Modification Effect of Nano-Clay on Mechanical Behavior of Composite Geomaterials: Cement, Nano-Silica and Coastal Soft Soil
Abstract
1. Introduction
2. Materials and Experimental Method
2.1. Materials
2.2. Experiment Scheme
2.3. Sample Preparation
2.4. Experiment Methods
3. Results and Discussion
3.1. Deformation Characteristics
3.1.1. Unconfined Compressive Strength and Residual Strength
3.1.2. Ductility Index
3.2. Unconsolidated Undrained Shear Test
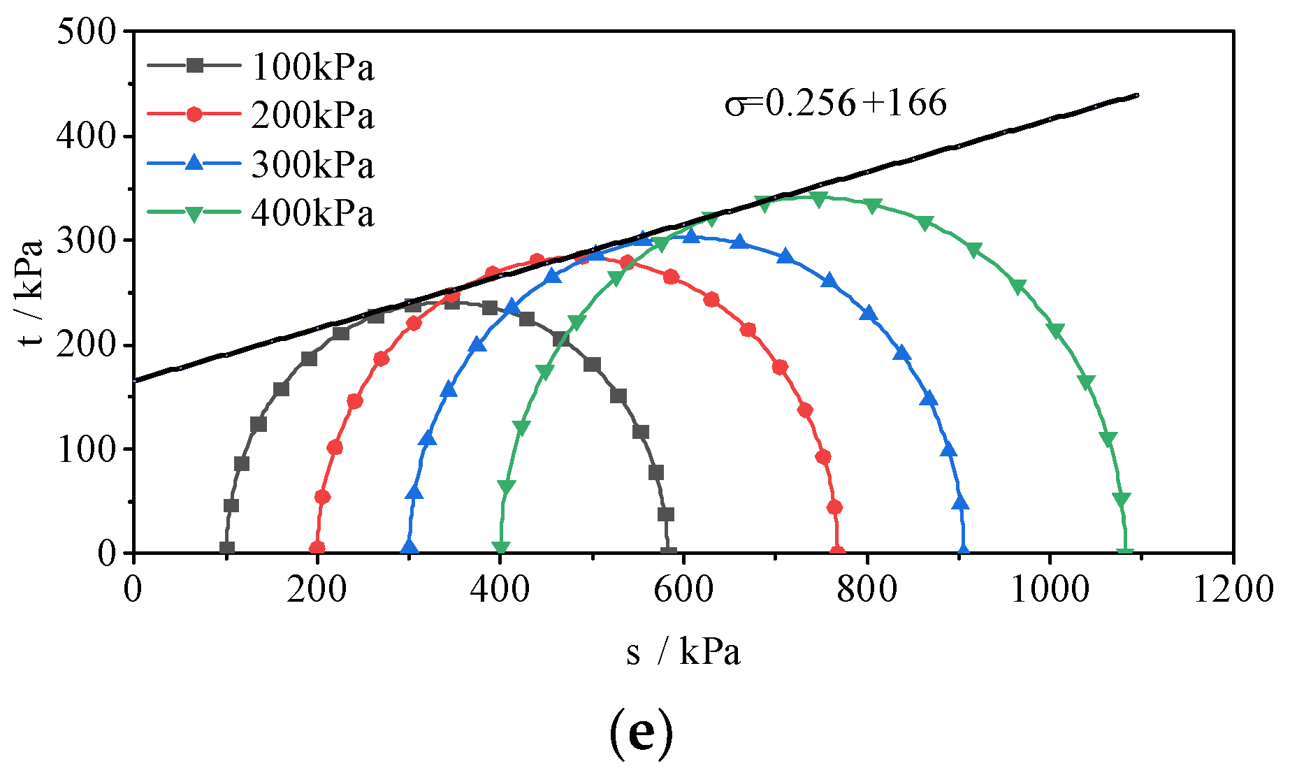
3.2.1. Shear Index
3.2.2. Duncan–Chang model
4. Conclusions
- (1)
- In the unconfined compression test, the addition of nano-clay will not change the softening curve characteristics of cement soil mixture. Nevertheless, when the addition of nano-clay can enhance the plasticity of cement-stabilized soil and increase the plastic failure strain, this mechanical behavior conforms to the requirements of engineering application.
- (2)
- In the 0–10% nano-clay content, the unconfined compressive strength of the SCSC sample increases with the incorporation of nano-clay, and reaches the maximum unconfined compressive strength when the nano-clay content is 10%. Moreover, the ductility index of cement stabilized is also enhanced by nano-clay.
