Cyclic Shear Behavior of Frozen Cement-Treated Sand–Concrete Interface
Abstract
1. Introduction
2. Materials and Methods
2.1. Test Soil, Cement, and Specimen Preparation
2.2. Large-Scale Direct Shear Apparatus
2.3. Experimental Schedule and Procedure
3. Results
3.1. General Observations
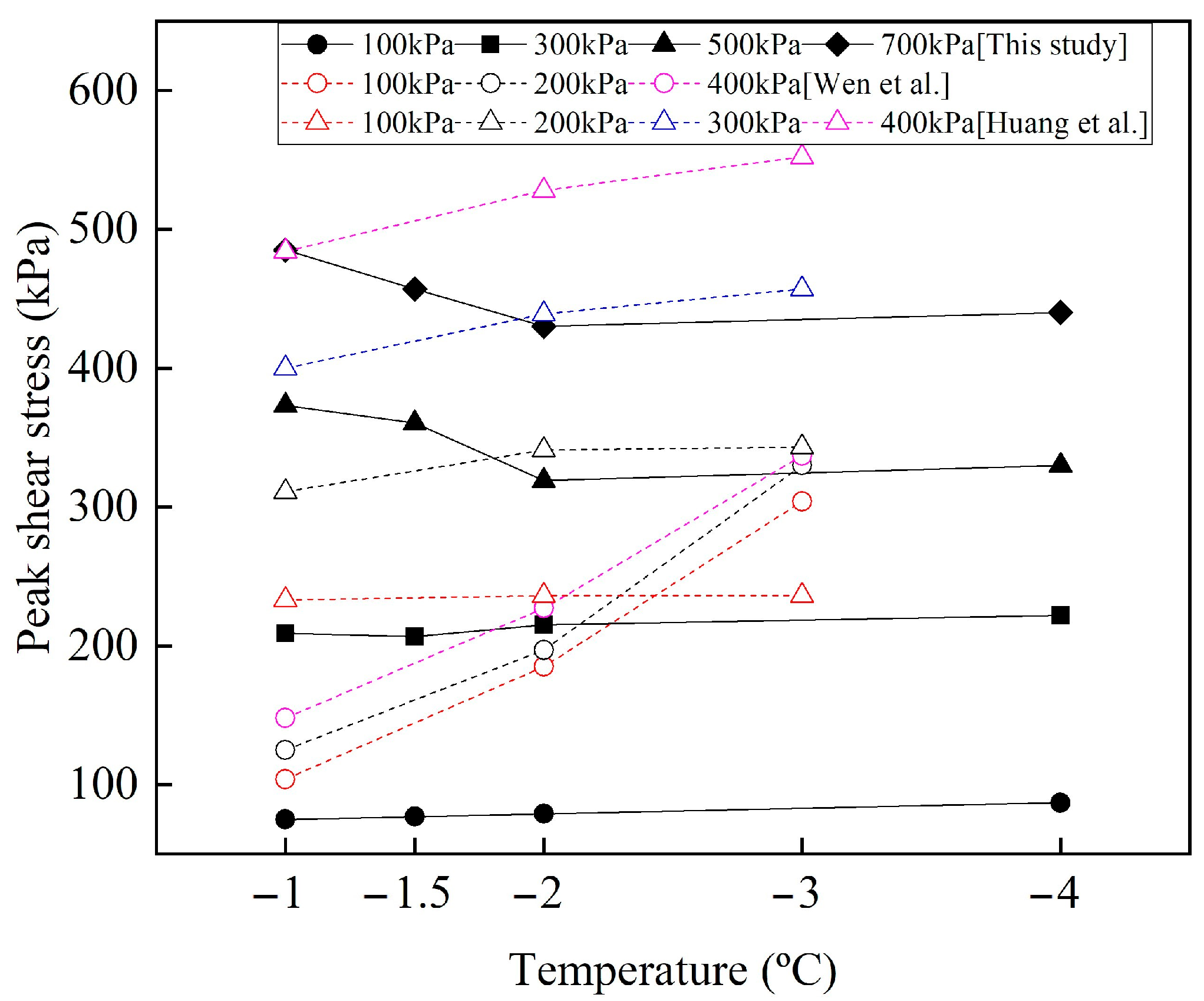
3.2. Variation of the Peak Shear Stress with the Number of Cycles at Various Conditions
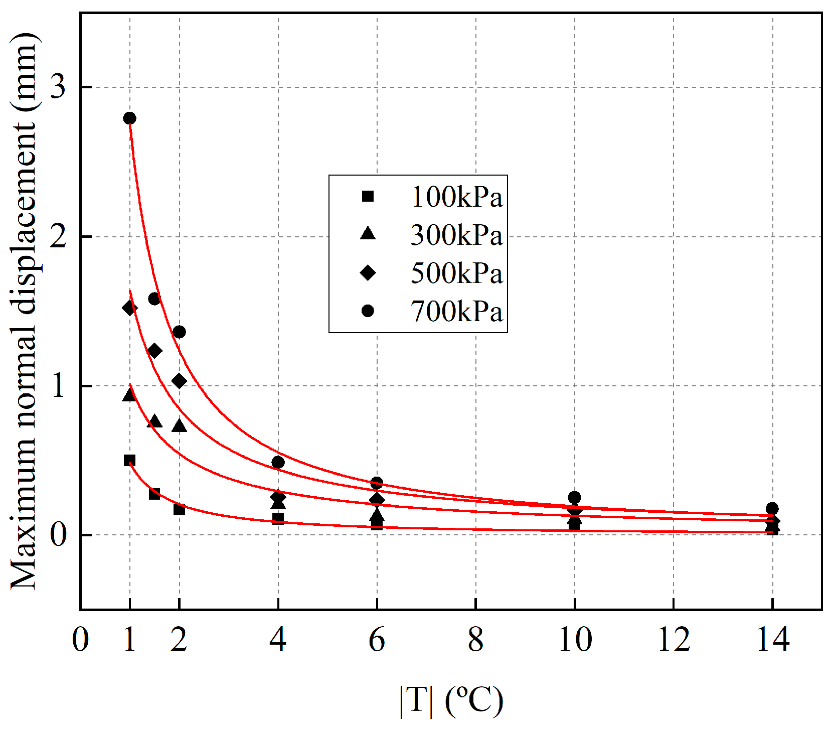
3.3. Variation of the Peak Normal Displacement with the Number of Cycles at Various Conditions
3.4. Variation of the Shear Stiffness with the Number of Cycles at Various Conditions
3.5. Variation of the Surface and Peak Shear Stress of Frozen Cement-Treated Sand with Different Number of Cycles at T = −10 °C, σN = 300 kPa
4. Discussion
5. Conclusions
Author Contributions
Funding
Institutional Review Board Statement
Informed Consent Statement
Data Availability Statement
Conflicts of Interest
References
- Shi, Q.B.; Yang, P.; Wang, G.L. Experimental research on adfreeze strengths at the interface between frozen fine sand and structures. Sci. Iran. 2018, 25, 663–674. [Google Scholar]
- Dan, H.C.; He, L.H.; Zou, J.F.; Zhao, L.H.; Bai, S.Y. Laboratory study on the adhesive properties of ice to the asphalt pavement of highway. Cold Reg. Sci. Technol. 2014, 104–105, 7–13. [Google Scholar] [CrossRef]
- Lai, Y.; Zhang, S.; Yu, W. A new structure to control frost boiling and frost heave of embankment in cold regions. Cold Reg. Sci. Technol. 2012, 79–80, 53–66. [Google Scholar] [CrossRef]
- Liu, Z.; Yang, W.; Wei, J. Analysis of random temperature field for freeway with wide subgrade in cold regions. Cold Reg. Sci. Technol. 2014, 106–107, 22–27. [Google Scholar] [CrossRef]
- Wen, Z.; Sheng, Y.; Jin, H.; Li, S.; Li, G.; Niu, Y. Thermal elastoplastic computation model for a buried oil pipeline in frozen ground. Cold Reg. Sci. Technol. 2010, 64, 248–255. [Google Scholar] [CrossRef]
- Yang, Z.J.; Li, Q.; Horazdovsky, J.; Hulsey, J.L.; Marx, E.E. Performance and design of laterally loaded piles in frozen ground. J. Geotech. Geoenviron. Eng. 2017, 143, 06016031. [Google Scholar] [CrossRef]
- Li, Q.; Yang, Z.J.; Marx, E.E.; Lu, J. Seasonally frozen soil effects on the dynamic behavior of highway bridges. Sci. Cold Arid Reg. 2011, 4, 13–20. [Google Scholar]
