A Facile Approach to the Hydrothermal Synthesis of Silica Nanoparticle/Carbon Nanostructure Luminescent Composites
Abstract
1. Introduction
2. Materials and Methods
2.1. Materials and Apparatus
2.2. Structural Characterization
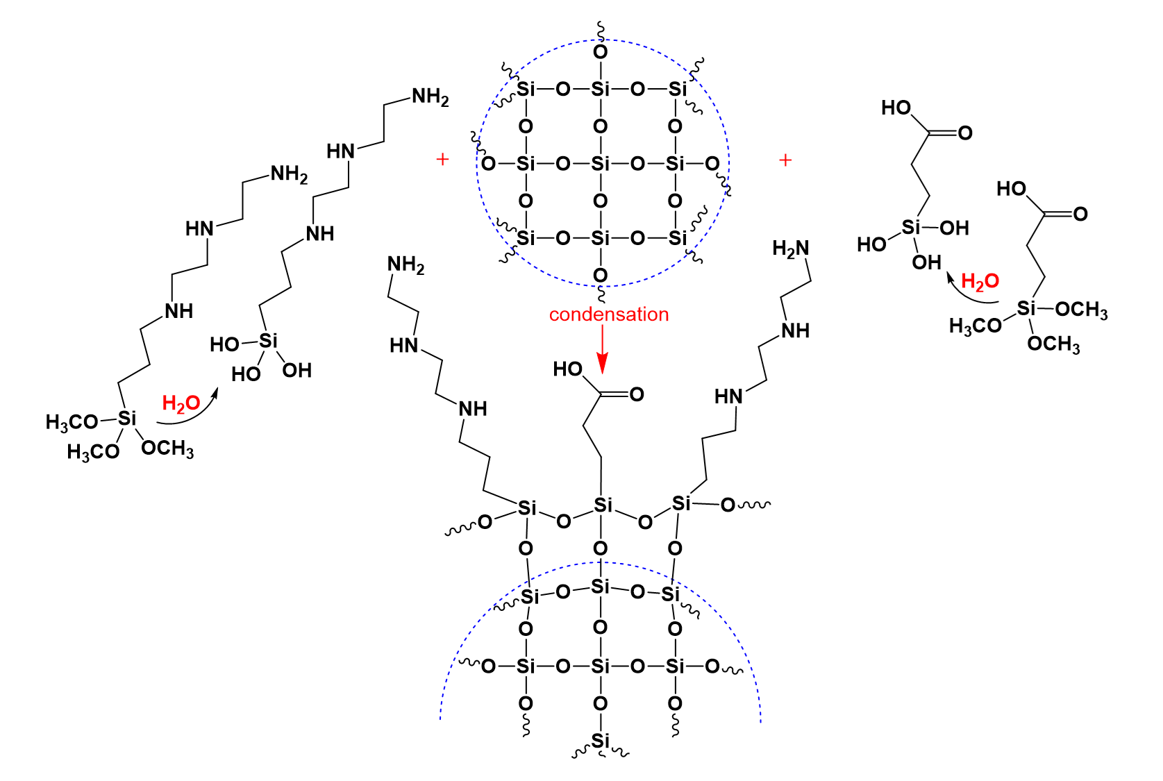
2.3. Fabrication of Silica Nanoparticles Modified with Carboxylic and Amino Groups
2.4. Hydrothermal Synthesis of Luminescent Composite Nanoparticles
2.5. Dialysis of Luminescent Composite Nanoparticles
2.6. QY Measurement
3. Results and Discussion
4. Conclusions
Supplementary Materials
Author Contributions
Funding
Institutional Review Board Statement
Informed Consent Statement
Data Availability Statement
Acknowledgments
Conflicts of Interest
References
- Xiao, L.; Sun, H. Novel Properties and Applications of Carbon Nanodots. Nanoscale Horiz. 2018, 3, 565–597. [Google Scholar] [CrossRef] [PubMed]
- Sciortino, A.; Cannizzo, A.; Messina, F. Carbon Nanodots: A Review—From the Current Understanding of the Fundamental Photophysics to the Full Control of the Optical Response. C 2018, 4, 67. [Google Scholar] [CrossRef]
- Sciortino, A.; Cayuela, A.; Soriano, M.L.; Gelardi, F.M.; Cannas, M.; Valcárcel, M.; Messina, F. Different Natures of Surface Electronic Transitions of Carbon Nanoparticles. Phys. Chem. Chem. Phys. 2017, 19, 22670–22677. [Google Scholar] [CrossRef] [PubMed]
- Wang, L.; Yu, L.; Ge, H.; Bu, Y.; Sun, M.; Huang, D.; Wang, S. A novel reversible dual-mode probe based on amorphous carbon nanodots for the detection of mercury ion and glutathione. Microchem. J. 2022, 175, 107181. [Google Scholar] [CrossRef]
- Sciortino, A.; Mauro, N.; Buscarino, G.; Sciortino, L.; Popescu, R.; Schneider, R.; Giammona, G.; Gerthsen, D.; Cannas, M.; Messina, F. β-C3N4 Nanocrystals: Carbon Dots with Extraordinary Morphological, Structural, and Optical Homogeneity. Chem. Mater. 2018, 30, 1695–1700. [Google Scholar] [CrossRef]
- He, C.; Xu, P.; Zhang, X.; Long, W. The synthetic strategies, photoluminescence mechanisms and promising applications of carbon dots: Current state and future perspective. Carbon 2022, 186, 91–127. [Google Scholar] [CrossRef]
- Hassanvand, Z.; Jalali, F.; Nazari, M.; Parnianchi, F.; Santoro, C. Carbon Nanodots in Electrochemical Sensors and Biosensors: A Review. ChemElectroChem 2021, 8, 15–35. [Google Scholar] [CrossRef]