- (3)
- In the unconsolidated undrained shear test, the deviatoric stress–strain curve of the samples exhibited the hardening curve. In the 0–10% nano-clay content, the shear strength increases with the increasing nano-clay content, reaching the maximum shear strength when the nano-clay content is 10%. Meanwhile, the deviatoric stress–strain curves of SCSC samples correlated with the Duncan–Chang model well.
Author Contributions
Funding
Institutional Review Board Statement
Informed Consent Statement
Data Availability Statement
Conflicts of Interest
References
- Wang, J.; Zhou, Z.; Fu, H.; Dong, Q.; Cai, Y.; Hu, X. Influence of vacuum preloading on vertical bearing capacities of piles installed on coastal soft soil. Mar. Geores. Geotechnol. 2019, 37, 870–879. [Google Scholar] [CrossRef]
- Dongxing, W.; Zentar, R.; Abriak, N.E. Interpretation of compression behavior of structured and remolded marine soils. J. Mater. Civ. Eng. 2016, 28, 04016005. [Google Scholar]
- Mohamad, N.O.; Razali, C.E.; Hadi, A.A.A.; Som, P.P.; Eng, B.C.; Rusli, M.B.; Mohamad, F.R. Challenges in Construction Over Soft Soil—Case Studies in Malaysia. IOP Conf. Ser. Mater. Sci. Eng. 2016, 136, 012002. [Google Scholar] [CrossRef]
- Idrus, M.M.M.; Singh, J.S.M.; Musbah, A.L.A.; Wijeyesekera, D.C. Investigation of Stabilised Batu Pahat Soft Soil Pertaining on its CBR and Permeability Properties for Road Construction. IOP Conf. Ser. Mater. Sci. Eng. 2016, 136, 012026. [Google Scholar] [CrossRef]
- Eisa, M.S.; Basiouny, M.E.; Mohamady, A.; Mira, M. Improving Weak Subgrade Soil Using Different Additives. Materials 2022, 15, 4462. [Google Scholar] [CrossRef]
- Basha, E.A.; Hashim, R.; Mahmud, H.B.; Muntohar, A.S. Stabilization of residual soil with rice husk ash and cement. Constr. Build. Mater. 2005, 19, 448–453. [Google Scholar] [CrossRef]
- Ali, F.H.; Adnan, A.; Choy, C.K. Geotechnical properties of a chemically stabilized soil from Malaysia with rice husk ash as an additive. Geotech. Geol. Eng. 1992, 10, 117–134. [Google Scholar] [CrossRef]
- Fang, J.; Wang, Y.; Wang, K.; Dai, W.; Yu, Y.; Li, C. Experimental Study on the Mechanical Properties of Diatomite-Modified Coastal Cement Soil. Materials 2022, 15, 7857. [Google Scholar] [CrossRef]
- Yousefi Oderji, S.; Chen, B.; Ahmad, M.R.; Shah, S.F.A. Fresh and hardened properties of one-part fly ash-based geopolymer binders cured at room temperature: Effect of slag and alkali activators. J. Clean. Prod. 2019, 225, 1–10. [Google Scholar] [CrossRef]
- Yao, K.; Wang, W.; Li, N.; Zhang, C.; Wang, L. Investigation on strength and microstructure characteristics of nano-MgO admixed with cemented soft soil. Constr. Build. Mater. 2019, 206, 160–168. [Google Scholar] [CrossRef]
- Puppala Anand, J.; Hoyos Laureano, R.; Potturi Ajay, K. Resilient Moduli Response of Moderately Cement-Treated Reclaimed Asphalt Pavement Aggregates. J. Mater. Civ. Eng. 2011, 23, 990–998. [Google Scholar] [CrossRef]
- Zhang, T.; Cai, G.; Liu, S. Reclaimed Lignin-Stabilized Silty Soil: Undrained Shear Strength, Atterberg Limits, and Microstructure Characteristics. J. Mater. Civ. Eng. 2018, 30, 04018277. [Google Scholar] [CrossRef]
- Bhanja, S.; Sengupta, B. Influence of silica fume on the tensile strength of concrete. Cem. Concr. Res. 2005, 35, 743–747. [Google Scholar] [CrossRef]
