A Comprehensive Review of Self-Healing Polymer, Metal, and Ceramic Matrix Composites and Their Modeling Aspects for Aerospace Applications
Abstract
:1. Introduction
1.1. Principle of Self-Healing
1.1.1. Design Strategies
1.1.2. Release of Healing Agent
1.1.3. Microcapsule Embedment
1.1.4. Hollow Fiber Embedment
- To restore injury, a more considerable amount of curing agent should be available.
- Various activation methods/resin forms can be chosen.
- Visual examination of the affected region is possible.
- Hollow fibers can be quickly combined and adapted with traditional reinforcing fibers.
1.1.5. Micro Vascular Systems
1.2. Reversible Cross-Links
1.2.1. Diels–Alder (DA) Reactions

1.2.2. Ionomers
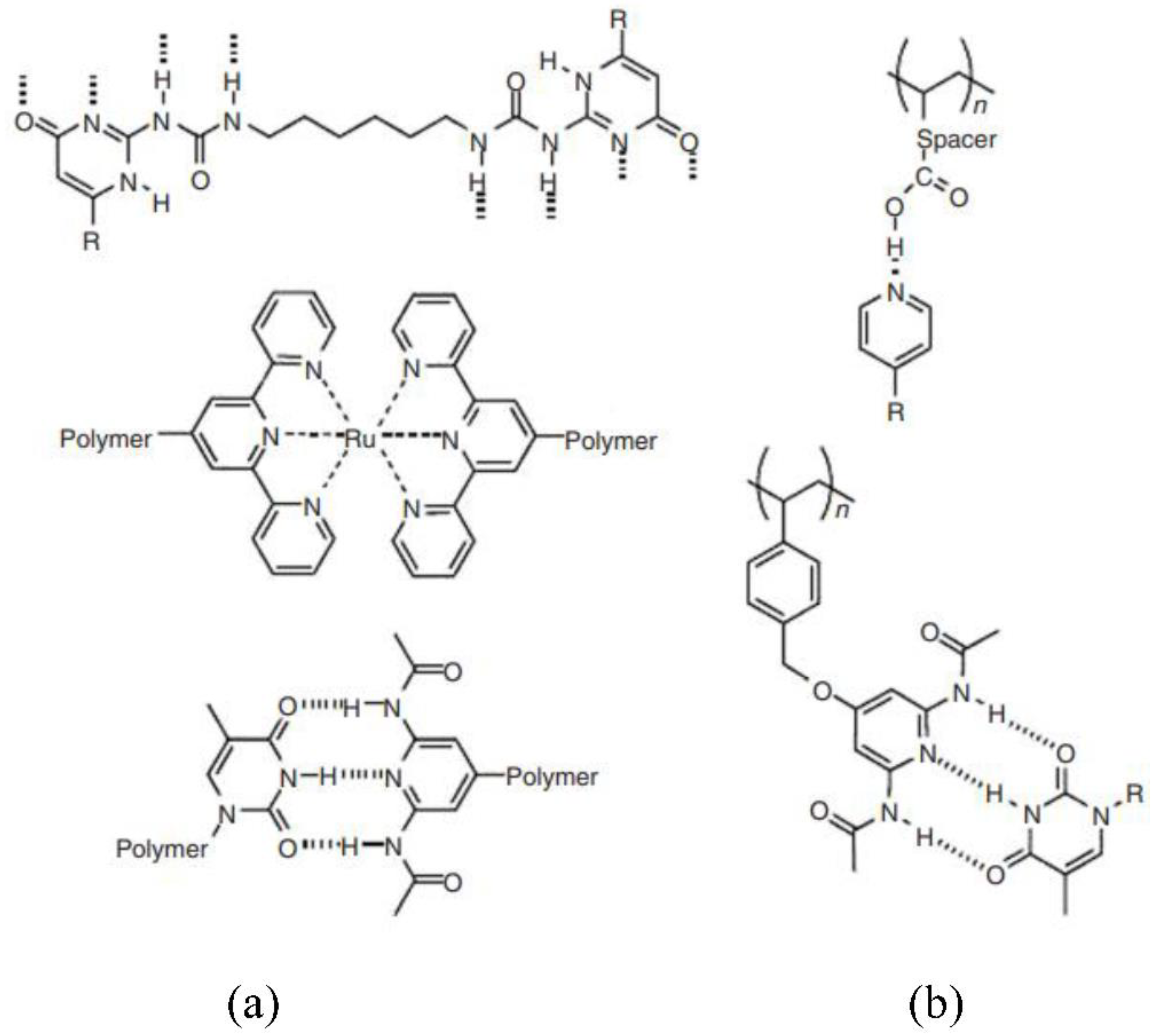
1.2.3. Supramolecular Polymers (SP)

1.3. Miscellaneous Technologies
1.3.1. Electrohydrodynamics
1.3.2. Conductivity
1.3.3. Shape Memory Effect
1.3.4. Migration of Nanoparticles
1.3.5. Co-Deposition
1.4. Applications
- “Concept development (preliminary level)
- Laboratory execution (product level)
- Pilot line upscaling (process level)
- Industrial applications (marketing level)” [100]
2. Self-Healing of Metals and Metal Matrix Composites
2.1. Classification of Metallic Structures in Self-Healing
2.2. Mechanisms of Self-Healing Metal and MMCs
2.2.1. Precipitation-Dependent Healing
2.2.2. Healing Based on Nano-SMA-Dispersoids
2.2.3. SMA-Based Healing
2.2.4. Encapsulated Healing
2.2.5. Coating-Based Healing
2.2.6. Electro Healing
2.2.7. Eutectic-Based Recovery
2.3. Applications and Future Scope
3. Self-Healing Ceramic Matrix Composites
3.1. Introduction
3.2. Analyzing Self-Healing
Requirements of Self-Healing CMCs
3.3. Modeling of the Matrix Interphase Architectures
3.3.1. Existing Interphase Materials
3.3.2. Multi-Layered Interphase
3.3.3. Self-Healing Matrix

3.3.4. Nano-Textured Matrices
3.4. Analyzing the Characteristics of Self-Healing CMC
3.4.1. Corrosion and Oxidation Opposition Regarding the Constituent
3.4.2. Resistance to Oxidation of SiC
3.4.3. Oxidation Resistance of Boron Carbide
3.4.4. Resistance to Oxidation for Carbide of Boron and Silicon
3.4.5. Oxidation Testing of Self-Healing Matrix Composites
3.5. Applications
3.6. Summary
4. Self-Healing Polymer Composites
4.1. Planning of Microcapsules Full of Epoxy Representative
4.2. Characterisation of Encapsulated Epoxy
4.3. Mechanical Characteristics
4.3.1. Tensile Characteristics of Self-Healing Epoxy
4.3.2. Epoxy with Self-Healing Fracture Toughness
4.3.3. Fracture Resistance of Repaired Epoxy
5. Fiber-Reinforced Epoxy Self-Healing Composites
5.1. Epoxy Resin
Self-Healing Epoxy-Based Polymer
5.2. Applications of Self-Healing Composites in the Aerospace Sectors
5.2.1. Aircraft Primary and Secondary Structural Load-Bearing Applications
5.2.2. Engine Applications
5.2.3. Aerostructures
5.2.4. Coatings
5.3. Summary
6. Conclusions
Author Contributions
Funding
Data Availability Statement
Acknowledgments
Conflicts of Interest
References
- Chee, S.S.; Jawaid, M.; Sultan, M.T.H.; Alothman, O.Y.; Abdullah, L.C. Thermomechanical and dynamic mechanical properties of bamboo/woven kenaf mat reinforced epoxy hybrid composites. Compos. Part B Eng. 2019, 163, 165–174. [Google Scholar]
- Wang, X.; Liang, D.; Cheng, B. Preparation and research of intrinsic self-healing elastomers based on hydrogen and ionic bond. Compos. Sci. Technol. 2020, 193, 108127. [Google Scholar]
- Rahmani, H.; Eslami-Farsani, R.; Ebrahimnezhad-Khaljiri, H. High velocity impact response of aluminum- carbon fibres-epoxy laminated composites toughened by nano silica and zirconia. Fibres Polym. 2020, 21, 170–178. [Google Scholar]
- Han, J.; Ding, Q.; Mei, C.; Wu, Q.; Yue, Y.; Xu, X. An intrinsically self-healing and biocompatible electroconductive hydrogel based on nanostructured nanocellulose-polyaniline complexes embedded in a viscoelastic polymer network towards flexible conductors and electrodes. Electrochim. Acta. 2019, 318, 660–672. [Google Scholar]
- Ding, Q.; Xu, X.; Yue, Y.; Mei, C.; Huang, C.; Jiang, S.; Wu, Q.; Han, J. Nanocellulose-mediated electroconductive self-healing hydrogels with high strength, plasticity, viscoelasticity, stretchability, and biocompatibility toward multifunctional applications. ACS Appl. Mater. Interfaces 2018, 10, 27987–28002. [Google Scholar]
- Ghosh, S.K. (Ed.) Self-Healing Materials: Fundamentals, Design Strategies, and Applications; Wiley-vch: Weinheim, Germany, 2009. [Google Scholar]
- Feiz, A.; Khosravi, H. Multiscale composites based on a nanoclay-enhanced matrix and E-glass chopped strand mat. J. Reinforc. Plast. Compos. 2019, 38, 591–600. [Google Scholar]
- Naresh, K.; Cantwell, W.J.; Khan, K.A.; Umer, R. Single and multi-layer core designs for Pseudo-Ductile failure in honeycomb sandwich structures. Compos. Struct. 2021, 256, 113059. [Google Scholar]
- Khan, T.; Irfan, M.S.; Cantwell, W.J.; Umer, R. Crack healing in infusible thermoplastic composite laminates. Compos. Part A: Appl. Sci. Manuf. 2022, 156, 106896. [Google Scholar]
- Bolimowski, P.A.; Bond, I.P.; Wass, D.F. Robust synthesis of epoxy resin-filled microcapsules for application to self-healing materials. Phil. Trans. R. Soc. A 2016, 374, 20150083. [Google Scholar]
- Ouyang, Z.; Yu, H.Y.; Song, M.; Zhu, J.; Wang, D. Ultrasensitive and robust self-healing composite films with reinforcement of multi-branched cellulose nanocrystals. Compos. Sci. Technol. 2020, 198, 108300. [Google Scholar]
- Karimi, M.; Bayesteh, H.; Mohammadi, S. An adapting cohesive approach for crack-healing analysis in SMA fibre-reinforced composites. Comput. Methods Appl. Mech. Eng. 2019, 349, 550–575. [Google Scholar]
- Ahangaran, F.; Hayaty, M.; Navarchian, A.H.; Picchioni, F. Micromechanical assessment of PMMA microcapsules containing epoxy and mercaptan as self-healing agents. Polym. Test. 2017, 64, 330–336. [Google Scholar]
- Al-Tabbaa, A.; Litina, C.; Giannaros, P.; Kanellopoulos, A.; Souza, L. First UK field application and performance of microcapsule-based self-healing concrete. Constr. Build. Mater. 2019, 208, 669–685. [Google Scholar]
- Maira, B.; Takeuchi, K.; Chammingkwan, P.; Terano, M.; Taniike, T. Thermal conductivity of polypropylene/aluminum oxide nanocomposites prepared based on reactor granule technology. Compos. Sci. Technol. 2018, 165, 259–265. [Google Scholar]
- Nematollahi, B.; Sanjayan, J.; Shaikh, F.U.A. Comparative deflection hardening behavior of short fibre reinforced geopolymer composites. Constr. Build. Mater. 2014, 70, 54–64. [Google Scholar]
- Parida, C.; Dash, S.K.; Das, S.C. Effect of fibre treatment and fibre loading on mechanical properties of luffa-resorcinol composites. Indian J. Mater. Sci. 2015, 2015, 658064. [Google Scholar]
- Yu, C.; Zhang, J.; Li, Z.; Tian, W.; Wang, L.; Luo, J.; Li, Q.; Fan, X.; Yao, Y. Enhanced through-plane thermal conductivity of boron nitride/epoxy composites. Compos. Part A. 2017, 98, 25–31. [Google Scholar]
- Cohades, A.; Branfoot, C.; Rae, S.; Bond, I.; Michaud, V. Progress in self-healing fibre-reinforced polymer composites. Adv. Mater. Interfaces 2018, 5, 1800177. [Google Scholar]
- De Rooij, M.; Van Tittelboom, K.; De Belie, N.; Schlangen, E. Self-Healing Phenomena in Cement-Based Materials. State-of-the-Art Report of RILEM Technical Committee 221-SHC; Springer Science & Business Media: Berlin/Heidelberg, Germany, 2013; Volume 11, pp. 1–279. [Google Scholar]
- Kanu, N.J.; Gupta, E.; Vates, U.K.; Singh, G.K. Self-healing composites: A state-of-the-art review. Compos. Part A: Appl. Sci. Manuf. 2019, 121, 474–486. [Google Scholar]
- Larin, G.E.; Bernklau, N.; Kessler, M.R.; DiCesare, J.C. Rheokinetics of ring opening metathesis polymerization of norbornene-based monomers intended for self-healing applications. Polym. Eng. Sci. 2006, 46, 1804–1811. [Google Scholar]
