Static and Resonant Properties and Magnetic Phase Diagram of LiMn2TeO6
Abstract
1. Introduction
2. Experimental
3. Results and Discussion
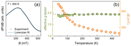
3.1. Electron Spin Resonance
3.2. Magnetization
3.3. acMagnetic Susceptibility
3.4. Specific Heat
3.5. Nuclear Magnetic Resonance
4. Discussion
5. Summary
Supplementary Materials
Author Contributions
Funding
Institutional Review Board Statement
Informed Consent Statement
Data Availability Statement
Acknowledgments
Conflicts of Interest
References
- Bebenin, N.G.; Zainullina, R.I.; Ustinov, V.V. Colossal magnetoresistance manganites. Phys. -Uspekhi 2018, 61, 719–738. [Google Scholar] [CrossRef]
- Wagner, P.; Wackers, G.; Cardinaletti, I.; Manca, J.; Vanacken, J. From colossal magnetoresistance to solar cells: An overview on 66 years of research into perovskites. Phys. Status Solidi A 2017, 214, 1700394. [Google Scholar] [CrossRef]
- Raveau, B. The crucial role of mixed valence in the magnetoresistance properties of manganites and cobaltites. Phil. Trans. R Soc. A 2008, 366, 83–92. [Google Scholar] [CrossRef] [PubMed]
- Şen, C.; Alvarez, G.; Dagotto, E. Competing Ferromagnetic and Charge-Ordered States in Models for Manganites: The Origin of the Colossal Magnetoresistance Effect. Phys. Rev. Lett. 2007, 98, 127202. [Google Scholar] [CrossRef] [PubMed]
- Armstrong, A.R.; Bruce, P.G. Synthesis of layered LiMnO2 as an electrode for rechargeable lithium batteries. Nature 1996, 381, 499–500. [Google Scholar] [CrossRef]
- Huang, Y.; Dong, Y.; Li, S.; Lee, J.; Wang, C.; Zhu, Z.; Xue, W.; Li, Y.; Li, J. Lithium Manganese Spinel Cathodes for Lithium-Ion Batteries. Adv. Energy Mater. 2021, 11, 2000997. [Google Scholar] [CrossRef]
- Thackeray, M.M.; Lee, E.; Shi, B.; Croy, J.R. Review–From LiMn2O4 to Partially-Disordered Li2MnNiO4: The Evolution of Lithiated-Spinel Cathodes for Li-Ion Batteries. J. Electrochem. Soc. 2022, 169, 020535. [Google Scholar] [CrossRef]
- Liu, S.; Wang, B.; Zhang, X.; Zhao, S.; Zhang, Z.; Yu, H. Reviving the lithium-manganese-based layered oxide cathodes for lithium-ion batteries. Matter 2021, 4, 1511–1527. [Google Scholar] [CrossRef]
- Wolf, S.A.; Awschalom, D.D.; Buhrman, R.A.; Daughton, J.M.; von Molnár, S.; Roukes, M.L.; Chtchelkanova, A.Y.; Treger, D.M. Spintronics: A Spin-Based Electronics Vision for the Future. Science 2001, 294, 1488–1495. [Google Scholar] [CrossRef]
- Yang, Q.; Yao, J.; Zhang, K.; Wang, W.; Zuo, X.; Tang, H.; Wu, M.; Li, G. Perovskite-type La1−xCaxMnO3 manganese oxides as effective counter electrodes for dye-sensitized solar cells. J. Electroanalyt. Chem. 2019, 833, 1–8. [Google Scholar] [CrossRef]
- Gager, E.; Frye, M.; McCord, D.; Scheffe, J.C.; Nino, J. Reticulated porous lanthanum strontium manganite structures for solar thermochemical hydrogen production. Int. J. Hydrog. Energy 2022, 47, 31152–31164. [Google Scholar] [CrossRef]