- Fei, W.; Yang, Z.J.; Sun, T. Ground freezing impact on laterally loaded pile foundations considering strain rate effect. Cold Reg. Sci. Technol. 2019, 157, 53–63. [Google Scholar]
- DeJong, J.T.; Westgate, Z.J. Role of initial state, material properties, and confinement condition on local and global soil-structure interface behavior. J. Geotech. Geoenviron. Eng. 2009, 135, 1646–1660. [Google Scholar] [CrossRef]
- Potyondyj, G. Skin friction between various soils and construction materials. Geotechnique 1961, 11, 339–353. [Google Scholar] [CrossRef]
- Desai, C.S.; Zaman, M.M. Thin layer element for interfaces. Int. J. Numer. Anal. Methods Geomech. 1984, 8, 19–43. [Google Scholar] [CrossRef]
- D’Aguiar, S.C.; Modaressi-Farahmand-Razavi, A.; dos Santos, J.A.; Lopez-Caballero, F. Elastoplastic constitutive modelling of soil-structure interfaces under monotonic and cyclic loading. Comput. Geotech. 2011, 38, 430–447. [Google Scholar] [CrossRef]
- Desai, C.S.; Pradhan, S.K.; Cohen, D. Cyclic testing and constitutive modeling of saturated sand-concrete interfaces using the disturbed state concept. Int. J. Geomech. 2005, 5, 286–294. [Google Scholar] [CrossRef]
- Lashkari, A.; Kadivar, M. A constitutive model for unsaturated soil-structure interfaces. Int. J. Numer. Anal. Methods Geomech. 2016, 40, 207–234. [Google Scholar] [CrossRef]
- Chenari, R.J.; Khonachah, R.E.; Hosseinpour, I.; Khajeh, A. An experimental study for the cyclic interface properties of the EPS-sand mixtures reinforced with geogrid. Int. J. Civ. Eng. 2020, 18, 151–159. [Google Scholar]
- Zhang, G.; Wang, L.; Zhang, J.M. Monotonic and cyclic modeling of interface between geotextile and gravelly soil. Int. J. Numer. Anal. Methods Geomech. 2010, 34, 1346–1361. [Google Scholar] [CrossRef]
- Vieira, C.S.; Lopes, M.D.L.; Caldeira, L.M. Sand-geotextile interface characterisation through monotonic and cyclic direct shear tests. Geosynth. Int. 2013, 20, 26–38. [Google Scholar] [CrossRef]
- Liu, J.W.; Cui, L.; Zhu, N.; Han, B.; Liu, J. Investigation of cyclic pile-sand interface weakening mechanism based on large-scale CNS cyclic direct shear tests. Ocean Eng. 2019, 194, 106650. [Google Scholar] [CrossRef]
- Ghionna, V.N.; Mortara, G.; Vita, G.P. Sand-structure interface behaviour under cyclic loading from constant normal stiffness direct shear tests. In Proceedings of the International Symposium on Deformation Characteristics of Geomaterials, Lyon, France, 22–24 September 2003; pp. 231–238. [Google Scholar]