- Shi, W.; Han, Q.; Wu, J.; Ji, C.; Zhou, Y.; Li, S.; Gao, L.; Leblanc, R.M.; Peng, Z. Synthesis Mechanisms, Structural Models, and Photothermal Therapy Applications of Top-Down Carbon Dots from Carbon Powder, Graphite, Graphene, and Carbon Nanotubes. Int. J. Mol. Sci. 2022, 23, 1456. [Google Scholar] [CrossRef] [PubMed]
- Wang, Q.; Zheng, H.; Long, Y.; Zhang, L.; Gao, M.; Bai, W. Microwave-Hydrothermal Synthesis of Fluorescent Carbon Dots from Graphite Oxide. Carbon 2011, 49, 3134–3140. [Google Scholar] [CrossRef]
- Dreyer, D.R.; Park, S.; Bielawski, C.W.; Ruoff, R.S. The Chemistry of Graphene Oxide. Chem. Soc. Rev. 2010, 39, 228–240. [Google Scholar] [CrossRef] [PubMed]
- Khatir, N.M.; Ahmadi, A.; Taghizade, N.; Motevali khameneh, S.; Faghihnasiri, M. Electronic Transport Properties of Nanoribbons of Graphene and ψ-Graphene-based Lactate Nanobiosensor. Superlattices Microstruct. 2020, 145, 106603. [Google Scholar] [CrossRef]
- Ventrella, A.; Camisasca, A.; Fontana, A.; Giordani, S. Synthesis of Green Fluorescent Carbon Dots from Carbon Nano-Onions and Graphene Oxide. RSC Adv. 2020, 10, 36404–36412. [Google Scholar] [CrossRef]
- Yu, L.; Tatsumi, D.; Kondo, T. Preparation of Carbon Nanoparticles from Activated Carbon by Aqueous Counter Collision. J. Wood Sci. 2022, 68, 1–8. [Google Scholar] [CrossRef]
- Vinci, J.C.; Colón, L.A. Surface Chemical Composition of Chromatographically Fractionated Graphite Nanofiber-Derived Carbon Dots. Microchem. J. 2013, 110, 660–664. [Google Scholar] [CrossRef]
- Zhang, Q.; Sun, X.; Ruan, H.; Yin, K.; Li, H. Production of Yellow-Emitting Carbon Quantum Dots from Fullerene Carbon Soot. Sci. China Mater. 2017, 60, 141–150. [Google Scholar] [CrossRef]
- Xu, X.; Ray, R.; Gu, Y.; Ploehn, H.J.; Gearheart, L.; Raker, K.; Scrivens, W.A. Electrophoretic Analysis and Purification of Fluorescent Single-Walled Carbon Nanotube Fragments. J. Am. Chem. Soc. 2004, 126, 12736–12737. [Google Scholar] [CrossRef]
- Astafiev, A.A.; Shakhov, A.M.; Kritchenkov, A.S.; Khrustalev, V.N.; Shepel, D.v.; Nadtochenko, V.A.; Tskhovrebov, A.G. Femtosecond Laser Synthesis of Nitrogen-Doped Luminescent Carbon Dots from Acetonitrile. Dye. Pigment. 2021, 188, 109176. [Google Scholar] [CrossRef]
- Ming, H.; Ma, Z.; Liu, Y.; Pan, K.; Yu, H.; Wang, F.; Kang, Z. Large Scale Electrochemical Synthesis of High Quality Carbon Nanodots and Their Photocatalytic Property. Dalton Trans. 2012, 41, 9526–9531. [Google Scholar] [CrossRef]
- Wang, F.T.; Wang, L.N.; Xu, J.; Huang, K.J.; Wu, X. Synthesis and Modification of Carbon Dots for Advanced Biosensing Application. Analyst 2021, 146, 4418–4435. [Google Scholar] [CrossRef]