- Riaz, A.; Kreider, P.; Kremer, F.; Tabassum, H.; Yeoh, J.S.; Lipiński, W.; Lowe, A. Electrospun Manganese-Based Perovskites as Efficient Oxygen Exchange Redox Materials for Improved Solar Thermochemical CO2 Splitting. ACS Appl. Energy Mater. 2019, 2, 2494–2505. [Google Scholar] [CrossRef]
- Sánchez-Ochoa, F.; Springborg, M. Silver hollandite (AgxMn8O16, x < 2): A highly anisotropic half-metal for spintronics. Phys. Rev. Mat. 2021, 5, 095001. [Google Scholar] [CrossRef]
- Prodi, A.; Gilioli, E.; Gauzzi, A.; Licci, F.; Marezio, M.; Bolzoni, F.; Huang, Q.; Santoro, A.; Lynn, J.W. Charge, orbital and spin ordering phenomena in the mixed valence manganite (NaMn3+3)(Mn3+2Mn4+2)O12. Nat. Mater. 2004, 3, 48–52. [Google Scholar] [CrossRef]
- Coey, M. Charge-ordering in oxides. Nature 2004, 430, 155–157. [Google Scholar] [CrossRef]
- Qiu, X.; Proffen, T.; Mitchell, J.F.; Billinge, S.J.L. Orbital Correlations in the Pseudocubic O and Rhombohedral R Phases of LaMnO3. Phys. Rev. Lett. 2005, 94, 177203. [Google Scholar] [CrossRef]
- Johnson, R.D.; Mezzadri, F.; Manuel, P.; Khalyavin, D.D.; Gilioli, E.; Radaelli, P.G. Evolution of Magneto-Orbital order Upon B-Site Electron Doping in Na1−xCaxMn7O12 Quadruple Perovskite Manganites. Phys. Rev. Lett. 2018, 120, 257202. [Google Scholar] [CrossRef]
- Volkova, O.S.; Shvanskaya, L.V.; Ovchenkov, E.A.; Zvereva, E.A.; Volkov, A.S.; Chareev, D.A.; Molla, K.; Rahaman, B.; Saha-Dasgupta, T.; Vasiliev, A.N. Structure–Property Relationships in α-, β′-, and γ-Modifications of Mn3(PO4)2. Inorg. Chem. 2016, 55, 10692–10700. [Google Scholar] [CrossRef]
- Ederer, C.; Spaldin, N.A. A new route to magnetic ferroelectrics. Nat. Mater. 2004, 3, 849–851. [Google Scholar] [CrossRef]
- Rairigh, R.P.; Singh-Bhalla, G.; Tongay, S.; Dhakal, T.; Biswas, A.; Hebard, A.F. Colossal magnetocapacitance and scale-invariant dielectric response in phase-separated manganites. Nat. Phys. 2007, 3, 551–555. [Google Scholar] [CrossRef]
- Kurbakov, A.I.; Susloparova, A.E.; Pomjakushin, V.Y.; Skourski, Y.; Vavilova, E.L.; Vasilchikova, T.M.; Raganyan, G.V.; Vasiliev, A.N. Commensurate helicoidal order in the triangular layered magnet Na2MnTeO6. Phys. Rev. B 2022, 105, 064416. [Google Scholar] [CrossRef]
- Zvereva, E.A.; Raganyan, G.V.; Vasilchikova, T.M.; Nalbandyan, V.B.; Gafurov, D.A.; Vavilova, E.L.; Zakharov, K.V.; Koo, H.-J.; Pomjakushin, V.Y.; Susloparova, A.E.; et al. Hidden magnetic order in the triangular-lattice magnet Li2MnTeO6. Phys. Rev. B 2020, 102, 094433. [Google Scholar] [CrossRef]
- Pospelov, A.A.; Nalbandyan, V.B.; Serikova, E.I.; Medvedev, B.S.; Evstigneeva, M.A.; Ni, E.V.; Lukov, V.V. Crystal structure and properties of a new mixed-valence compound LiMn2TeO6 and the survey of the LiMM′XO6 family (X = Sb or Te). Solid State Sci. 2011, 13, 1931–1937. [Google Scholar] [CrossRef]