- Xiaokang, Z.; Qiao, D.; Xueqin, C.; Xingyu, G.; Liyuan, W. Mesoscale Cracking of Cement-treated Composites with Initial Defects. China J. Highw. Transp. 2020, 33, 230. [Google Scholar]
- Yu, W.; Li, N.; Dai, M.; An, D.; Qian, B.; Wang, W.; Jiang, P. Consolidation Behavior and Compression Prediction Model of Coastal Cement Soil Modified by Nanoclay. Adv. Mater. Sci. Eng. 2021, 2021, 5593040. [Google Scholar] [CrossRef]
- Wei, W.; Jingjing, L.; Na, L.; Lu, M. Mechanical properties and micro mechanism of nano-SiO2 modified coastal cement soil at short age. Acta Mater. Compos. Sin. 2022, 39, 1701–1714. [Google Scholar]
- Majeed, Z.H.; Taha, M.R. Effect of Nanomaterial Treatment on Geotechnical Properties of a Penang Soft Soil. J. Asian Sci. Res. 2012, 2, 587–592. [Google Scholar]
- Li, Z.; Zhao, Z.; Shi, H.; Li, J.; Zhao, C.; Wang, P. Experimental Study on PVA-MgO Composite Improvement of Sandy Soil. Materials 2022, 15, 5609. [Google Scholar] [CrossRef]
- Qing, Y.; Zenan, Z.; Li, S.; Rongshen, C. A comparative study on the pozzolanic activity between nano-SiO2 and silica fume. J. Wuhan Univ. Technol.-Mat. Sci. Edit. 2006, 21, 153–157. [Google Scholar] [CrossRef]
- Zhuang, C.; Chen, Y. The effect of nano-SiO2 on concrete properties: A review. Nanotechnol. Rev. 2019, 8, 562–572. [Google Scholar] [CrossRef]
- Zhenjiang, X.; Menghui, L.; Rong, C.; Fuhai, L.; Xuan, Y.; Qingxu, Z. Research on the inhibition of efflorescence of slab ballastless track by using nano silica. Railw. Stand. Des. 2022, 67, 1–8. [Google Scholar]
- Jie, L.; Xudong, S.; Wenfu, H. Research on the macro and micro performance of concrete under the action of different nano SiO2 particle size. Concr. Eng. Int. 2022, 2, 90–93. [Google Scholar]
- Mirgozar Langaroudi, M.A.; Mohammadi, Y. Effect of nano-clay on workability, mechanical, and durability properties of self-consolidating concrete containing mineral admixtures. Constr. Build. Mater. 2018, 191, 619–634. [Google Scholar] [CrossRef]
- Hamed, N.; El-Feky, M.S.; Kohail, M.; Nasr, E.-S.A.R. Effect of nano-clay de-agglomeration on mechanical properties of concrete. Constr. Build. Mater. 2019, 205, 245–256. [Google Scholar] [CrossRef]
- Zhao, Y.; Ling, X.; Gong, W.; Li, P.; Li, G.; Wang, L. Mechanical Properties of Fiber-Reinforced Soil under Triaxial Compression and Parameter Determination Based on the Duncan-Chang Model. Appl. Sci. 2020, 10, 9043. [Google Scholar] [CrossRef]
- Gao, M.; Jin, X.; Zhao, T.; Li, H.; Zhou, L. Study on the strength mechanism of red clay improved by waste tire rubber powder. Case Stud. Constr. Mater. 2022, 17, e01416. [Google Scholar] [CrossRef]
- Wang, W.; Li, J.; Hu, J. Unconfined Mechanical Properties of Nanoclay Cement Compound Modified Calcareous Sand of the South China Sea. Adv. Civ. Eng. 2020, 2020, 6623710. [Google Scholar] [CrossRef]
- Bekhiti, M.; Trouzine, H.; Rabehi, M. Influence of waste tire rubber fibers on swelling behavior, unconfined compressive strength and ductility of cement stabilized bentonite clay soil. Constr. Build. Mater. 2019, 208, 304–313. [Google Scholar] [CrossRef]
- Park, S.-S. Unconfined compressive strength and ductility of fiber-reinforced cemented sand. Constr. Build. Mater. 2011, 25, 1134–1138. [Google Scholar] [CrossRef]
- Longwei, W.; Jin, L.; Lingzhi, X.; Lilin, W.; Chuan, Z.; Changqing, Q. Triaxial shear test of sand improved by polymer composite. Hydrogeol. Eng. Geol. 2020, 47, 149–157. [Google Scholar]