- Rule, J.D.; Sottos, N.R.; White, S.R. Effect of microcapsule size on the performance of self-healing polymers. Polymer 2007, 48, 3520–3529. [Google Scholar]
- Khan, A.N.I.; Halder, S.; Wang, J. Diels-Alder based epoxy matrix and interfacial healing of bismaleimide grafted GNP infused hybrid nanocomposites. Polym. Test. 2019, 74, 138–151. [Google Scholar]
- Ebrahimnezhad-Khaljiri, H.K.; Eslami-Farsani, R.F.; Banaie, K.A. The evaluation of the thermal and mechanical properties of aramid/semi-carbon fibres hybrid composites. Fibres Polym. 2017, 18, 296–302. [Google Scholar]
- Ebrahimnezhad-Khaljiri, H.; Eslami-Farsani, R. Thermal and mechanical properties of hybrid carbon/oxidized polyacrylonitrile fibres-epoxy composites. Polym. Compos. 2017, 38, 1412–1417. [Google Scholar]
- Ebrahimnezhad-Khaljiri, H.; Eslami-Farsani, R. The effect of hybridization on thermal and mechanical properties of glass/oxidized PAN fibres-polymer composites. Fibres Polym. 2015, 16, 2445–2450. [Google Scholar]
- Eslami-Farsani, R.; Khazaie, M. Effect of shape memory alloy wires on high-velocity impact response of basalt fibre metal laminates. J. Reinf. Plast. Compos. 2017, 37, 300–309. [Google Scholar]
- Ebrahimnezhad-Khaljiri, H.; Eslami-Farsani, R.; Akbarzadeh, E. Effect of interlayer hybridization of carbon, Kevlar, and glass fibres with oxidized polyacrylonitrile fibres on the mechanical behaviors of hybrid composites. Proc. Inst. Mech. Eng. Part C J. Mech. Eng. Sci. 2020, 234, 1823–1835. [Google Scholar]
- Van Der Zwaag, S. Self-Healing Materials: An Alternative Approach to 20 Centuries of Material Science; Springer: Delft, The Netherlands, 2007. [Google Scholar]
- Qureshi, T.; Kanellopoulos, A.; Al-Tabbaa, A. Autogenous self-healing of cement with expansive minerals-II: Impact of age and the role of optimised expansive minerals in healing performance. Constr. Build. Mater. 2019, 194, 266–275. [Google Scholar]
- Ye, B.; Zhang, S.; Li, R.; Li, L.; Lu, L.; Zhou, C. An in-situ formable and 21 fibrils-reinforced polysaccharide composite hydrogel by self-crosslinking with dual healing ability. Compos. Sci. Technol. 2018, 156, 238–246. [Google Scholar]
- Gu, J.; Lv, Z.; Wu, Y.; Guo, Y.; Tian, L.; Qiu, H.; Li, W.; Zhang, Q. Dielectric thermally conductive boron nitride/polyimide composites with outstanding thermal stabilities via in -situ polymerization-electrospinning-hot press method. Compos. Part A. 2017, 94, 209–216. [Google Scholar]
- Zheng, C.; Yue, Y.; Gan, L.; Xu, X.; Mei, C.; Han, J. Highly Stretchable and Self-Healing Strain Sensors Based on Nanocellulose-Supported Graphene Dispersed in Electro-Conductive Hydrogels. Nanomaterials 2019, 9, 16. [Google Scholar]
- Bond, I.P.; Trask, R.S.; Williams, H.R. Self-healing fibre-reinforced polymer composites. MRS Bull. 2008, 33, 770–774. [Google Scholar]
- Chen, X.; Wudl, F.; Mal, A.K.; Shen, H.; Nutt, S.R. New thermally remendable highly cross-linked polymeric materials. Macromolecules 2003, 36, 1802–1807. [Google Scholar]
- Chen, X. Novel polymers with thermally controlled covalent cross-linking. Ph.D. Thesis, University of California, Los Angeles, CA, USA, 2003. [Google Scholar]
- Sadasivuni, K.K.; Cabibihan, J.; Deshmukh, K.; Goutham, S.; Abubasha, M.K.; Gogoi, J.P.; Klemenoks, I.; Sakale, G.; Sekhar, B.S.; Sreekanth, P.S.R.; et al. A review on porous polymer composite materials for multifunctional electronic applications. Polym. -Plast. Technol. Mater. 2019, 58, 1253–1294. [Google Scholar] [CrossRef]
- DiCarlo, J.A. Microstructural optimization of high temperature SiC/SiC composites. In Proceedings of the 5th International Conference on High Temperature Ceramic Matrix Composites, Seattle, WA, USA, 12–16 September 2004; American Ceramic Society: Westerville, OH, USA, 2004; pp. 187–192. [Google Scholar]
- Danish, A.; Salim, M.U.; Ahmed, T. Trends and developments in green cement-A sustainable approach. Sustain. Struct. Mater. J. 2019, 2, 45–60. [Google Scholar]
- Ebrahimnezhad-Khaljiri, H.; Eslami-Farsani, R.; Khosravi, H.; Shahrabi-Farahani, A. Improving the flexural properties of E-glass fibers/epoxy isogrid stiffened composites through addition of 3-glycidoxypropyltrimethoxysilane functionalized nanoclay. Silicon 2020, 12, 2515–2523. [Google Scholar]
- Garoushi, S.; Vallittu, P.; Lassila, L. Hollow glass fibers in reinforcing glass ionomer cements. Dent. Mater. 2017, 33, e86–e93. [Google Scholar]
- Cho, S.H.; Andersson, H.M.; White, S.R.; Sottos, N.R.; Braun, P.V. Polydimethylsiloxane-based self-healing materials. Adv. Mater. 2006, 18, 997–1000. [Google Scholar]
- Xue, C.; Li, W.; Li, J.; Tam, V.W.; Ye, G. A review study on encapsulation-based selfhealing for cementitious materials. Struct. Concr. 2019, 20, 198–212. [Google Scholar]
- Chowdhury, R.A.; Hosur, M.V.; Nuruddin, M.; Tcherbi-Narteh, A.; Kumar, A.; Boddu, V.; Jeelani, S. Self-healing epoxy composites: Preparation, characterization and healing performance. J. Mater. Res. Technol. 2015, 4, 33–43. [Google Scholar]
- De Carvalho, A.C.M.; Ferreira, E.P.D.C.; Bomio, M.; Melo, J.D.D.; Cysne Barbosa, A.P.; Costa, M.C.B. Influence of synthesis parameters on properties and characteristics of poly (urea-formaldehyde) microcapsules for self-healing applications. J Microencapsul. 2019, 36, 410–419. [Google Scholar]
- Ebrahimnezhad-Khaljiri, H.; Eslami-Farsani, R. Experimental investigation of flexural properties of glass fibre–epoxy self-healable composite structures containing capsulated epoxy healing agent and NiCl2(imidazole)4 catalyst. J. Ind. Textil. 2021, 51, 788–805. [Google Scholar]
- Aloui, H.; Khwaldia, K.; Hamdi, M.; Fortunati, E.; Kenny, J.M.; Buonocore, G.G.; Lavorgna, M. Synergistic effect of halloysite and cellulose nanocrystals on the functional properties of PVA based nanocomposites. ACS Sustain. Chem. Eng. 2016, 4, 794–800. [Google Scholar]
- Tekinalp, H.L.; Kunc, V.; Velez-Garcia, G.M.; Duty, C.E.; Love, L.J.; Naskar, A.K.; Blue, C.A.; Ozcan, S. Highly oriented carbon fibre-polymer composites via additive manufacturing. Compos. Sci. Technol. 2014, 105, 144–150. [Google Scholar]
- Qiao, H.; Qi, P.; Zhang, X.; Wang, L.; Tan, Y.; Luan, Z.; Xia, Y.; Li, Y.; Sui, K. Multiple Weak H-Bonds Lead to Highly Sensitive, Stretchable, Self-Adhesive, and Self-Healing Ionic Sensors. ACS Appl. Mater. Interfaces 2019, 11, 7755–7763. [Google Scholar]
- He, Z.; Jiang, S.; An, N.; Li, X.; Li, Q.; Wang, J.; Kang, M. Self-healing isocyanate microcapsules for efficient restoration of fracture damage of polyurethane and epoxy resins. J. Mater Sci. 2019, 54, 8262–8275. [Google Scholar]
- Suslu, H.; Fan, J.; Ibekwe, S.; Jerro, D.; Mensah, P.; Li, G. Shape memory alloy reinforced vitrimer composite for healing wide-opened cracks. Smart Mater. Struct. 2020, 29, 065008. [Google Scholar]
- Xu, H.; Feng, Z.X.; Xie, L.; Hakkarainen, M. Graphene Oxide-Driven Design of Strong and Flexible Biopolymer Barrier Films: From Smart Crystallization Control to Affordable Engineering. ACS Sustain. Chem. Eng. 2015, 4, 334–349. [Google Scholar]
- Bergman, S.D.; Wudl, F. Mendable polymers. J. Mater. Chem. 2008, 18, 41–62. [Google Scholar]
- Chen, X.; Dam, M.A.; Ono, K.; Mal, A.; Shen, H.; Nutt, S.R.; Sheran, K.; Wudl, F. A thermally re-mendable cross-linked polymeric material. Science 2002, 295, 1698–16702. [Google Scholar]
- Wang, D.C.; Yu, H.Y.; Qi, D.; Ramasamy, M.; Yao, J.; Tang, F.; Tam, K.C.; Ni, Q. Supramolecular self-assembly of 3D conductive cellulose nanofibre aerogels for flexible supercapacitors and ultrasensitive sensors. ACS Appl. Mater. Interfaces 2019, 11, 24435–24446. [Google Scholar]