- Mortara, G.; Mangiola, A.; Ghionna, V.N. Cyclic shear stress degradation and post-cyclic behaviour from sand-steel interface direct shear tests. Can. Geotech. J. 2007, 44, 739–752. [Google Scholar] [CrossRef]
- Penner, E.; Irwin, W.W. Adfreezing of leda clay to anchored footing columns. Can. Geotech. J. 1969, 6, 327–337. [Google Scholar] [CrossRef][Green Version]
- Sumitani, D.; Ueda, Y.; Ohrai, T. Study on adfreeze shear strength of frozen sand along curved interface. J. Jpn. Soc. Snow Ice 2007, 69, 347–356. [Google Scholar] [CrossRef][Green Version]
- Lee, J.Y.; Kim, Y.S.; Choi, C.H. A study for adfreeze bond strength developed between weathered granite soils and aluminum plate. J. Korean Geoenviron. Soc. 2013, 14, 23–30. [Google Scholar] [CrossRef][Green Version]
- Biggar, K.W.; Sego, D.C. Field pile load tests in saline permafrost. i. test procedures and results. Can. Geotech. J. 1993, 30, 34–45. [Google Scholar] [CrossRef]
- Biggar, K.W.; Sego, D.C. Field pile load tests in saline permafrost. ii. analysis of results. Can. Geotech. J. 1993, 30, 46–59. [Google Scholar] [CrossRef]
- Biggar, K.W.; Sego, D.C. The strength and deformation behavior of model adfreeze and grouted piles in saline frozen soils. Can. Geotech. J. 2011, 30, 319–337. [Google Scholar] [CrossRef]
- Ko, S.G.; Choi, C.H. Experimental study on adfreeze bond strength between frozen sand and aluminium with varying freezing temperature and vertical confining pressure. J. Korean Geotech. Soc. 2011, 27, 67–76. [Google Scholar] [CrossRef]
- Yasushi, U.; Koji, M.; Takahiro, O. Influence of normal stress on the adfreeze interface on adfreeze shear strength of frozen soil. J. Jpn. Soc. Snow Ice 2004, 66, 197–205. [Google Scholar]
- Wen, Z.; Yu, Q.; Ma, W.; Dong, S.S.; Wang, D.Y.; Niu, F.J.; Zhang, M.L. Experimental investigation on the effect of fiberglass reinforced plastic cover on adfreeze bond strength. Cold Reg. Sci. Technol. 2016, 131, 108–115. [Google Scholar] [CrossRef]
- He, P.F.; Mu, Y.H.; Ma, W.; Huang, Y.T.; Dong, J.H. Testing and modeling of frozen clay concrete interface behavior based on large-scale shear tests. Adv. Clim. Chang. Res. 2020, 12, 83–94. [Google Scholar] [CrossRef]
- Shi, Q.B.; Yang, P.; Yu, K.; Tang, G.Y. Sub peak adfreezing strength at the interface between frozen soil and structures. Rock Soil Mech. 2018, 39, 2025–2034. [Google Scholar]