- Song, Y.; Zhu, S.; Zhang, S.; Fu, Y.; Wang, L.; Zhao, X.; Yang, B. Investigation from Chemical Structure to Photoluminescent Mechanism: A Type of Carbon Dots from the Pyrolysis of Citric Acid and an Amine. J. Mater. Chem. C Mater. 2015, 3, 5976–5984. [Google Scholar] [CrossRef]
- Zhao, P.; Li, X.; Baryshnikov, G.; Wu, B.; Agren, H.; Zhang, J.; Zhu, L. One-Step Solvothermal Synthesis of High-Emissive Amphiphilic Carbon Dots: Via Rigidity Derivation. Chem. Sci. 2018, 9, 1323–1329. [Google Scholar] [CrossRef]
- Shi, Y.; Liu, J.; Zhang, Y.; Bao, J.; Cheng, J.; Yi, C. Microwave-Assisted Synthesis of Colorimetric and Fluorometric Dual-Functional Hybrid Carbon Nanodots for Fe3+ Detection and Bioimaging. Chin. Chem. Lett. 2021, 32, 3189–3194. [Google Scholar] [CrossRef]
- Hu, Y.; Wang, Y.; Wang, C.; Ye, Y.; Zhao, H.; Li, J.; Lu, X.; Mao, C.; Chen, S.; Mao, J.; et al. One-Pot Pyrolysis Preparation of Carbon Dots as Eco-Friendly Nanoadditives of Water-Based Lubricants. Carbon 2019, 152, 511–520. [Google Scholar] [CrossRef]
- Liu, H.; Zhang, Y.; Liu, J.H.; Hou, P.; Zhou, J.; Huang, C.Z. Preparation of Nitrogen-Doped Carbon Dots with High Quantum Yield from: Bombyx Mori Silk for Fe(III) Ions Detection. RSC Adv. 2017, 7, 50584–50590. [Google Scholar] [CrossRef]
- Jusuf, B.N.; Sambudi, N.S.; Isnaeni, I.; Samsuri, S. Microwave-Assisted Synthesis of Carbon Dots from Eggshell Membrane Ashes by Using Sodium Hydroxide and Their Usage for Degradation of Methylene Blue. J. Environ. Chem. Eng. 2018, 6, 7426–7433. [Google Scholar] [CrossRef]
- Pawar, S.; Togiti, U.K.; Bhattacharya, A.; Nag, A. Functionalized Chitosan-Carbon Dots: A Fluorescent Probe for Detecting Trace Amount of Water in Organic Solvents. ACS Omega 2019, 4, 11301–11311. [Google Scholar] [CrossRef]
- Ye, Y.; Yang, D.; Chen, H.; Guo, S.; Yang, Q.; Chen, L.; Zhao, H.; Wang, L. A High-Efficiency Corrosion Inhibitor of N-Doped Citric Acid-Based Carbon Dots for Mild Steel in Hydrochloric Acid Environment. J. Hazard. Mater. 2020, 381, 121019. [Google Scholar] [CrossRef]
- Ludmerczki, R.; Mura, S.; Carbonaro, C.M.; Mandity, I.M.; Carraro, M.; Senes, N.; Garroni, S.; Granozzi, G.; Calvillo, L.; Marras, S.; et al. Carbon Dots from Citric Acid and Its Intermediates Formed by Thermal Decomposition. Chem. A Eur. J. 2019, 25, 11963–11974. [Google Scholar] [CrossRef]