- Yang, N.; Qi, P.; Ren, J.; Yu, H.; Liu, S.; Li, J.; Chen, W.; Kaplan, D.L.; Ling, S. Polyvinyl alcohol/silk fibroin/borax hydrogel ionotronics: A highly stretchable, self-healable, and biocompatible sensing platform. ACS Appl. Mater. Interfaces 2019, 11, 23632–23638. [Google Scholar]
- Zhao, L.; Shi, X.; Yin, Y.; Jiang, B.; Huang, Y. A self-healing silicone/BN composite with efficient healing property and improved thermal conductivities. Compos. Sci. Technol. 2020, 186, 107919. [Google Scholar]
- Saeed, M.U.; Li, B.B.; Chen, Z.F. Mechanical effects of microchannels on fibrereinforced composite structure. Compos. Struct. 2016, 154, 129–141. [Google Scholar]
- Scott, T.F.; Schneider, A.D.; Cook, W.D.; Bowman, C.N. Photoinduced plasticity in cross-linked polymers. Science 2005, 308, 1615–1618. [Google Scholar]
- Lu, L.; Fan, J.; Li, G. Intrinsic healable and recyclable thermoset epoxy based on shape memory effect and transesterification reaction. Polymer 2016, 105, 10–18. [Google Scholar]
- Bekas, D.G.; Tsirka, K.; Baltzis, D.; Paipetis, A.S. Paipetis, Self-healing materials: A review of advances in materials, evaluation, characterization and monitoring techniques. Compos. B Eng. 2016, 87, 92–119. [Google Scholar]
- Yu, H.Y.; Zhang, H.; Song, M.L.; Zhou, Y.; Yao, J.; Ni, Q.Q. From Cellulose Nanospheres, Nanorods to Nanofibres: Various Aspect Ratio Induced Nucleation/Reinforcing Effects on Polylactic Acid for Robust-Barrier Food Packaging. ACS Appl. Mater. Interfaces 2017, 9, 43920–43938. [Google Scholar]
- Han, N.X.; Xing, F. A comprehensive review of the study and development of microcapsule based self-resilience systems for concrete structures at Shenzhen University. Materials 2016, 10, 2. [Google Scholar]
- Farina, I.; Fabbrocino, F.; Colangelo, F.; Feo, L.; Fraternali, F. Surface roughness effects on the reinforcement of cement mortars through 3d printed metallic fibres. Compos. B Eng. 2016, 99, 305–311. [Google Scholar]
- Jonkers, H.M.; Thijssen, A.; Muyzer, G.; Copuroglu, O.; Schlangen, E. Application of bacteria as self-healing agent for the development of sustainable concrete. Ecol. Eng. 2010, 36, 230–235. [Google Scholar]
- Jamali, N.; Rezvani, A.; Khosravi, H.; Tohidlou, E. On the mechanical behavior of basalt fibre/epoxy composites filled with silanized graphene oxide nanoplatelets. Polym. Compos. 2018, 39, 2472–2482. [Google Scholar]
- Chen, J.; Huang, X.; Sun, B.; Jiang, P. Highly thermally conductive yet electrically insulating polymer/boron nitride nanosheets nanocomposite films for improved thermal management capability. ACS Nano 2018, 13, 337–345. [Google Scholar]
- Sirvio, J.A.; Honkaniemi, S.; Visanko, M.; Liimatainen, H. Composite Films of Poly(vinyl alcohol) and Bifunctional Cross-linking Cellulose Nanocrystals. ACS Appl. Mater. Interfaces 2015, 7, 19691–19699. [Google Scholar]
- Montesano, J.; McCleave, B.; Singh, C.V. Prediction of ply crack evolution and stiffness degradation in multidirectional symmetric laminates under multiaxial stress states. Compos. B Eng. 2018, 133, 53–67. [Google Scholar]
- Liu, Y.L.; Hsieh, C.Y. Crosslinked epoxy materials exhibiting thermal remendablility and removability from multifunctional maleimide and furan compounds. J. Polym. Sci. Part A: Polym. Chem. 2006, 44, 905–913. [Google Scholar]
- Du, Y.; Li, D.; Liu, L.; Gai, G. Recent achievements of self-healing Graphene/Polymer composites. Polymers 2018, 10, 114. [Google Scholar]
- Fall, R. Puncture Reversal of Ethylene Ionomers Mechanistic Studies. Master’s Thesis, Virginia Polytechnic Institute and State University, Blacksburg, VA, USA, 2001. [Google Scholar]
- Wang, F.; Zeng, X.; Yao, Y.; Sun, R.; Xu, J.; Wong, C.P. Silver nanoparticle-deposited boron nitride nanosheets as fillers for polymeric composites with high thermal conductivity. Sci. Rep. 2016, 6, 19394. [Google Scholar]
- Ebrahimnezhad-Khaljiri, H.; Eslami-Farsani, R. The tensile properties and interlaminar shear strength of microcapsules-glass fibres/epoxy self-healable composites. Eng. Fract. Mech. 2020, 230, 106937. [Google Scholar]
- Cuenca, E.; Tejedor, A.; Ferrara, L. A methodology to assess crack-sealing effectiveness of crystalline admixtures under repeated cracking-healing cycles. Constr. Build. Mater. 2018, 179, 619–632. [Google Scholar]
- Provis, J.L. Alkali-activated materials. Cem. Concr. Res. 2018, 567, 40–48. [Google Scholar]
- Han, J.; Lu, K.; Yue, Y.; Mei, C.; Huang, C.; Wu, Q.; Xu, X. Nanocellulose-templated assembly of polyaniline in natural rubber-based hybrid elastomers toward flexible 20 electronic conductors. Ind. Crop. Prod. 2019, 128, 94–107. [Google Scholar]
- Jaysingrao, J.S.; Sunil, C.N. Nutritional Assessment of Fruits of Luffa acutangula var. amara. Int. J. Sci. Res. 2014, 3, 2205–2207. [Google Scholar]
- Wang, J.Y.; Soens, H.; Verstraete, W.; De Belie, N. Self-healing concrete by use of microencapsulated bacterial spores. Cem. Concr. Res. 2014, 56, 139–152. [Google Scholar]
- Kian, L.K.; Saba, N.; Jawaid, M.; Sultan, M.T.H. A review on processing techniques of bast fibres nanocellulose and its polylactic acid (PLA) nanocomposites. Int. J. Biol. Macromol. 2019, 121, 1314–1328. [Google Scholar]
- Kling, S.; Czigány, T. Damage detection and self-repair in hollow glass fibre fabric-reinforced epoxy composites via fibre filling. Compos. Sci. Technol. 2014, 99, 82–88. [Google Scholar]
- Pankaj, K.; Amar, P.; Sandeep, C. A review on application of structural adhesives in concrete and steel–concrete composite and factors influencing the performance of composite connections. Int. J. Adhes. 2017, 77, 1–14. [Google Scholar]
- Tian, K.; Bae, J.; Bakarich, S.E.; Yang, C.; Gately, R.D.; Spinks, G.M.; Panhuis, M.I.H.; Suo, Z.; Vlassak, J.J. 3D printing of transparent and conductive heterogeneous hydrogel-elastomer systems. Adv. Mater. 2017, 29, 1604827. [Google Scholar]
- Keller, M.W.; White, S.R.; Sottos, N.R. An elastomeric self-healing material. In Proceedings of the 2006 SEM Annual Conference and Exposition on Experimental and Applied Mechanics, Saint Louis, MO, USA, 4–7 June 2006; Volume 1, pp. 379–382. [Google Scholar]
- Ning, F.; Cong, W.; Qiu, J.; Wei, J.; Wang, S. Additive manufacturing of carbon fibre reinforced thermoplastic composites using fused deposition modelling. Compos. B Eng. 2015, 80, 369–378. [Google Scholar]
- Cao, L.; Yuan, D.; Xu, C.; Chen, Y. Biobased, self-healable, high strength rubber with tunicate cellulose nanocrystals. Nanoscale 2017, 9, 15696–15706. [Google Scholar]
- Ferrara, L.; Krelani, V.; Moretti, F. On the use of crystalline admixtures in cement based construction materials: From porosity reducers to promoters of self-healing. Smart Mater. Struct. 2016, 25, 084002. [Google Scholar]
- Ferrara, L.; Krelani, V.; Moretti, F. Autogenous healing on the recovery of mechanical performance of High Performance Fibre Reinforced Cementitious Composites (HPFRCCs): Part 2–Correlation between healing of mechanical performance and crack sealing. Cem. Concr. Compos. 2016, 73, 299–315. [Google Scholar]
- Ferrara, L.; Krelani, V.; Moretti, F.; Flores, M.R.; Ros, P.S. Effects of autogenous healing on the recovery of mechanical performance of High Performance Fibre Reinforced Cementitious Composites (HPFRCCs): Part 1. Cem. Concr. Compos. 2017, 83, 76–100. [Google Scholar]
- Fathy, A.; Shaker, A.; Hamid, M.A.; Megahed, A.A. The effects of nano-silica/nanoalumina on fatigue behavior of glass fibre-reinforced epoxy composites. J. Compos. Mater. 2017, 51, 1667–1679. [Google Scholar]
- Thostenson, E.T.; Chou, T.W. Carbon nanotube networks: Sensing of distributed strain and damage for life prediction and self healing. Adv. Mater. 2006, 18, 2837–2841. [Google Scholar]