- Liu, J.K.; Lv, P.; Cui, Y.H. Experimental study on direct shear behavior of frozen soil concrete interface. Cold Reg. Sci. Technol. 2014, 104–105, 1–6. [Google Scholar] [CrossRef]
- Zhao, L.Z.; Yang, P.; Wang, J.G.; Zhang, L.C. Impacts of surface roughness and loading conditions on cyclic direct shear behaviors of an artificial frozen silt-structure interface. Cold Reg. Sci. Technol. 2014, 106, 183–193. [Google Scholar] [CrossRef]
- Zhao, L.Z.; Yang, P.; Wang, J.G.; Zhang, L.C. Cyclic direct shear behaviors of frozen soil-structure interface under constant normal stiffness condition. Cold Reg. Sci. Technol. 2014, 102, 52–62. [Google Scholar] [CrossRef]
- Zhao, L.Z.; Yang, P.; Zhang, L.C.; Wang, J.G. Cyclic direct shear behaviors of an artificial frozen soil-structure interface under constant normal stress and sub-zero temperature. Cold Reg. Sci. Technol. 2017, 133, 70–81. [Google Scholar] [CrossRef]
- Wotherspoon, L.M.; Sritharan, S.; Pender, M.J. Modelling the response of cyclically loaded bridge columns embedded in warm and seasonally frozen soils. Eng. Struct. 2010, 32, 933–943. [Google Scholar] [CrossRef]
- Wotherspoon, L.M.; Sritharan, S.; Pender, M.J.; Carr, A.J. Investigation on the impact of seasonally frozen soil on seismic response of bridge columns. J. Bridg. Eng. 2010, 15, 473–481. [Google Scholar] [CrossRef]
- Liu, Y.; Hu, J.; Xiao, H.; Chen, E.J. Effects of material and drilling uncertainties on artificial ground freezing of cement-admixed soils. Can. Geotech. J. 2017, 54, 1659–1671. [Google Scholar] [CrossRef]
- Pan, R.; Yang, P.; Yang, Z. Experimental study on the shear behavior of frozen cemented sand-structure interface. Cold Reg. Sci. Technol. 2022, 197, 103516. [Google Scholar] [CrossRef]
- Zhou, H.L.; Shen, X.D.; Xue, H.J.; Fan, H.L. Analysis of the factors affecting the mechanical properties of cement concrete-stabilized soil in cold regions. J. Glaciol. Geocryol. 2016, 38, 192–199. [Google Scholar]
- Deng, G. Investigation of Frost Protection Design for Tunnels in High Altitude Cold Regions. Ph.D. Thesis, Southwest Jiaotong University, Chengdu, China, 2012. [Google Scholar]
- Wang, T.L.; Wang, H.H.; Hu, T.F.; Song, H.F. Experimental study on the mechanical properties of soil-structure interface under frozen conditions using an improved roughness algorithm. Cold Reg. Sci. Technol. 2019, 158, 62–68. [Google Scholar] [CrossRef]