- Fahmi, M.Z.; Sholihah, N.F.; Wibrianto, A.; Sakti, S.C.W.; Firdaus, F.; Chang, J. yaw. Simple and Fast Design of Folic Acid-Based Carbon Dots as Theranostic Agent and Its Drug Release Aspect. Mater. Chem. Phys. 2021, 267, 124596. [Google Scholar] [CrossRef]
- Cailotto, S.; Amadio, E.; Facchin, M.; Selva, M.; Pontoglio, E.; Rizzolio, F.; Riello, P.; Toffoli, G.; Benedetti, A.; Perosa, A. Carbon Dots from Sugars and Ascorbic Acid: Role of the Precursors on Morphology, Properties, Toxicity, and Drug Uptake. ACS Med. Chem. Lett. 2018, 9, 832–837. [Google Scholar] [CrossRef]
- Stepanidenko, E.A.; Arefina, I.A.; Khavlyuk, P.D.; Dubavik, A.; Bogdanov, K.V.; Bondarenko, D.P.; Cherevkov, S.A.; Kundelev, E.V.; Fedorov, A.V.; Baranov, A.V.; et al. Influence of the Solvent Environment on Luminescent Centers within Carbon Dots. Nanoscale 2020, 12, 602–609. [Google Scholar] [CrossRef]
- Schneider, J.; Reckmeier, C.J.; Xiong, Y.; von Seckendorff, M.; Susha, A.S.; Kasak, P.; Rogach, A.L. Molecular Fluorescence in Citric Acid-Based Carbon Dots. J. Phys. Chem. C 2017, 121, 2014–2022. [Google Scholar] [CrossRef]
- Zhu, Y.; Yan, L.; Xu, M.; Li, Y.; Song, X.; Yin, L. Difference between Ammonia and Urea on Nitrogen Doping of Graphene Quantum Dots. Colloids Surf. A Phys. Eng. Asp. 2021, 610, 125703. [Google Scholar] [CrossRef]
- Kasprzyk, W.; Świergosz, T.; Bednarz, S.; Walas, K.; Bashmakova, N.V.; Bogdał, D. Luminescence Phenomena of Carbon Dots Derived from Citric Acid and Urea-a Molecular Insight. Nanoscale 2018, 10, 13889–13894. [Google Scholar] [CrossRef]
- Duan, P.; Zhi, B.; Coburn, L.; Haynes, C.L.; Schmidt-Rohr, K. A Molecular Fluorophore in Citric Acid/Ethylenediamine Carbon Dots Identified and Quantified by Multinuclear Solid-State Nuclear Magnetic Resonance. Magn. Reson. Chem. 2020, 58, 1130–1138. [Google Scholar] [CrossRef] [PubMed]
- Otyepka, M.; Langer, M.; Paloncýová, M.; Medved’, M. Molecular Fluorophores Self-Organize into c-Dot Seeds and Incorporate into c-Dot Structures. J. Phys. Chem. Lett. 2020, 11, 8252–8258. [Google Scholar] [CrossRef]
- Deng, L.; Wang, X.; Kuang, Y.; Wang, C.; Luo, L.; Wang, F.; Sun, X. Development of Hydrophilicity Gradient Ultracentrifugation Method for Photoluminescence Investigation of Separated Non-Sedimental Carbon Dots. Nano Res. 2015, 8, 2810–2821. [Google Scholar] [CrossRef]
- Hu, Q.; Paau, M.C.; Choi, M.M.F.; Zhang, Y.; Gong, X.; Zhang, L.; Liu, Y.; Yao, J. Better Understanding of Carbon Nanoparticles via High-Performance Liquid Chromatography-Fluorescence Detection and Mass Spectrometry. Electrophoresis 2014, 35, 2454–2462. [Google Scholar] [CrossRef]