- Liu, Y.; Zhou, L.; Wang, L.; Pan, X.; Wang, K.; Shu, J.; Liu, L.; Zhang, H.; Lin, L.; Shi, X.; et al. Air-dried porous powder of polymethyl methacrylate modified cellulose nanocrystal nanocomposite and its diverse applications. Compos. Sci. Technol. 2020, 188, 107985. [Google Scholar]
- Ni, W.; Cheng, Y.T.; Grummon, D.S. Grummon, Recovery of microindents in a nickel–titanium shape-memory alloy: A self-healing effect. Appl. Phys. Lett. 2002, 80, 3310–3312. [Google Scholar]
- Lee, J.; Bhattacharyya, D.; Zhang, M.Q.; Yuan, Y.C. Mechanical properties of a self-healing fibre reinforced epoxy composites. Compos. Part B: Eng. 2015, 78, 515–519. [Google Scholar]
- Wang, L.; Qiu, H.; Liang, C.; Song, P.; Han, Y.; Han, Y.; Gu, J.; Kong, J.; Pan, D.; Guo, Z. Electromagnetic interference shielding MWCNT-Fe3O4@Ag/epoxy nanocomposites with satisfactory thermal conductivity and high thermal stability. Carbon 2019, 141, 506–514. [Google Scholar]
- Manfredi, E.; Cohades, A.; Richard, I.; Michaud, V. Assessment of solvent capsule-based healing for woven E-glass fibre-reinforced polymers. Smart Mater Struct. 2015, 24, 15019. [Google Scholar]
- Roig-Flores, M.; Moscato, S.; Serna, P.; Ferrara, L. Self-healing capability of concrete with crystalline admixtures in different environments. Constr. Build. Mater. 2015, 86, 1–11. [Google Scholar]
- Low, C.T.J.; Walsh, F.C. Self-lubricating metal composite coatings by electrodeposition or electroless deposition. In Encyclopedia of Tribology; Springer: Boston, MA, USA, 2013; pp. 3025–3031. [Google Scholar]
- Garitte, E. Etude de L’oxydation/Corrosion des Composites Céramiques. Ph.D. Thesis, Université Bordeaux, Bordeaux, France, 2007. [Google Scholar]
- Roig-Flores, M.; Pirritano, F.; Serna, P.; Ferrara, L. Effect of crystalline admixtures on the self-healing capability of early-age concrete studied by means of permeability and crack closing tests. Constr. Build. Mater. 2016, 114, 447–457. [Google Scholar]
- Song, M.L.; Yu, H.Y.; Chen, L.M.; Zhu, J.Y.; Wang, Y.Y.; Yao, J.M.; Zou, Z.; Tam, K.C. Multibranch strategy to decorate carboxyl groups on cellulose nanocrystals to prepare adsorbent / flocculants and pickering emulsions. ACS Sustain. Chem. Eng. 2019, 7, 6969–6980. [Google Scholar]
- Ali, M.K.; Abu-Tair, A.I.; Kinuthia, J.M.; Babecki, R. Self-healing and strength development of geopolymer concrete made with waste by products. Build. Res. Inf. 2015, 43, 253–262. [Google Scholar]
- Alshaaer, M.; Mallouh, S.A.; Al-Faiyz, Y.; Fahmy, T.; Kallel, A.; Rocha, F. Fabrication, microstructural and mechanical characterization of Luffa Cylindrical Fibre-Reinforced geopolymer composite. Appl. Clay Sci. 2017, 143, 125–133. [Google Scholar]
- Li, F.; Yu, H.Y.; Wang, Y.Y.; Zhou, Y.; Zhang, H.; Yao, J.M.; Ahdalkarim, S.Y.H.; Tam, K.C. Natural biodegradable poly(3-hydroxybutyrate-co-3-hydroxyvalerate) nano composites with multifunctional cellulose aanocrystals/graphene oxide hybrids for high-performance food packaging. J. Agr. Food. Chem. 2019, 67, 10954–10967. [Google Scholar]
- Azizi, A.; Gadinski, M.R.; Li, Q.; Al Saud, M.A.; Wang, J.; Wang, Y.; Wang, B.; Liu, F.; Chen, L.Q.; Alem, N.; et al. High-performance polymers sandwiched with chemical vapor deposited hexagonal boron nitrides as scalable high-temperature dielectric materials. Adv. Mater. 2017, 29, 1701864. [Google Scholar]
- An, F.; Li, X.; Min, P.; Li, H.; Dai, Z.; Yu, Z.Z. Highly anisotropic graphene/boron nitride hybrid aerogels with long-range ordered architecture and moderate density for highly thermally conductive composites. Carbon 2018, 126, 119–127. [Google Scholar]
- Misra, S.K. Shape Memory Alloy Reinforced Self-Healing Metal Matrix Composites. Ph.D. Thesis, The University of Wisconsin-Milwaukee, Milwaukee, WI, USA, 2013. [Google Scholar]
- Han, L.; Cui, S.; Yu, H.Y.; Song, M.; Zhang, H.; Grishkewich, N.; Huang, C.; Kim, D.; Tam, K.M.C. Self-healable conductive nanocellulose nanocomposites for biocompatible electronic skin sensor systems. ACS Appl. Mater. Interfaces. 2019, 11, 44642–44651. [Google Scholar]
- Karaiskos, G.; Tsangouri, E.; Aggelis, D.G.; Van Tittelboom, K.; De Belie, N.; Van Hemelrijck, D. Performance monitoring of large-scale autonomously healed concrete beams under four-point bending through multiple non-destructive testing methods. Smart Mater. Struct. 2016, 25, 055003. [Google Scholar]
- Guadagno, L.; Vertuccio, L.; Naddeo, C.; Calabrese, E.; Barra, G.; Raimondo, M.; Rana, S. Self-healing epoxy nanocomposites via reversible hydrogen bonding. Compos. Part B Eng. 2019, 157, 1–13. [Google Scholar]
- Mi, X.; Zhong, L.; Wei, F.; Zeng, L.; Zhang, J.; Zhang, D.; Xu, T. Fabrication of halloysite nanotubes/reduced graphene oxide hybrids for epoxy composites with improved thermal and mechanical properties. Polym. Test. 2019, 76, 473–480. [Google Scholar]
- Srivastava, V.; Manish, G. Approach to self-healing in metal matrix composites: A review. Mater. Today Proc. 2018, 5, 19703–19713. [Google Scholar]
- Mohammadi, M.A.; Eslami-Farsani, R.; Ebrahimnezhad-Khaljiri, H. Experimental investigation of the healing properties of the microvascular channels-based self-healing glass fibres/epoxy composites containing the three-part healant. Polym. Test. 2020, 91, 106862. [Google Scholar]
- Djugum, R.; Lumley, R.N.; Viano, D.M.; Davidson, C.J. Davidson, Enhanced fatigue resistance in a commercial Al-Cu-Mg alloy through underageing. In Proceedings of the 2nd international conference on self healing materials, Chicago, IL, USA, 28 June–1 July 2009. [Google Scholar]
- Guadagno, L.; Longo, P.; Raimondo, M.; Naddeo, C.; Mariconda, A.; Sorrentino, A.; Russo, S. Cure behavior and mechanical properties of structural self-healing epoxy resins. J Polym. Sci. Part B Polym. Phys. 2010, 48, 2413–2423. [Google Scholar]
- Zhu, M.; Yu, H.; Tang, F.; Li, Y.; Liu, Y.; Yao, J. Robust natural biomaterial based flexible artificial skin sensor with high transparency and multiple signals capture. Chem. Eng. J. 2020, 394, 124855. [Google Scholar]
- Muhammad, N.Z.; Keyvanfar, A.; Majid, M.Z.A.; Shafaghat, A.; Mirza, J. Waterproof performance of concrete: A critical review on implemented approaches. Constr. Build Mater. 2015, 101, 80–90. [Google Scholar]
- Shinya, N.; Kyono, J.; Laha, K.; Masuda, C. Paper Presented at the 1st International Conference on Self-Healing Materials; Springer: Noordwijk aan Zee, The Netherlands, 2007. [Google Scholar]
- Salowitz, N.; Correa, A.; Moghadam, A.D. Mechanics of NiTi Reinforced Self-Healing Materials Producing Crack Closing Loads. In Proceedings of the ASME 2017 Conference on Smart Materials, Adaptive Structures and Intelligent Systems, Snowbird, UT, USA, 18–20 September 2017. [Google Scholar]
- Norris, C.J.; Bond, I.P.; Trask, R.S. Interactions between propagating cracks and bioinspired self-healing vascules embedded in glass fibre reinforced composites. Compos. Sci. Technol. 2011, 71, 847–853. [Google Scholar]
- Han, J.; Wang, H.; Yue, Y.; Mei, C.; Chen, J.; Huang, C.; Wu, Q.; Xu, X. A self-healable and highly flexible supercapacitor integrated by dynamically cross-linked electro-conductive hydrogels based on nanocellulose-templated carbon nanotubes embedded in a viscoelastic polymer network. Carbon 2019, 149, 1–18. [Google Scholar]
- Grabowski, B.; Tasan, C.C. Self-Healing Materials; Hager, M.D., van der Zwaag, S., Schubert, U.S., Eds.; Springer: New York, NY, USA, 2016; p. 387. [Google Scholar]
- Manuel, M.V.; Olson, G.B. Self-Healing Materials. In Proceedings of the 1st International Conference on Self-Healing Materials, Noordwijik aan Zee, The Netherlands, 18–20 April 2007; Springer: Dordrecht, The Netherlands, 2007. [Google Scholar]