- Chai, M.T.; Zhang, J.M. Improvement of compressibility and thaw-settlement properties of warm and ice-rich frozen soil with cement and additives. Materials 2019, 12, 1068. [Google Scholar] [CrossRef] [PubMed]
- Wen, Z.; Yu, Q.H.; Zhang, J.M.; Dong, S.S.; Ma, W.; Niu, F.J.; Zhao, S.P.; Yang, Z. Experimental study on adfreezing bond strength of interface between silt and foundation of Qinghai-Tibetan transmission line. Chin. J. Geotech. Eng. 2013, 35, 2262–2267. [Google Scholar]
- Huang, W.; Mao, X.; Wu, Q.; Chen, L. Experimental study on shear characteristics of the silty clay soil-ice interface. Sci. Rep. 2022, 12, 19687. [Google Scholar] [CrossRef]
- Wen, Z.; Yu, Q.H.; Ma, W.; Dong, S.; Niu, F.; Wang, D.; Yang, Z. Direct shear tests for mechanical characteristics of interface between Qinghai-Tibetan silt and fiberglass reinforced plastics. Rock Soil Mech. 2013, 34 (Suppl. S2), 45–50. [Google Scholar]
- Shi, S.; Zhang, F.; Feng, D.; Xu, X. Experimental investigation on shear characteristics of ice–frozen clay interface. Cold Reg. Sci. Technol. 2020, 176, 103090. [Google Scholar] [CrossRef]
- He, P.F.; Ma, W.; Mu, Y.H.; Dong, J.H.; Huang, Y.T. Study on freezing strength characteristics and formation mechanism of frozen soil-concrete interface. Trans. Chin. Soc. Agric. Eng. 2018, 34, 127–133. [Google Scholar]
- Feng, D.K.; Zhang, J.M.; Hou, W.J. Three-dimensional direct-shear behaviors of a gravel–structure interface. J. Geotech. Geoenviron. Eng. 2018, 144, 04018095. [Google Scholar] [CrossRef]
- Chang, J.; Liu, J.K.; Li, Y.L.; Wang, Q.; Hao, Z.H. Elastoplastic behavior of frozen sand—Concrete interfaces under cyclic shear loading. J. Zhejiang Univ.-Sci. A (Appl. Phys. Eng.) 2022, 23, 683–703. [Google Scholar] [CrossRef]
- Pra-ai, S.; Boulon, M. Soil-structure cyclic direct shear tests: A new interpretation of the direct shear experiment and its application to a series of cyclic tests. Acta Geotech. 2017, 12, 107–127. [Google Scholar] [CrossRef]

























| Specific Gravity | Saturated Unit Weight | Natural Water Content | Void Ratio | Internal Friction Angle |
|---|---|---|---|---|
| /(kN/m3) | /% | /Degree | ||
| 2.67 | 19.3 | 27 | 0.721 | 30.2 |
| Normal Stress/kPa | Testing Temperature/°C |
|---|---|
| 100 | 25, −1, −1.5, −2, −4, −6, −10, −14 |
| 300 | 25, −1, −1.5, −2, −4, −6, −10, −14 |
| 500 | 25, −1, −1.5, −2, −4, −6, −10, −14 |