- Niu, X.-J.; Li, Q.-B.; Hu, Y.; Tan, Y.-S.; Liu, C.-F. Properties of cement-based materials incorporating nano-clay and calcined nano-clay: A review. Constr. Build. Mater. 2021, 284, 122820. [Google Scholar] [CrossRef]
- Duncan James, M.; Chang, C.-Y. Nonlinear Analysis of Stress and Strain in Soils. J. Soil Mech. Found. Div. 1970, 96, 1629–1653. [Google Scholar] [CrossRef]









| Density (g/cm3) | Porosity (%) | Liquid Limit (%) | Plastic Limit (%) | Plastic Index |
|---|---|---|---|---|
| 1.63 | 1.62 | 30.4 | 2.68 | 20.4 |
| Fineness (%) | Compressive Strength (MPa) | Flexural Strength (MPa) | Initial Setting Time (Min) | Final Setting Time (Min) | ||
|---|---|---|---|---|---|---|
| 3 d | 28 d | 3 d | 28 d | |||
| 3.4 | 4.8 | 8.9 | 24.5 | 47.6 | 200 | 350 |
| Sample No. | Water Content (%) | Cement Content (%) | Nano-SiO2 Content (%) | Nano-Clay Content (%) | Curing Age (Days) |
|---|---|---|---|---|---|
| SCSC0 | 50 | 10 | 4.5 | 0 | 7 |
| SCSC4 | 4 | ||||
| SCSC6 | 6 | ||||
| SCSC8 | 8 | ||||
| SCSC10 | 10 |
| Shear Index | SCSC0 | SCSC4 | SCSC6 | SCSC8 | SCSC10 |
|---|---|---|---|---|---|
| Friction angle φ (°) | 12.95 | 12.41 | 14.57 | 14.04 | 14.04 |
| Cohesion c (kPa) | 133 | 145 | 138 | 149 | 166 |
| Sample Number | Confining Pressure | A | B |
|---|---|---|---|
| SCSC0 | 100 | 0.0031 | 0.00228 |
| 200 | 0.00908 | 0.00164 | |
| 300 | 0.00679 | 0.00152 | |
| 400 | 0.00775 | 0.0012 | |
| SCSC4 | 100 | 0.00721 | 0.00187 |
| 200 | 0.00694 | 0.00168 | |
| 300 | 0.01136 | 0.00116 | |
| 400 | 0.00743 | 0.00125 | |
| SCSC6 | 100 | 0.00674 | 0.00182 |
| 200 | 0.00637 | 0.00156 | |
| 300 | 0.00596 | 0.00138 | |
| 400 | 0.00438 | 0.00123 | |
| SCSC8 | 100 | 0.00506 | 0.0073 |
| 200 | 0.00563 | 0.00155 | |
| 300 | 0.00813 | 0.00113 | |
| 400 | 0.00627 | 0.00108 | |
| SCSC10 | 100 | 0.00475 | 0.00163 |
| 200 | 0.00536 | 0.00141 | |
| 300 | 0.00587 | 0.00129 | |
| 400 | 0.00659 | 0.00107 |
Publisher’s Note: MDPI stays neutral with regard to jurisdictional claims in published maps and institutional affiliations. |
© 2022 by the authors. Licensee MDPI, Basel, Switzerland. This article is an open access article distributed under the terms and conditions of the Creative Commons Attribution (CC BY) license (https://creativecommons.org/licenses/by/4.0/).
Share and Cite
Wang, Y.; Wang, W.; Zhao, Y.; Li, N.; Luo, J.; Belete, A.M.; Ping, J. Modification Effect of Nano-Clay on Mechanical Behavior of Composite Geomaterials: Cement, Nano-Silica and Coastal Soft Soil. Materials 2022, 15, 8735. https://doi.org/10.3390/ma15248735
Wang Y, Wang W, Zhao Y, Li N, Luo J, Belete AM, Ping J. Modification Effect of Nano-Clay on Mechanical Behavior of Composite Geomaterials: Cement, Nano-Silica and Coastal Soft Soil. Materials. 2022; 15(24):8735. https://doi.org/10.3390/ma15248735
Chicago/Turabian StyleWang, Yaying, Wei Wang, Yinuo Zhao, Na Li, Jiale Luo, Asefa Mulugeta Belete, and Jiang Ping. 2022. "Modification Effect of Nano-Clay on Mechanical Behavior of Composite Geomaterials: Cement, Nano-Silica and Coastal Soft Soil" Materials 15, no. 24: 8735. https://doi.org/10.3390/ma15248735
APA StyleWang, Y., Wang, W., Zhao, Y., Li, N., Luo, J., Belete, A. M., & Ping, J. (2022). Modification Effect of Nano-Clay on Mechanical Behavior of Composite Geomaterials: Cement, Nano-Silica and Coastal Soft Soil. Materials, 15(24), 8735. https://doi.org/10.3390/ma15248735