- Ferguson, J.B.; Schultz, B.F.; Rohatgi, P.K. Self-healing metals and metal matrix composites. Jom 2014, 66, 866–871. [Google Scholar]
- Kwon, O.H.; Ha, T.; Kim, D.G.; Kim, B.G.; Kim, Y.S.; Shin, T.J.; Koh, W.G.; Lim, H.S.; Yoo, Y. Anisotropy-driven high thermal conductivity in stretchable poly(vinyl alcohol)/hexagonal boron nitride nanohybrid films. ACS Appl. Mater. Interfaces 2018, 10, 34625–34633. [Google Scholar]
- Leser, P.E.; Newman, J.A.; Smith, S.W.; Leser, W.P.; Wincheski, R.A.; Wallace, T.A.; Glaessgen, E.H.; Piascik, R.S. NASA Technical Reports Server-NTRS. 2014. Available online: https://ntrs.nasa.gov/archive/nasa/casi.ntrs.nasa.gov/20140006911.pdf (accessed on 3 October 2022).
- Chen, J.; Sun, D.X.; Gu, T.; Qi, X.D.; Yang, J.H.; Lei, Y.Z.; Wang, Y. Photo-induced shape memory blend composites with remote selective self-healing performance enabled by polypyrrole nanoparticles. Compos. Sci. Technol. 2022, 217, 109123. [Google Scholar]
- Palanisamy, M.; Kolandasamy, P.; Awoyera, P.; Gobinath, R.; Muthusamy, S.; Krishnasamy, T.R.; Viloria, A. Permeability properties of lightweight self-consolidating concrete made with coconut shell aggregate. J. Mater Res. Technol. 2020, 9, 3547–3557. [Google Scholar]
- Ubi, P.A.; Asipita, S.A. Effect of Sodium Hydroxide Treatment on the Mechanical Properties of Crushed and Uncrushed Luffa Cylindrica Fibre Reinforced rLDPE Composites. Int. J. Chem. Mol. Nucl. Mater. Metall. Eng. 2015, 9, 203–208. [Google Scholar]
- Han, J.; Wang, S.; Zhu, S.; Huang, C.; Yue, Y.; Mei, C.; Xu, X.; Xia, C. Electrospun Core-Shell Nanofibrous Membranes with Nanocellulose-Stabilized Carbon Nanotubes for Use as High-Performance Flexible Supercapacitor Electrodes with Enhanced Water Resistance, Thermal Stability, and Mechanical Toughness. ACS Appl. Mater. Interfaces 2019, 11, 44624–44635. [Google Scholar]
- Alaneme, K.K.; Bodunrin, M.O. Self-healing using metallic material systems—A review. Appl. Mater. Today 2017, 6, 9–15. [Google Scholar]
- Je, P.C.; Sultan, M.T.; Selvan, C.P.; Irulappasamy, S.; Mustapha, F.; Basri, A.A.; Safri, S.N. Manufacturing challenges in self-healing technology for polymer composites—A review. J. Mater. Res. Technol. 2020, 9, 7370–7379. [Google Scholar]
- Zheng, K.; Yang, X.; Chen, R.; Xu, L. Application of a capillary crystalline material to enhance cement grout for sealing tunnel leakage. Constr. Build. Mater. 2019, 214, 497–505. [Google Scholar]
- Krahl, P.A.; Gidrão, G.D.M.S.; Carrazedo, R. Cyclic behavior of UHPFRC under compression. Cem. Concr. Compos. 2019, 104, 103363. [Google Scholar]
- Van den Heede, P.; Mignon, A.; Habert, G.; De Belie, N. Cradle-to-gate life cycle assessment of self-healing engineered cementitious composite with in-house developed (semi-)synthetic superabsorbent polymers. Cement Concr. Compos. 2018, 94, 166–180. [Google Scholar]
- Li, Q.; Chen, L.; Gadinski, M.R.; Zhang, S.; Zhang, G.; Li, H.U.; Iagodkine, E.; Haque, A.; Chen, L.Q.; Jackson, N.; et al. Flexible high-temperature dielectric materials from polymer nanocomposites. Nature 2015, 523, 576–579. [Google Scholar]
- Weng, Q.; Wang, X.; Wang, X.; Bando, Y.; Golberg, D. Golberg, Functionalized hexagonal boron nitride nanomaterials: Emerging properties and applications. Chem. Soc. Rev. 2016, 45, 3989–4012. [Google Scholar]
- Anjabin, R.; Khosravi, H. Property improvement of a fibrous composite using functionalized carbon nanofibres. Polym. Compos. 2019, 40, 4281–4288. [Google Scholar]
- Saeed, M.U.; Chen, Z.F.; Bin Li, B. Manufacturing strategies for microvascular polymeric composites: A review. Compos. Part A Appl. Sci. Manuf. 2015, 78, 327–340. [Google Scholar]
- Bellah, M.; Nosonovsky, M.; Rohatgi, P. Recent Advances in Self-healing Metal Matrix Composites. In Metal-Matrix Composites; Springer: Cham, Switzerland, 2022; pp. 297–310. [Google Scholar]
- Provis, J.L.; Palomo, A.; Shi, C. Advances in understanding alkali-activated materials. Cem. Concr. Res. 2015, 78, 110–125. [Google Scholar]
- Toohey, K.S.; Hansen, C.J.; Lewis, J.A.; White, S.R.; Sottos, N.R. Delivery of two-Part Self-healing chemistry via microvascular networks. Adv Funct Mater. 2009, 19, 1399–1405. [Google Scholar]
- Jones, A.R.; Watkins, C.A.; White, S.R.; Sottos, N.R. Sottosm, Self-healing thermoplastic-toughened epoxy. Polymer 2015, 74, 254–261. [Google Scholar]
- Naslain, R.; Guette, A.; Rebillat, F.; Le Gallet, S.; Lamouroux, F.; Filipuzzi, L.; Louchet, C. Oxidation mechanisms and kinetics of SiC-matrix composites and their constituents. J. Mater. Sci. 2004, 39, 7303–7316. [Google Scholar]
- Naslain, R.; Guette, A.; Rebillat, F.; Pailler, R.; Langlais, F.; Bourrat, X. Boron- bearing species in ceramic- matrix composites for long term aerospace applications. J. Solid State Chem. 2004, 177, 449–456. [Google Scholar]
- Kancherla, K.B.; Subbappa, D.B.; Hiremath, S.R.; Raju, B.; Mahapatra, D.R. Roy Mahapatra, Enhancing mechanical properties of glass fabric composite with surfactant treated zirconia nanoparticles. Compos. Part A Appl. Sci. Manuf. 2019, 118, 131–141. [Google Scholar]
- Salman, S.D.; Leman, Z.; Sultan, M.T.H.; Ishak, M.R.; Cardona, F. Effect of kenaf fibres on trauma penetration depth and ballistic impact resistance for laminated composites. Text. Res. J. 2017, 87, 2051–2065. [Google Scholar]
- Chhetri, S.; Adak, N.C.; Samanta, P.; Murmu, N.C.; Kuila, T. Functionalized reduced graphene oxide/epoxy composites with enhanced mechanical properties and thermal stability. Polym. Test. 2017, 63, 1–11. [Google Scholar]
- Park, S.; Pour-Ghaz, M. What is the role of water in the geopolymerization of metakaolin? Constr. Build. Mater. 2018, 182, 360–370. [Google Scholar]
- Singh, S.; Shervin, S.; Sun, H.; Yarali, M.; Chen, J.; Lin, R.; Li, K.H.; Li, X.; Ryou, J.H.; Mavrokefalos, A. Using mosaicity to tune thermal transport in polycrystalline aluminum nitride thin films. ACS Appl. Mater. Interfaces. 2018, 10, 20085–20094. [Google Scholar]
- Freitas, S.T.; Sinke, J. Failure analysis of adhesively-bonded skin-to-stiffener joints: Metal-metal vs. composite-metal. Eng. Fail. Anal. 2015, 56, 2–13. [Google Scholar]
- Park, S.J.; Kim, J.; Chu, M.; Khine, M. Flexible Piezoresistive Pressure Sensor Using Wrinkled Carbon Nanotube Thin Films for Human Physiological Signals. Adv. Mater. Technol. 2018, 3, 1700158. [Google Scholar]
- Kim, S.; Yoo, D.Y.; Kim, M.J.; Banthia, N. Self-healing capability of ultra-highperformance fibre-reinforced concrete after exposure to cryogenic temperature. Cem. Concr. Compos. 2019, 104, 103335. [Google Scholar]
- Ling, S.; Wang, Q.; Zhang, D.; Zhang, Y.; Mu, X.; Kaplan, D.L.; Buehler, M.J. Integration of Stiff Graphene and Tough Silk for the Design and Fabrication of Versatile Electronic Materials. Adv. Funct. Mater. 2018, 28, 1705291. [Google Scholar]
- Morscher, G.N.; Ojard, G.; Miller, R.; Gowayed, Y.; Santhosh, U. Tensile creep and fatigue of Sylramic- iBN melt- infi ltrated SiC matrix composites: Retained properties, damage development, and failure mechanisms. Compos. Sci. Technol. 2008, 68, 3305–3313. [Google Scholar]
- Liu, Y.; Hamon, A.L.; Haghi-Ashtiani, P.; Reiss, T.; Fan, B.; He, D.; Bai, J. Quantitative study of interface/interphase in epoxy/graphene-based nanocomposites by combining STEM and EELS. ACS Appl. Mater. Interfaces 2016, 8, 34151–34158. [Google Scholar]
- Rebillat, F.; Martin, X.; Garitte, E.; Guette, A. Overview on the self- sealing process in the SiC f/[Si,C,B] m composites under wet atmosphere at high temperature. Ceram. Trans. 2010, 215, 151–166. [Google Scholar]