| 700 | 25, −1, −1.5, −2, −4, −6, −10, −14 |
| Temperature/°C | k1 | k2 | k3 | k4 |
|---|---|---|---|---|
| −4 | 0.3119 | −1.9415 | 0.0063 | 2.172 |
| −6 | 0.3184 | 0.1785 | 0.0199 | 2.6085 |
| −10 | 0.5104 | 12.872 | 0.1623 | −11.553 |
| −14 | 0.3905 | 16.933 | 0.0752 | 5.4467 |
| Temperature/°C | N = 1 | N = 30 | |||
|---|---|---|---|---|---|
| Relationship | R2 | Relationship | R2 | ||
| Warm frozen cement-treated sand | −1 | τf = 6.7 + 0.697σN | 0.9953 | τf = 83.15 + 0.517σN | 0.9658 |
| −1.5 | τf = 16.75 + 0.648σN | 0.9921 | τf = 58.45 + 0.645σN | 0.9480 | |
| −2 | τf = 29.35 + 0.579σN | 0.9965 | τf = 2.8 + 0.753σN | 0.9498 | |
| Cold frozen cement-treated sand | −4 | τf = 36.35 + 0.584σN | 0.9956 | τf = 7 + 0.25σN | 0.9418 |
| −6 | τf = 42.05 + 0.586σN | 0.9972 | τf = 3.3 + 0.248σN | 0.8973 | |
| −10 | τf = 56.4 + 0.704σN | 0.9864 | τf = 11.05 + 0.236σN | 0.9317 | |
| −14 | τf = 80.5 + 0.765σN | 0.9977 | τf = 13.95 + 0.215σN | 0.9080 | |
| Temperature/°C | N | η1 | η2 | η3 | η4 |
|---|---|---|---|---|---|
| Warm frozen cement-treated sand | 1 | −22.65 | 16.38 | 4.81 | 39.85 |
| 30 | 80.35 | 168.66 | 9.64 | 17.92 | |
| Cold frozen cement-treated sand | 1 | −4.401 | 15.92 | −0.77 | 26.9 |
| 30 | −0.91 | 1.11 | 0.19 | 14.99 |
Publisher’s Note: MDPI stays neutral with regard to jurisdictional claims in published maps and institutional affiliations. |
© 2022 by the authors. Licensee MDPI, Basel, Switzerland. This article is an open access article distributed under the terms and conditions of the Creative Commons Attribution (CC BY) license (https://creativecommons.org/licenses/by/4.0/).
Share and Cite
Pan, R.; Yang, Z.; Yang, P.; Shi, X. Cyclic Shear Behavior of Frozen Cement-Treated Sand–Concrete Interface. Materials 2022, 15, 8756. https://doi.org/10.3390/ma15248756
Pan R, Yang Z, Yang P, Shi X. Cyclic Shear Behavior of Frozen Cement-Treated Sand–Concrete Interface. Materials. 2022; 15(24):8756. https://doi.org/10.3390/ma15248756
Chicago/Turabian StylePan, Rongkai, Zhaohui (Joey) Yang, Ping Yang, and Xin Shi. 2022. "Cyclic Shear Behavior of Frozen Cement-Treated Sand–Concrete Interface" Materials 15, no. 24: 8756. https://doi.org/10.3390/ma15248756
APA StylePan, R., Yang, Z., Yang, P., & Shi, X. (2022). Cyclic Shear Behavior of Frozen Cement-Treated Sand–Concrete Interface. Materials, 15(24), 8756. https://doi.org/10.3390/ma15248756