- Kokorina, A.A.; Bakal, A.A.; Shpuntova, D.v.; Kostritskiy, A.Y.; Beloglazova, N.v.; de Saeger, S.; Sukhorukov, G.B.; Sapelkin, A.v.; Goryacheva, I.Y. Gel Electrophoresis Separation and Origins of Light Emission in Fluorophores Prepared from Citric Acid and Ethylenediamine. Sci. Rep. 2019, 9, 14665. [Google Scholar] [CrossRef]
- Khan, S.; Sharma, A.; Ghoshal, S.; Jain, S.; Hazra, M.K.; Nandi, C.K. Small Molecular Organic Nanocrystals Resemble Carbon Nanodots in Terms of Their Properties. Chem. Sci. 2017, 9, 175–180. [Google Scholar] [CrossRef] [PubMed]
- Tian, L.; Li, Z.; Wang, P.; Zhai, X.; Wang, X.; Li, T. Carbon Quantum Dots for Advanced Electrocatalysis. J. Energy Chem. 2021, 55, 279–294. [Google Scholar] [CrossRef]
- Podkolodnaya, Y.; Kokorina, A.A.; Ponomaryova, T.; Goryacheva, O.; Drozd, D.; Khitrov, M.; Huang, L.; Yu, Z.; Tang, D.; Goryacheva, I. Luminescent Composite Carbon/SiO2 Structures: Synthesis and Applications. Biosensors 2022, 12, 392. [Google Scholar] [CrossRef]
- Jeelani, P.G.; Mulay, P.; Venkat, R.; Ramalingam, C. Multifaceted Application of Silica Nanoparticles. A Review. Silicon 2020, 12, 1337–1354. [Google Scholar] [CrossRef]
- Li, L.; Wang, W.; Tang, J.; Wang, Y.; Liu, J.; Huang, L.; Wang, Y.; Guo, F.; Wang, J.; Shen, W.; et al. Classification, Synthesis, and Application of Luminescent Silica Nanoparticles: A Review. Nanoscale Res. Lett. 2019, 14, 190. [Google Scholar] [CrossRef] [PubMed]
- Narayan, R.; Nayak, U.Y.; Raichur, A.M.; Garg, S. Mesoporous Silica Nanoparticles: A Comprehensive Review on Synthesis and Recent Advances. Pharmaceutics 2018, 10, 118. [Google Scholar] [CrossRef] [PubMed]
- Kankala, R.K.; Han, Y.H.; Xia, H.Y.; Wang, S.; Chen, A.Z. Nanoarchitectured Prototypes of Mesoporous Silica Nanoparticles for Innovative Biomedical Applications. J. Nanobiotechnol. 2022, 20, 126. [Google Scholar] [CrossRef] [PubMed]
- Costa, J.A.S.; de Jesus, R.A.; Santos, D.O.; Neris, J.B.; Figueiredo, R.T.; Paranhos, C.M. Synthesis, Functionalization, and Environmental Application of Silica-Based Mesoporous Materials of the M41S and SBA-n Families: A Review. J. Environ. Chem. Eng. 2021, 9, 105259. [Google Scholar] [CrossRef]
- Zhang, Y.; Zhen, B.; Hu, Y.; Liang, G.; Feng, Y. A Reverse Micellar System with Triton X-100: Effect of Surfactant Polydispersity and Preparation of Monodisperse Silica Nanoparticles. Soft Matter 2020, 16, 383–389. [Google Scholar] [CrossRef]