- Ferrara, L.; Van Mullem, T.; Alonso, M.C.; Antonaci, P.; Borg, R.P.; Cuenca, E.; Jefferson, A.; Ng, P.L.; Peled, A.; Roig-Flores, M. Experimental characterization of the self-healing capacity of cement based materials and its effects on the material performance: A state of the art report by COST Action SARCOS WG2. Constr. Build. Mater. 2018, 167, 115–142. [Google Scholar]
- Yang, S.; Li, W.; Bai, S.; Wang, Q. Fabrication of morphologically controlled composites with high thermal conductivity and dielectric performance from aluminum nanoflake and recycled plastic package. ACS Appl. Mater. Interfaces 2019, 11, 3388–3399. [Google Scholar]
- Shaikh, F.U.A. Effect of cracking on corrosion of steel in concrete. Int. J. Concr. Struct. Mater. 2018, 12, 3. [Google Scholar]
- Rebillat, F.; Gallet, S.L.; Louchet-Pouillerie, C.; Guette, A. Roles of Moisture and Oxygen in Oxidation Mechanisms of Silicon Carbide Fibers. In High Temperature Ceramic Materials and Composites; Krenkel, W., Lamon, J., Eds.; WILEY–VCH: Weinheim, Germany, 2010; pp. 72–77. ISBN 978-3-00-032049-1. [Google Scholar]
- Talaiekhozan, A.; Keyvanfar, A.; Shafaghat, A.; Andalib, R.; Majid, M.A.; Fulazzaky, M.A. A review of self-healing concrete research development. J. Environ. Treat. Tech. 2014, 2, 1–11. [Google Scholar]
- Tang, J.; Fan, C.; Lin, Q.; Zhou, X. Smooth, stable and optically transparent microcapsules prepared by one-step method using sodium carboxymethyl cellulose as protective colloid. Colloids Surf. A Physicochem. Eng. Asp. 2014, 459, 65–73. [Google Scholar]
- Tripathi, M.; Dwivedi, R.; Kumar, D.; Roy, P.K. Thermal activation of mendable epoxy through inclusion of microcapsules and imidazole complexes. Polym.-Plast. Technol. Eng. 2016, 55, 129–137. [Google Scholar]
- Qureshi, T.; Kanellopoulos, A.; Al-Tabbaa, A. Autogenous self-healing of cement with expansive minerals-I: Impact in early age crack healing. Constr. Build. Mater. 2018, 192, 768–784. [Google Scholar]
- Bigdilou, M.B.; Eslami-Farsani, R.; Ebrahimnezhad-Khaljiri, H.; Mohammadi, M.A. Experimental assessment of adding carbon nanotubes on the impact properties of Kevlar-ultrahigh molecular weight polyethylene fibres hybrid composites. J. Ind. Textil. 2020, 51, 3767S–3785S. [Google Scholar]
- Suwan, T.; Fan, M.; Braimah, N. Micro-mechanisms and compressive strength of geopolymer-portland cementitious system under various curing temperatures. Mater. Chem. Phys. 2016, 180, 219–225. [Google Scholar]
- Zhou, T.; Wang, J.W.; Huang, M.; An, R.; Tan, H.; Wei, H.; Chen, Z.D.; Wang, X.; Liu, X.; Wang, F.; et al. Breathable Nanowood Biofilms as Guiding Layer for Green On-Skin Electronics. Small 2019, 15, 1901079. [Google Scholar]
- Vahedi, V.; Pasbakhsh, P.; Piao, C.S.; Seng, C.E. A facile method for preparation of self-healing epoxy composites: Using electrospun nanofibres as microchannels. J. Mater. Chem. A. 2015, 3, 16005–16012. [Google Scholar]
- Wang, Y.; Jiang, D.; Zhang, L.; Li, B.; Sun, C.; Yan, H. Hydrogen bonding derived self-healing polymer composites reinforced with amidation carbon fibres. Nanotechnology 2020, 31, 025704. [Google Scholar]
- Wu, M.; Johannesson, B.; Geiker, M. A review: Self-healing in cementitious materials and engineered cementitious composite as a self-healing material. Constr. Build Mater. 2012, 28, 571–583. [Google Scholar]
- Jacobson, N.; Myers, D.; Opila, E.; Copland, E. Interactions of water vapor with oxides at elevated temperatures. J. Phys. Chem. Solids. 2005, 66, 471–478. [Google Scholar]
- Wang, J.; De Belie, N.; Verstraete, W. Diatomaceous earth as a protective vehicle for bacteria applied for self-healing concrete. J. Indus. Microbiol. Biotechnol. 2012, 39, 567–577. [Google Scholar]
- Kang, X.; Kuga, S.; Wang, C.; Zhao, Y.; Wu, M.; Huang, Y. Green preparation of cellulose nanocrystal and its application. ACS Sustain. Chem. Eng. 2018, 6, 2954–2960. [Google Scholar]
- Huang, X.; Sun, B.; Zhu, Y.; Li, S.; Jiang, P. High-k polymer nanocomposites with 1D filler for dielectric and energy storage applications. Prog. Mater. Sci. 2019, 100, 187–225. [Google Scholar]
- Chen, Y.; Zhu, J.; Yu, H.; Li, Y. Fabricating robust soft-hard network of self-healable polyvinyl alcohol composite films with functionalized cellulose nanocrystals. Compos. Sci. Technol. 2020, 194, 108165. [Google Scholar]
- Feng, Y.; Su, Y.; Lu, N.; Shah, S. Meta concrete: Exploring novel functionality of concrete using nanotechnology. Eng. Sci. 2019, 8, 1–10. [Google Scholar]
- Su, Y.F.; Kotian, R.R.; Lu, N. Energy harvesting potential of bendable concrete using polymer based piezoelectric generator. Compos. B Eng. 2018, 153, 124–129. [Google Scholar]
- Rim, Y.S.; Bae, S.H.; Chen, H.; De Marco, N.; Yang, Y. Recent Progress in Materials and Devices toward Printable and Flexible Sensors. Adv. Mater. 2016, 28, 4415–4440. [Google Scholar]
- Zhang, Y.; Heo, Y.J.; Son, Y.R.; In, I.; An, K.H.; Kim, B.J.; Park, S.J. Recent advanced thermal interfacial materials: A review of conducting mechanisms and parameters of carbon materials. Carbon 2019, 142, 445–460. [Google Scholar]
- Zamal, H.H.; Barba, D.; Aissa, B.; Haddad, E.; Rosei, F. Cure kinetics of poly (5-ethylidene-2-norbornene) with 2nd generation Hoveyda-Grubbs’ catalyst for self-healing applications. Polymer 2018, 153, 1–8. [Google Scholar]
- Duan, Z.; He, H.; Liang, W.; Wang, Z.; He, L.; Zhang, X. Tensile, quasi-static and dynamic fracture properties of nano-Al2O3-modified epoxy resin. Materials 2018, 11, 905. [Google Scholar]
- Zhu, Z.; Li, C.; Songfeng, E.; Xie, L.; Geng, R.; Lin, C.T.; Li, L.; Yao, Y. Enhanced thermal conductivity of polyurethane composites via engineering small/large sizes interconnected boron nitride nanosheets. Compos. Sci. Technol. 2019, 170, 93–100. [Google Scholar]
- Jiang, Z.; Li, W.; Yuan, Z. Influence of mineral additives and environmental conditions on the self-healing capabilities of cementitious materials. Cem. Concr. Compos. 2015, 57, 116–127. [Google Scholar]
- Zhang, Z.; Zhang, Q. Self-healing ability of engineered cementitious composites (ECC) under different exposure environments. Constr. Build. Mater. 2017, 156, 142–151. [Google Scholar]
- Zhu, D.Y.; Rong, M.Z.; Zhang, M.Q. Self-healing polymeric materials based on microencapsulated healing agents: From design to preparation. Prog. Polym. Sci. 2015, 49–50, 175–220. [Google Scholar]
- Su, Z.; Wang, H.; He, J.; Guo, Y.; Qu, Q.; Tian, X. Fabrication of thermal conductivity enhanced polymer composites by constructing an oriented three-dimensional staggered interconnected network of boron nitride platelets and carbon nanotubes. ACS Appl. Mater. Interfaces 2018, 10, 36342–36351. [Google Scholar]
- Brown, E.N.; Kessler, M.R.; Sottos, N.R.; White, S.R. In situ poly (urea-formaldehyde) microencapsulation of dicyclopentadiene. J. Microencapsul. 2003, 20, 719–730. [Google Scholar]
- Azarsa, P.; Gupta, R.; Biparva, A. Assessment of self-healing and durability parameters of concretes incorporating crystalline admixtures and portland limestone cement. Cem. Concr. Compos. 2019, 99, 17–31. [Google Scholar]
- Afolabi, O.; Adegbite, J.; Ogunji, M. Effect of Two Extractants on the Chemical Composition of the Defatted Seed of Luffa Cylindrica. Int. J. Innov. Sci. Eng. Technol. 2017, 4, 356–368. [Google Scholar]
- Martin, X. Oxydation/Corrosion de Matériaux Composites (SiC f /SiCB m) à Matrice Auto- Cicatrisante. Ph.D. Thesis, University Bordeaux, Bordeaux, France, 2003. [Google Scholar]
- Sanders, P.; Young, A.J.; Qin, Y.; Fancey, K.S.; Reithofer, M.R.; Nicolas, R.G.; Kleitz, F.; Pamme, N.; Chin, J.M. Stereolithographic 3D printing of extrinsically self-healing composites. Sci. Rep. 2019, 9, 1–6. Available online: https://www.nature.com/articles/s41598–018–36828–9 (accessed on 3 October 2022).