- Choisnet, A.J.; Rulmont, A.; Tarte, P. Ordering phenomena in the LiSbO3 type structure: The new mixed tellurates Li2TiTeO6 and Li2SnTeO6. J. Solid State Chem. 1989, 82, 272–278. [Google Scholar] [CrossRef]
- Genkina, E.A. Accurate definition of LiSbO3 crystal structure. Kristallografiya 1992, 37, 356–358. [Google Scholar]
- Ivanshin, V.A.; Deisenhofer, J.; Krug von Nidda, H.-A.; Loidl, A.; Mukhin, A.; Balbashov, J.; Eremin, M.V. ESR study in lightly doped La1−xSrxMnO3. Phys. Rev. B: Cond. Matter Mater. Phys. 2000, 61, 6213–6219. [Google Scholar] [CrossRef]
- Bain, G.A.; Berry, J.F. Diamagnetic Corrections and Pascal’s Constants. J. Chem. Educ. 2008, 85, 532–536. [Google Scholar] [CrossRef]
- Tari, A. The Specific Heat of Matter at Low Temperatures; Imperial College Press: London, UK, 2003. [Google Scholar]
- Stanley, H.E. Introduction to Phase Transitions and Critical Phenomena; Oxford University Press: Oxford, UK, 1987. [Google Scholar]
- Moriya, T. The Effect of Electron-Electron Interaction on the Nuclear Spin Relaxation in Metals. J. Phys. Soc. Jpn. 1963, 18, 516–520. [Google Scholar] [CrossRef]
- Yamada, Y.; Sakata, A. An Analysis Method of Antiferromagnetic Powder Patterns in Spin-Echo NMR under External Fields. J. Phys. Soc. Jpn. 1986, 55, 1751–1758. [Google Scholar] [CrossRef]










Publisher’s Note: MDPI stays neutral with regard to jurisdictional claims in published maps and institutional affiliations. |
© 2022 by the authors. Licensee MDPI, Basel, Switzerland. This article is an open access article distributed under the terms and conditions of the Creative Commons Attribution (CC BY) license (https://creativecommons.org/licenses/by/4.0/).
Share and Cite
Vasilchikova, T.; Vavilova, E.; Salikhov, T.; Nalbandyan, V.; Dengre, S.; Sarkar, R.; Klauss, H.-H.; Vasiliev, A. Static and Resonant Properties and Magnetic Phase Diagram of LiMn2TeO6. Materials 2022, 15, 8694. https://doi.org/10.3390/ma15238694
Vasilchikova T, Vavilova E, Salikhov T, Nalbandyan V, Dengre S, Sarkar R, Klauss H-H, Vasiliev A. Static and Resonant Properties and Magnetic Phase Diagram of LiMn2TeO6. Materials. 2022; 15(23):8694. https://doi.org/10.3390/ma15238694
Chicago/Turabian StyleVasilchikova, Tatyana, Evgeniya Vavilova, Timur Salikhov, Vladimir Nalbandyan, Shanu Dengre, Rajib Sarkar, Hans-Henning Klauss, and Alexander Vasiliev. 2022. "Static and Resonant Properties and Magnetic Phase Diagram of LiMn2TeO6" Materials 15, no. 23: 8694. https://doi.org/10.3390/ma15238694
APA StyleVasilchikova, T., Vavilova, E., Salikhov, T., Nalbandyan, V., Dengre, S., Sarkar, R., Klauss, H.-H., & Vasiliev, A. (2022). Static and Resonant Properties and Magnetic Phase Diagram of LiMn2TeO6. Materials, 15(23), 8694. https://doi.org/10.3390/ma15238694