- Piler, K.; Mahmud, A.; Benson, T.J. A Regression Analysis with Laboratory Validation for the Use of Reverse Micelles to Achieve Desired Nanosized Catalytically Active Sites. Chem. Eng. Commun. 2020, 207, 537–548. [Google Scholar] [CrossRef]
- Shaparenko, N.O.; Beketova, D.I.; Demidova, M.G.; Bulavchenko, A.I. Regulation of the Charge and Hydrodynamic Diameter of Silica Nanoparticles in AOT Microemulsions. Colloid J. 2019, 81, 43–49. [Google Scholar] [CrossRef]
- Cai, J.; Huang, B.; Zhang, J.; Hu, X.; Li, Y.; Xue, J. Resource Utilization of Chlorosilane Residual Liquid to Prepare Nano-Silica in Reverse Microemulsion System. J. Mater. Sci. Mater. Electron. 2020, 31, 11317–11324. [Google Scholar] [CrossRef]
- Zanut, A.; Palomba, F.; Rossi Scota, M.; Rebeccani, S.; Marcaccio, M.; Genovese, D.; Rampazzo, E.; Valenti, G.; Paolucci, F.; Prodi, L. Dye-Doped Silica Nanoparticles for Enhanced ECL-Based Immunoassay Analytical Performance. Angew. Chem. Int. Ed. 2020, 59, 21858–21863. [Google Scholar] [CrossRef]
- Goftman, V.V.; Aubert, T.; Ginste, D.V.; van Deun, R.; Beloglazova, N.V.; Hens, Z.; de Saeger, S.; Goryacheva, I.Y. Synthesis, Modification, Bioconjugation of Silica Coated Fluorescent Quantum Dots and Their Application for Mycotoxin Detection. Biosens. Bioelectron. 2016, 79, 476–481. [Google Scholar] [CrossRef]
- Singh, L.P.; Bhattacharyya, S.K.; Kumar, R.; Mishra, G.; Sharma, U.; Singh, G.; Ahalawat, S. Sol-Gel Processing of Silica Nanoparticles and Their Applications. Adv. Colloid Interface Sci. 2014, 214, 17–37. [Google Scholar] [CrossRef]
- Sabbagh, F.; Kiarostami, K.; Khatir, N.M.; Rezania, S.; Muhamad, I.I. Green Synthesis of Mg0.99 Zn0.01O Nanoparticles for the Fabrication of κ-Carrageenan/NaCMC Hydrogel in Order to Deliver Catechin. Polymers 2020, 12, 861. [Google Scholar] [CrossRef]
- Zhao, J.; Song, S.; Mu, X.; Jeong, S.M.; Bae, J. Programming Mechanoluminescent Behaviors of 3D Printed Cellular Structures. Nano Energy 2022, 103, 107825. [Google Scholar] [CrossRef]
- Wei, Y.; Wu, Z.; Jia, Y.; Liu, Y. Piezoelectrically-Induced Stress-Luminescence Phenomenon in CaAl2O4:Eu2+. J. Alloys Compd. 2015, 646, 86–89. [Google Scholar] [CrossRef]
- Jiang, T.; Kuila, T.; Kim, N.H.; Lee, J.H. Effects of surface-modified silica nanoparticles attached graphene oxide using isocyanate-terminated flexible polymer chains on the mechanical properties of epoxy composites. J. Mater. Chem. A 2014, 2, 10557–10567. [Google Scholar] [CrossRef]