- Chen, Y.; Lu, K.; Song, Y.; Han, J.; Yue, Y.; Biswas, S.; Wu, Q.; Xiao, H. A Skin-Inspired Stretchable, Self-Healing and Electro-Conductive Hydrogel with a Synergistic Triple Network for Wearable Strain Sensors Applied in Human-Motion Detection. Nanomaterials 2019, 9, 20. [Google Scholar]
- Ramesh, M.; Kumar, L.R.; Khan, A.; Asiri, A.M. Self-Healing Polymer Composites and its Chemistry. In Self-Healing Composite Materials; Elsevier: Amsterdam, The Netherlands, 2020; pp. 415–427. [Google Scholar]
- Teoh, S.H.; Chia, H.Y.; Lee, M.S.; Nasyitah, A.J.N.; Luqman, H.B.S.M.; Nurhidayah, S. Self-healing composite for aircraft’s structural application. Int. J. Mod. Phys B. 2010, 24, 157–163. [Google Scholar]
- Norris, C.J.; Bond, I.P.; Trask, R.S. The role of embedded bioinspired vasculature on damage formation in self-healing carbon fibre reinforced composites. Compos. Part A: Appl Sci Manuf. 2011, 42, 639–648. [Google Scholar]
- Toohey, K.S.; Sottos, N.R.; Lewis, J.A.; Moore, J.S.; White, S.R. Self-healing materials with microvascular networks. Nat. Mater. 2007, 6, 581. [Google Scholar]
- Lee, M.W.; An, S.; Yoon, S.S.; Yarin, A.L. Advances in self-healing materials based on vascular networks with mechanical self-repair characteristics. Adv. Colloid. Interface Sci. 2018, 252, 21–37. [Google Scholar]
- Bi, H.; Ye, G.; Sun, H.; Ren, Z.; Gu, T.; Xu, M. Mechanically robust, shape memory, self-healing and 3D printable thermoreversible cross-linked polymer composites toward conductive and biomimetic skin devices applications. Addit. Manuf. 2022, 49, 102487. [Google Scholar]
- Ilangovan, S.; Kumaran, S.S.; Naresh, K.; Shankar, K.; Velmurugan, R. Studies on glass/epoxy and basalt/epoxy thin-walled pressure vessels subjected to internal pressure using ultrasonic ‘C’ scan technique. Thin-Walled Struct. 2023, 182, 110160. [Google Scholar]
- Tao, Y.; Rong, M.Z.; Zhang, M.Q.; Yang, G.C. Self-healing epoxy composites–preparation and effect of the healant consisting of microencapsulated epoxy and latent curing agent. Compos. Sci. Technol. 2007, 67, 201–212. [Google Scholar]
- Karan, T.; Mutneja, N.; Khanna, A.S.; Raman, R.K. Development of self-healing coatings based on linseed oil as autonomous repairing agent for corrosion resistance. Materials 2014, 7, 7324–7338. Available online: https://www.mdpi.com/1996–1944/7/11/7324/htm (accessed on 3 October 2022).
- Zhang, H.; Yang, J. Development of self-healing polymers via amine-epoxy chemistry: I. Properties of healing agent carriers and the modelling of a two-part self-healing system. Smart Mater Struct. 2014, 23, 065003. [Google Scholar]
- Hong, S.; Kim, M.; Park, H.; Jin, S.; Jeong, Y.; Kim, J.; Lee, Y.; Sun, L.; Zi, G.; Ha, J. High-Sensitivity, Skin-Attachable, and Stretchable Array of Thermo-Responsive Suspended Gate Field-Effect Transistors with Thermochromic Display. Adv. Funct. Mater. 2019, 29, 1807679. [Google Scholar]
- Kadam, S.; Chavan, S.; Kanu, N.J. An insight into advance self-healing composites. Mater. Res. Express 2021, 8, 052001. [Google Scholar]
- Jones, A.S.; Rule, J.D.; Moore, J.S.; White, S.R.; Sottos, N.R. Catalyst morphology and dissolution kinetics of self-healing polymers. Chem. Mater. 2006, 18, 1312–1317. [Google Scholar]
- Hayes, S.A.; Jones, F.R.; Marshiya, K.; Zhang, W. A self-healing thermosetting composite material. Compos. Part A: Appl. Sci. Manuf. 2007, 38, 1116–1120. [Google Scholar]
- Kumar, R.N.; Rajesh Jesudoss, H.; Manju, R.; Senthamaraikannan, P.; Saravanakumar; Anish Khan, S.S.; Sundara Bharathi, S.R. Self-Healing Fibre-Reinforced Epoxy Composites. In Self-Healing Composite Materials; Woodhead Publishing: Cambridge, UK, 2020; pp. 393–404. [Google Scholar]
- Wang, X.; Xu, W.; Xie, Y.; Yao, H.; Xia, L. Improving particle characteristic and encapsulated indicators of urea–formaldehyde/epoxy self-healing microcapsule by incorporating resorcinol. Mater. Technol. 2019, 34, 51–58. [Google Scholar]
- Nualas, F.; Rebillat, F. A multi-scale approach of degradation mechanisms inside a SiC(f)/Si-B-C(m) based self-healing matrix composite in a dry oxidizing environment. Oxid. Met. 2013, 80, 279–287. [Google Scholar]
- Liu, Y.; Rajadas, A.; Chattopadhyay, A. Self-Healing Nanocomposite Using Shape Memory Polymer and Carbon Nanotubes. In Sensors and Smart Structures Technologies for Civil, Mechanical, and Aerospace Systems; SPIE: Bellingham, WA, USA, 2013. [Google Scholar]
- Osada, T.; Nakao, W.; Takahashi, K.; Ando, K. 17-Self-Crack-Healing Behavior in Ceramic Matrix Composites. In Advances in Ceramic Matrix Composites; Low, I.M., Ed.; Woodhead Publishing: Cambridge, UK, 2014; pp. 410–441. [Google Scholar]
- Naresh, K.; Khan, K.A.; Umer, R.; Vasudevan, A. Temperature-Frequency–Dependent Viscoelastic Properties of Neat Epoxy and Fiber Reinforced Polymer Composites: Experimental Characterization and Theoretical Predictions. Polymers 2020, 12, 1700. [Google Scholar] [CrossRef]
- Preethikaharshini, J.; Naresh, K.; Rajeshkumar, G.; Arumugaprabu, V.; Khan, M.A.; Khan, K.A. Review of advanced techniques for manufacturing biocomposites: Non-destructive evaluation and artificial intelligence-assisted modeling. J. Mater Sci. 2022, 57, 16091–16146. [Google Scholar]
- Coope, T.S.; Wass, D.F.; Trask, R.S.; Bond, I.P. Metal triflates as catalytic curing agents in self-healing fibre reinforced polymer composite materials. Macromol. Mater. Eng. 2014, 299, 208–218. [Google Scholar]
- Naresh, K.; Shankar, K.; Rao, B.S. Velmurugan R. Effect of high strain rate on glass/carbon/hybrid fiber reinforced epoxy laminated composites. Compos. Part B Eng. 2016, 100, 125–135. [Google Scholar]
- Naresh, K.; Khan, K.A.; Umer, R. Experimental Characterization and Modeling Multifunctional Properties of Epoxy/Graphene Oxide Nanocomposites. Polymers 2021, 13, 2831. [Google Scholar] [CrossRef]
- Yang, Z.; Wei, Z.; Le-ping, L.; Hong-mei, W.; Wu-jun, L. The self-healing composite anticorrosion coating. Phys. Procedia 2011, 18, 216–221. [Google Scholar]
- Hamdy, A.S.; Doench, I.; Möhwald, H. Intelligent self-healing corrosion resistant vanadia coating for AA2024. Thin Solid Film. 2011, 520, 1668–1678. [Google Scholar]
- Hamdy, A.S.; Doench, I.; Möhwald, H. Smart self-healing anti-corrosion vanadia coating for magnesium alloys. Prog. Org. Coat. 2011, 72, 387–393. [Google Scholar]
- Hamdy, A.S.; Butt, D.P. Novel smart stannate based coatings of self-healing functionality for AZ91D magnesium alloy. Electrochim. Acta 2013, 97, 296–303. [Google Scholar]
- Zaghloul, M.M.Y.; Mohamed, Y.S.; El-Gamal, H. Fatigue and tensile behaviors of fiber-reinforced thermosetting composites embedded with nanoparticles. J. Compos. Mater. 2019, 53, 709–718. [Google Scholar]
- Zaghloul, M.M.Y.; Zaghloul, M.Y.M.; Zaghloul, M.M.Y. Experimental and modeling analysis of mechanical-electrical behaviors of polypropylene composites filled with graphite and MWCNT fillers. Polym. Test. 2017, 63, 467–474. [Google Scholar]
- Naresh, K.; Khan, K.A.; Umer, R.; Cantwell, W.J. The use of X-ray computed tomography for design and process modeling of aerospace composites: A review. Mater. Des. 2020, 190, 108553. [Google Scholar]
