---|
| Unannealed | FCC austenite | −0.12 ± 0.01 | 0.15 ± 0.01 | 0.25 ± 0.01 | - | 100 |
| 2 | FCC austenite | −0.13 ± 0.01 | 0.10 ± 0.03 | 0.28 ± 0.03 | - | 54 ± 2 |
| Fe3+ doublet | 0.33 ± 0.01 | 0.49 ± 0.02 | 0.33 ± 0.03 | - | 46 ± 2 | |
| 4 | FCC austenite | −0.09 ± 0.01 | 0.13 ± 0.01 | 0.28 * | - | 54 ± 2 |
| BCC ferrite | 0.03 ± 0.03 | - | 0.79 ± 0.09 | 33.1 ± 0.5 | 40 ± 2 | |
| Fe3+ doublet | 0.36 * | 0.52 * | 0.28 * | - | 6 ± 2 | |
| 8 | FCC austenite | −0.09 ± 0.01 | 0.12 ± 0.01 | 0.28 * | - | 57 ± 2 |
| BCC ferrite | 0.01 ± 0.02 | - | 0.42 ± 0.06 | 33.6 ± 0.5 | 36 ± 2 | |
| Fe3+ doublet | 0.36 * | 0.52 * | 0.28 * | - | 7 ± 2 | |
| 16 | FCC austenite | −0.10 ± 0.01 | 0.12 ± 0.01 | 0.28 * | - | 37 ± 2 |
| BCC ferrite | −0.02 ± 0.03 | - | 0.77 ± 0.07 | 33.8 ± 0.5 | 51 ± 2 | |
| Fe3+ doublet | 0.38 ± 0.02 | 0.51 ± 0.03 | 0.28 * | - | 12 ± 2 | |
| 32 | FCC austenite | −0.09 ± 0.01 | 0.11 ± 0.02 | 0.28 * | - | 40 ± 2 |
| BCC ferrite | 0.02 ± 0.02 | - | 0.50 ± 0.06 | 33.9 ± 0.5 | 46 ± 2 | |
| Fe3+ doublet | 0.39 ± 0.02 | 0.57 ± 0.03 | 0.28 * | - | 14 ± 2 | |
| 64 | FCC austenite | −0.08 ± 0.01 | 0.07 ± 0.03 | 0.28 * | - | 24 ± 2 |
| BCC ferrite | 0.04 ± 0.02 | - | 0.58 ± 0.06 | 33.2 ± 0.5 | 52 ± 2 | |
| Fe3+ doublet | 0.38 ± 0.01 | 0.48 ± 0.02 | 0.28 * | - | 24 ± 2 | |
| 128 | FCC austenite | −0.10 ± 0.01 | 0.12 ± 0.02 | 0.28 * | - | 41 ± 2 |
| BCC ferrite | 0.02 ± 0.02 | - | 0.56 ± 0.08 | 33.6 ± 0.5 | 40 ± 2 | |
| Fe3+ doublet | 0.35 ± 0.02 | 0.46 ± 0.03 | 0.28 * | - | 19 ± 2 |
Publisher’s Note: MDPI stays neutral with regard to jurisdictional claims in published maps and institutional affiliations. |
© 2022 by the authors. Licensee MDPI, Basel, Switzerland. This article is an open access article distributed under the terms and conditions of the Creative Commons Attribution (CC BY) license (https://creativecommons.org/licenses/by/4.0/).
Share and Cite
Sedláčková, A.; Ivanova, T.; Mashlan, M.; Doláková, H. Phase Changes in the Surface Layer of Stainless Steel Annealed at a Temperature of 550 °C. Materials 2022, 15, 8871. https://doi.org/10.3390/ma15248871
Sedláčková A, Ivanova T, Mashlan M, Doláková H. Phase Changes in the Surface Layer of Stainless Steel Annealed at a Temperature of 550 °C. Materials. 2022; 15(24):8871. https://doi.org/10.3390/ma15248871
Chicago/Turabian StyleSedláčková, Anna, Tatiana Ivanova, Miroslav Mashlan, and Hana Doláková. 2022. "Phase Changes in the Surface Layer of Stainless Steel Annealed at a Temperature of 550 °C" Materials 15, no. 24: 8871. https://doi.org/10.3390/ma15248871
APA StyleSedláčková, A., Ivanova, T., Mashlan, M., & Doláková, H. (2022). Phase Changes in the Surface Layer of Stainless Steel Annealed at a Temperature of 550 °C. Materials, 15(24), 8871. https://doi.org/10.3390/ma15248871