- Drozd, D.; Zhang, H.; Goryacheva, I.; de Saeger, S.; Beloglazova, N.v. Silanization of Quantum Dots: Challenges and Perspectives. Talanta 2019, 205, 120164. [Google Scholar] [CrossRef] [PubMed]
- Kohle, F.F.E.; Hinckley, J.A.; Wiesner, U.B. Dye Encapsulation in Fluorescent Core-Shell Silica Nanoparticles as Probed by Fluorescence Correlation Spectroscopy. J. Phys. Chem. C 2019, 123, 9813–9823. [Google Scholar] [CrossRef] [PubMed]







| Surface Functionalization | Hydrodynamic Size, nm | Polydispersity Index | ζ-Potential, mV | |
|---|---|---|---|---|
| DETAS, % | CEST, % | |||
| 50 | 50 | 165 ± 4 | 0.16 ± 0.02 | −39 ± 3 |
| 40 | 60 | 108 ± 2 | 0.15 ± 0.01 | −43 ± 3 |
| 20 | 80 | 96 ± 2 | 0.13 ± 0.01 | −43 ± 4 |
| 0 | 100 | 66 ± 1 | 0.12 ± 0.01 | −52 ± 4 |
| DETAS:CEST ratio | 20:80 | 40:60 | 50:50 |
|---|---|---|---|
| Average size, nm | 34 ± 7 | 38 ± 4 | 43 ± 2 |
| PI | 0.56 ± 0.04 | 0.31 ± 0.02 | 0.27 ± 0.04 |
| ζ-potential, mV | −20 ± 2 | −21 ± 3 | −31 ± 2 |
| QY, % | 37 ± 3 | 43 ± 4 | 66 ± 2 |
Publisher’s Note: MDPI stays neutral with regard to jurisdictional claims in published maps and institutional affiliations. |
© 2022 by the authors. Licensee MDPI, Basel, Switzerland. This article is an open access article distributed under the terms and conditions of the Creative Commons Attribution (CC BY) license (https://creativecommons.org/licenses/by/4.0/).
Share and Cite
Podkolodnaya, Y.A.; Kokorina, A.A.; Goryacheva, I.Y. A Facile Approach to the Hydrothermal Synthesis of Silica Nanoparticle/Carbon Nanostructure Luminescent Composites. Materials 2022, 15, 8469. https://doi.org/10.3390/ma15238469
Podkolodnaya YA, Kokorina AA, Goryacheva IY. A Facile Approach to the Hydrothermal Synthesis of Silica Nanoparticle/Carbon Nanostructure Luminescent Composites. Materials. 2022; 15(23):8469. https://doi.org/10.3390/ma15238469
Chicago/Turabian StylePodkolodnaya, Yuliya A., Alina A. Kokorina, and Irina Yu. Goryacheva. 2022. "A Facile Approach to the Hydrothermal Synthesis of Silica Nanoparticle/Carbon Nanostructure Luminescent Composites" Materials 15, no. 23: 8469. https://doi.org/10.3390/ma15238469
APA StylePodkolodnaya, Y. A., Kokorina, A. A., & Goryacheva, I. Y. (2022). A Facile Approach to the Hydrothermal Synthesis of Silica Nanoparticle/Carbon Nanostructure Luminescent Composites. Materials, 15(23), 8469. https://doi.org/10.3390/ma15238469