- Ud Din, I.; Naresh, K.; Umer, R.; Khan, K.A.; Drzal, L.T.; Haq, M.; Cantwell, W.J. Processing and out-of-plane properties of composites with embedded graphene paper for EMI shielding applications. Compos. Part A Appl. Sci. Manuf. 2020, 134, 105901. [Google Scholar]
- Naresh, K.; Rajalakshmi, K.; Vasudevan, A.; Senthil Kumaran, S.; Velmurugan, R.; Shankar, K. Effect of nanoclay and different impactor shapes on glass/epoxy composites subjected to quasi-static punch shear loading. Adv. Mater. Process. Technol. 2018, 4, 345–357. [Google Scholar]
- Malekkhouyan, R.; Neisiany, R.E.; Khorasani, S.N.; Das, O.; Berto, F.; Ramakrishna, S. The influence of size and healing content on the performance of extrinsic self-healing coatings. J. Appl. Polym. Science. 2021, 10, 49964. [Google Scholar]
- Panahi, P.; Khorasani, S.N.; Koochaki, M.S.; Dinari, M.; Das, O.; Neisiany, R.E. Synthesis of Cloisite 30B-acrylamide/acrylic acid nanogel composite for self-healing purposes. Appl. Clay Sci. 2021, 210, 106174. [Google Scholar]
- Malekkhouyan, R.; Nouri Khorasani, S.; Esmaeely Neisiany, R.; Torkaman, R.; Koochaki, M.S.; Das, O. Preparation and characterization of electrosprayed nanocapsules containing coconut-oil-based alkyd resin for the fabrication of self-healing epoxy coatings. Appl. Sci. 2020, 9, 3171. [Google Scholar]
- Maddaiah, K.C.; Naresh, K.; Kumar, G.B.V.; Pramod, R.; Baburao, T.; Sreekanth, P.S.R. Influence of Equal Channel Angular Extrusion on Mechanical Characteristics and Associated Microstructural Changes of Aluminum, Copper, Titanium and Magnesium Alloys and Their Metal Matrix Composites—A Review. J. Test. Eval. 2022, 2, 20210591. [Google Scholar] [CrossRef]























| Agents | Agents Functioning |
|---|---|
| Microcapsule | The healing must be chemically inactive to the polymer shell; the capsule must have a long shelf life. It must be compatible with the dispersed polymer region. The shell walls must be weak to allow for rupture. The catalyst must be close to the capsule. The matrix and the capsule must have a high interfacial attraction. |
| Monomer Polymerization | Less volatile for the required time to complete polymerization. No cure-induced shrinkage and stress relaxation. Polymerization at atmospheric temperature |
| Catalysts | Dissolves in monomer, clustering does not occur in polymer matrix |
| Coatings | Microcapsules have a strong influence on the physical and chemical characteristics of the matrix; Microcapsule’s size will be smaller than the thickness of the coating, and clustering does not occur in the matrix |
| Healing | Low economy, must be quicker, multiple cycles |
| Mechanism | Healing Percentage (%) | Time for Healing (hrs) | Conditions for Healing | Matrix | Reference |
|---|---|---|---|---|---|
| DCPD + Grubbs | 75–100 | 10–48 | Room temperature | Epoxy | [10] |
| DCPD + Grubbs | 30 | 24 | Room temperature | Epoxy vinyl ester | [10] |
| DCPD + Grubbs | 70–100 | 48 | Room temperature | Epoxy + CFRC | [10] |
| DCPD + WCl6 | 20–64 | 24 | 25–50 °C | Epoxy | [13] |
| ENB + Grubbs | 45–80 | 48 | Room temperature- 80 °C | Epoxy | [14] |
| ENB/DCPD+ Grubbs | 85 | 48 | Room Temperature | Epoxy | [14] |
| ENB + Hoveyda Grubbs | 95 | 2 | 170 °C | Epoxy | [14] |
| HOPDMS and PDES | 20–24 | 24 | 50 °C | Epoxy vinyl ester | [23] |
| HOPDMS and PDES | 100 | 48 | 150 °C | Epoxy +FRC | [23] |
| Epoxy and Solvent | 85–100 | 24 | Room Temperature | Epoxy | [46] |
| Epoxy and Solvent + Scandium triflate | More than 80 | 48 | 80 °C | Epoxy | [50] |
| Epoxy + CuBr (2) (2-Melm)4 | 111 | 1.5 | 130 °C-180 °C | Epoxy | [64] |
| Epoxy + Mercaptan | 104 | 24 | 20 °C | Epoxy | [64] |
| Epoxy + MBM tetrathol | 120 | 5 days | 25 °C | Epoxy | [75] |
| Epoxy + antimony pentafluoride | 70 | 20 sec | Room temperature at 0.2 MPa | Epoxy | [75] |
| Property | Value |
|---|---|
| Viscosity (cP) | 12,000–13,000 |
| Density (g/cm3) | 1.16 |
| Tensile strength (MPa) | 73 |
| Elongation(%) | 4 |
| Flexural strength (MPa) | 60 |
| Heat distortion temperature(°C) | 100” |
| “Property | Value |
| Viscosity (cP) | 12,000–13,000 |
| Density (g/cm3) | 1.16 |
| Tensile strength (MPa) | 73 |
| Elongation(%) | 4 |
| Flexural strength (MPa) | 60 |
| Heat distortion temperature(°C) | 100” |
| Material Type | Density | Tensile Strength (GPa) | Specific Strength (GPa) | Young’s Modulus (GPa) | Specific Modulus (GPa) |
|---|---|---|---|---|---|
| Epoxy-carbon fiber II composite | 1.45 | 1.50 | 10.3 × 106 | 1.4 × 102 | 9.7 × 108 |
| Epoxy-carbon fiber I composite | 1.6 | 1.07 | 6.7 × 106 | 2.4 × 102 | 15 × 108 |
| Epoxy-organic fiber composite | 1.4 | 1.40 | 1.0 × 106 | 0.8 × 102 | 5.7 × 108 |
| Epoxy-boron fiber composite | 2.1 | 1.38 | 6.6 × 106 | 2.1 × 102 | 10 × 108 |
| Epoxy-glass fiber composite | 2.0 | 1.06 | 5.3 × 106 | 0.4 × 102 | 2.0 × 108 |
| Aluminum- boron fiber | 2.65 | 1.0 | 3.8 × 106 | 2.0 × 102 | 7.5 × 108 |
| Steel | 7.8 | 1.03 | 1.3 × 106 | 2.1 × 102 | 2.7 × 108 |
| Titanium alloy | 4.5 | 0.96 | 2.1 × 106 | 1.14 × 102 | 2.5 × 108 |
| Aluminum alloy | 2.8 | 0.47 | 1.7 × 106 | 0.75 × 102 | 2.6 × 108 |
Publisher’s Note: MDPI stays neutral with regard to jurisdictional claims in published maps and institutional affiliations. |
© 2022 by the authors. Licensee MDPI, Basel, Switzerland. This article is an open access article distributed under the terms and conditions of the Creative Commons Attribution (CC BY) license (https://creativecommons.org/licenses/by/4.0/).
Share and Cite
Paladugu, S.R.M.; Sreekanth, P.S.R.; Sahu, S.K.; Naresh, K.; Karthick, S.A.; Venkateshwaran, N.; Ramoni, M.; Mensah, R.A.; Das, O.; Shanmugam, R. A Comprehensive Review of Self-Healing Polymer, Metal, and Ceramic Matrix Composites and Their Modeling Aspects for Aerospace Applications. Materials 2022, 15, 8521. https://doi.org/10.3390/ma15238521
Paladugu SRM, Sreekanth PSR, Sahu SK, Naresh K, Karthick SA, Venkateshwaran N, Ramoni M, Mensah RA, Das O, Shanmugam R. A Comprehensive Review of Self-Healing Polymer, Metal, and Ceramic Matrix Composites and Their Modeling Aspects for Aerospace Applications. Materials. 2022; 15(23):8521. https://doi.org/10.3390/ma15238521
Chicago/Turabian StylePaladugu, Sri Ram Murthy, P. S. Rama Sreekanth, Santosh Kumar Sahu, K. Naresh, S. Arun Karthick, N. Venkateshwaran, Monsuru Ramoni, Rhoda Afriyie Mensah, Oisik Das, and Ragavanantham Shanmugam. 2022. "A Comprehensive Review of Self-Healing Polymer, Metal, and Ceramic Matrix Composites and Their Modeling Aspects for Aerospace Applications" Materials 15, no. 23: 8521. https://doi.org/10.3390/ma15238521
APA StylePaladugu, S. R. M., Sreekanth, P. S. R., Sahu, S. K., Naresh, K., Karthick, S. A., Venkateshwaran, N., Ramoni, M., Mensah, R. A., Das, O., & Shanmugam, R. (2022). A Comprehensive Review of Self-Healing Polymer, Metal, and Ceramic Matrix Composites and Their Modeling Aspects for Aerospace Applications. Materials, 15(23), 8521. https://doi.org/10.3390/ma15238521

